• 文献检索
  • 文档翻译
  • 深度研究
  • 学术资讯
  • Suppr Zotero 插件Zotero 插件
  • 邀请有礼
  • 套餐&价格
  • 历史记录
应用&插件
Suppr Zotero 插件Zotero 插件浏览器插件Mac 客户端Windows 客户端微信小程序
定价
高级版会员购买积分包购买API积分包
服务
文献检索文档翻译深度研究API 文档MCP 服务
关于我们
关于 Suppr公司介绍联系我们用户协议隐私条款
关注我们

Suppr 超能文献

核心技术专利:CN118964589B侵权必究
粤ICP备2023148730 号-1Suppr @ 2026

文献检索

告别复杂PubMed语法,用中文像聊天一样搜索,搜遍4000万医学文献。AI智能推荐,让科研检索更轻松。

立即免费搜索

文件翻译

保留排版,准确专业,支持PDF/Word/PPT等文件格式,支持 12+语言互译。

免费翻译文档

深度研究

AI帮你快速写综述,25分钟生成高质量综述,智能提取关键信息,辅助科研写作。

立即免费体验

免疫相关阵列测定的抗 TROVE2 抗体可作为预测阿达木单抗在 RA 中免疫原性和有效性的标志物。

Anti-TROVE2 Antibody Determined by Immune-Related Array May Serve as a Predictive Marker for Adalimumab Immunogenicity and Effectiveness in RA.

机构信息

Translational Medicine Laboratory, Rheumatic Diseases Research Center, China Medical University Hospital, Taichung, Taiwan.

College of Medicine, China Medical University, Taichung, Taiwan.

出版信息

J Immunol Res. 2021 Mar 8;2021:6656121. doi: 10.1155/2021/6656121. eCollection 2021.

DOI:10.1155/2021/6656121
PMID:33763493
原文链接:https://pmc.ncbi.nlm.nih.gov/articles/PMC7963899/
Abstract

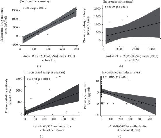
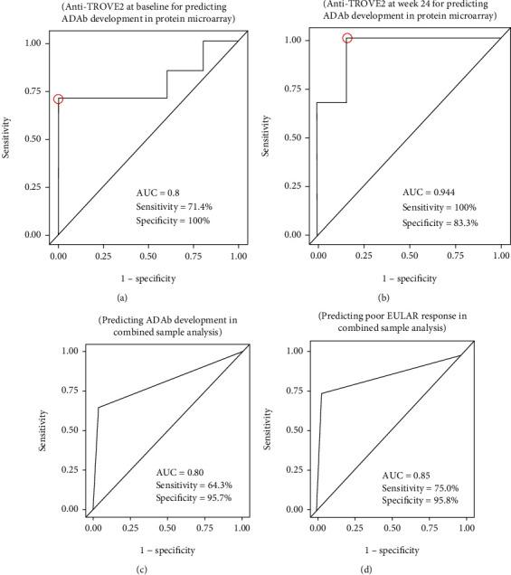
Anti-drug antibody (ADAb) development is associated with secondary therapeutic failure in biologic-treated rheumatoid arthritis (RA) patients. With a treat-to-target goal, we aimed to identify biomarkers for predicting ADAb development and therapeutic response in adalimumab-treated patients. Three independent cohorts were enrolled. In Cohort-1, 24 plasma samples (6 ADAb-positive and 6 ADAb-negative patients at baseline and week 24 of adalimumab therapy, respectively) were assayed with immune-related microarray containing 1,636 correctly folded functional proteins. Next, we executed statistically powered autoantibody profiling analysis of 50 samples in Cohort-2 (24 ADAb-positive and 26 ADAb-negative patients). Subsequently, immunofluorescence assay was performed on 48 samples in Cohort-3 to correlate with ADAb titers and drug levels. The biomarkers were identified for predicting ADAb development and therapeutic response using the immune-related microarray and machine learning approach. ADAb-positive patients had lower drug levels at week 24 (median = 0.024 g/ml) compared with ADAb-negative patients (median = 6.38 g/ml, < 0.001). ROC analysis based on the ADAb status revealed the top 20 autoantibodies with AUC ≥ 0.7 in differentiating both groups in Cohort-1. Analysis of Cohort-2 dataset identified a panel of 8 biomarkers (TROVE2, SSB, NDE1, ZHX2, SH3GL1, CARD9, PTPN20, and KLHL12) with 80.6% specificity, 77.4% sensitivity, and 79.0% accuracy in discriminating poor from EULAR responders. Immunofluorescence assay validated that anti-TROVE2 antibody could highly predict ADAb development and poor EULAR response (AUC 0.79 and 0.89, respectively). Multivariate regression analysis proved anti-TROVE2 antibody to be an independent predictor for developing ADAb. Immune-related protein microarray and replication analysis identified anti-TROVE2 antibody as a useful biomarker for predicting ADAb development and therapeutic response in adalimumab-treated patients.

摘要

抗药物抗体 (ADAb) 的产生与生物制剂治疗的类风湿关节炎 (RA) 患者的治疗失败有关。为了实现达标治疗的目标,我们旨在寻找预测阿达木单抗治疗患者 ADAb 产生和治疗反应的生物标志物。纳入了三个独立的队列。在队列 1 中,分别在阿达木单抗治疗基线和第 24 周时对 24 个血浆样本(6 个 ADAb 阳性和 6 个 ADAb 阴性患者)进行了检测,这些样本使用包含 1636 个正确折叠功能蛋白的免疫相关微阵列进行检测。接下来,我们对队列 2 中的 50 个样本进行了统计学上有力的自身抗体分析(24 个 ADAb 阳性和 26 个 ADAb 阴性患者)。随后,在队列 3 中对 48 个样本进行免疫荧光检测,以与 ADAb 滴度和药物水平相关联。使用免疫相关微阵列和机器学习方法,鉴定了预测 ADAb 产生和治疗反应的生物标志物。与 ADAb 阴性患者相比,ADAb 阳性患者在第 24 周时的药物水平较低(中位数=0.024μg/ml)(中位数=6.38μg/ml,<0.001)。基于 ADAb 状态的 ROC 分析显示,队列 1 中区分两组的前 20 个自身抗体的 AUC≥0.7。队列 2 数据集的分析确定了一组 8 个生物标志物(TROVE2、SSB、NDE1、ZHX2、SH3GL1、CARD9、PTPN20 和 KLHL12),在区分不良和 EULAR 应答者方面具有 80.6%的特异性、77.4%的敏感性和 79.0%的准确性。免疫荧光检测验证了抗 TROVE2 抗体可以高度预测 ADAb 的产生和不良的 EULAR 反应(AUC 分别为 0.79 和 0.89)。多元回归分析证明抗 TROVE2 抗体是产生 ADAb 的独立预测因子。免疫相关蛋白微阵列和复制分析表明,抗 TROVE2 抗体是预测阿达木单抗治疗患者 ADAb 产生和治疗反应的有用生物标志物。

https://cdn.ncbi.nlm.nih.gov/pmc/blobs/575d/7963899/55e2791caac3/JIR2021-6656121.006.jpg
https://cdn.ncbi.nlm.nih.gov/pmc/blobs/575d/7963899/a5088ba4893c/JIR2021-6656121.001.jpg
https://cdn.ncbi.nlm.nih.gov/pmc/blobs/575d/7963899/d86d55cc215b/JIR2021-6656121.002.jpg
https://cdn.ncbi.nlm.nih.gov/pmc/blobs/575d/7963899/b5b1c5efe6df/JIR2021-6656121.003.jpg
https://cdn.ncbi.nlm.nih.gov/pmc/blobs/575d/7963899/bfb652de8a3e/JIR2021-6656121.004.jpg
https://cdn.ncbi.nlm.nih.gov/pmc/blobs/575d/7963899/9a0c4061dc74/JIR2021-6656121.005.jpg
https://cdn.ncbi.nlm.nih.gov/pmc/blobs/575d/7963899/55e2791caac3/JIR2021-6656121.006.jpg
https://cdn.ncbi.nlm.nih.gov/pmc/blobs/575d/7963899/a5088ba4893c/JIR2021-6656121.001.jpg
https://cdn.ncbi.nlm.nih.gov/pmc/blobs/575d/7963899/d86d55cc215b/JIR2021-6656121.002.jpg
https://cdn.ncbi.nlm.nih.gov/pmc/blobs/575d/7963899/b5b1c5efe6df/JIR2021-6656121.003.jpg
https://cdn.ncbi.nlm.nih.gov/pmc/blobs/575d/7963899/bfb652de8a3e/JIR2021-6656121.004.jpg
https://cdn.ncbi.nlm.nih.gov/pmc/blobs/575d/7963899/9a0c4061dc74/JIR2021-6656121.005.jpg
https://cdn.ncbi.nlm.nih.gov/pmc/blobs/575d/7963899/55e2791caac3/JIR2021-6656121.006.jpg

相似文献

1
Anti-TROVE2 Antibody Determined by Immune-Related Array May Serve as a Predictive Marker for Adalimumab Immunogenicity and Effectiveness in RA.免疫相关阵列测定的抗 TROVE2 抗体可作为预测阿达木单抗在 RA 中免疫原性和有效性的标志物。
J Immunol Res. 2021 Mar 8;2021:6656121. doi: 10.1155/2021/6656121. eCollection 2021.
2
Significant associations of antidrug antibody levels with serum drug trough levels and therapeutic response of adalimumab and etanercept treatment in rheumatoid arthritis.抗药物抗体水平与类风湿关节炎阿达木单抗和依那西普治疗的血清药物谷浓度和治疗反应的显著相关性。
Ann Rheum Dis. 2015 Mar;74(3):e16. doi: 10.1136/annrheumdis-2013-203893. Epub 2014 Jan 17.
3
Low Percentage of Signal Regulatory Protein α/β Memory B Cells in Blood Predicts Development of Anti-drug Antibodies (ADA) in Adalimumab-Treated Rheumatoid Arthritis Patients.血液中信号调节蛋白 α/β 记忆 B 细胞比例低预示阿达木单抗治疗类风湿关节炎患者产生抗药物抗体(ADA)。
Front Immunol. 2018 Dec 5;9:2865. doi: 10.3389/fimmu.2018.02865. eCollection 2018.
4
Significance of anti-Ro/SSA antibodies in the response and retention of abatacept in patients with rheumatoid arthritis: a multicentre cohort study.抗 Ro/SSA 抗体在类风湿关节炎患者使用阿巴西普的反应和保留中的意义:一项多中心队列研究。
Scand J Rheumatol. 2021 Jan;50(1):15-19. doi: 10.1080/03009742.2020.1772361. Epub 2020 Sep 3.
5
Personalized medicine in rheumatoid arthritis: How immunogenicity impacts use of TNF inhibitors.类风湿关节炎的个体化医学:免疫原性如何影响 TNF 抑制剂的应用。
Autoimmun Rev. 2020 May;19(5):102509. doi: 10.1016/j.autrev.2020.102509. Epub 2020 Mar 12.
6
Detection of anti-drug antibodies using a bridging ELISA compared with radioimmunoassay in adalimumab-treated rheumatoid arthritis patients with random drug levels.在随机药物水平的阿达木单抗治疗的类风湿性关节炎患者中,使用桥接ELISA与放射免疫测定法检测抗药物抗体的比较。
Rheumatology (Oxford). 2016 Nov;55(11):2050-2055. doi: 10.1093/rheumatology/kew299. Epub 2016 Aug 25.
7
Prediction of successful dose reduction or discontinuation of adalimumab, etanercept, or infliximab in rheumatoid arthritis patients using serum drug levels and antidrug antibody measurement.利用血清药物水平和抗药物抗体测量预测类风湿关节炎患者阿达木单抗、依那西普或英夫利昔单抗成功减药或停药。
Expert Opin Drug Metab Toxicol. 2017 Jun;13(6):597-604. doi: 10.1080/17425255.2017.1320390. Epub 2017 Apr 24.
8
Immediate local and systemic hypersensitivity due to etanercept and adalimumab.因依那西普和阿达木单抗引起的即刻局部和全身超敏反应。
J Allergy Clin Immunol Pract. 2019 Feb;7(2):726-727. doi: 10.1016/j.jaip.2018.06.020. Epub 2018 Jul 10.
9
Adalimumab serum levels and anti-drug antibodies: associations to treatment response and drug survival in inflammatory joint diseases.阿达木单抗血清水平与抗药物抗体:与炎症性关节疾病的治疗反应和药物生存的关联。
Rheumatology (Oxford). 2024 May 3;63(6):1746-1755. doi: 10.1093/rheumatology/kead525.
10
Therapeutic drug monitoring of adalimumab in RA: no predictive value of adalimumab serum levels and anti-adalimumab antibodies for prediction of response to the next bDMARD.类风湿关节炎患者阿达木单抗的治疗药物监测:阿达木单抗血清水平和抗阿达木单抗抗体对预测下一次生物改善抗风湿药物反应无预测价值。
Ann Rheum Dis. 2020 Jul;79(7):867-873. doi: 10.1136/annrheumdis-2020-216996. Epub 2020 Apr 21.

引用本文的文献

1
Unlocking precision medicine: clinical applications of integrating health records, genetics, and immunology through artificial intelligence.开启精准医学:通过人工智能整合健康记录、遗传学和免疫学的临床应用
J Biomed Sci. 2025 Feb 7;32(1):16. doi: 10.1186/s12929-024-01110-w.
2
A Review of the Impact of Sjögren's Syndrome and/or the Presence of Anti-Ro/SS-A Antibodies on Therapeutic Strategies for Rheumatoid Arthritis.干燥综合征和/或抗Ro/SS-A抗体的存在对类风湿关节炎治疗策略的影响综述
J Clin Med. 2025 Jan 17;14(2):568. doi: 10.3390/jcm14020568.
3
Ro60-Roles in RNA Processing, Inflammation, and Rheumatic Autoimmune Diseases.

本文引用的文献

1
Clinical and associated inflammatory biomarker features predictive of short-term outcomes in non-systemic juvenile idiopathic arthritis.临床及相关炎症生物标志物特征预测非系统性幼年特发性关节炎的短期结局。
Rheumatology (Oxford). 2020 Sep 1;59(9):2402-2411. doi: 10.1093/rheumatology/kez615.
2
Low Percentage of Signal Regulatory Protein α/β Memory B Cells in Blood Predicts Development of Anti-drug Antibodies (ADA) in Adalimumab-Treated Rheumatoid Arthritis Patients.血液中信号调节蛋白 α/β 记忆 B 细胞比例低预示阿达木单抗治疗类风湿关节炎患者产生抗药物抗体(ADA)。
Front Immunol. 2018 Dec 5;9:2865. doi: 10.3389/fimmu.2018.02865. eCollection 2018.
3
Ro60-在 RNA 处理、炎症和风湿性自身免疫疾病中的作用。
Int J Mol Sci. 2024 Jul 14;25(14):7705. doi: 10.3390/ijms25147705.
4
Concomitant Sjögren's disease as a biomarker for treatment effectiveness in rheumatoid arthritis - results from the Swiss clinical quality management cohort.同时患有干燥综合征作为类风湿关节炎治疗效果的生物标志物 - 来自瑞士临床质量管理队列的结果。
Arthritis Res Ther. 2024 Mar 14;26(1):68. doi: 10.1186/s13075-024-03302-z.
5
Identification of PTPN20 as an innate immunity-related gene in gastric cancer with Helicobacter pylori infection.鉴定 PTPN20 为幽门螺杆菌感染相关性胃癌的固有免疫相关基因。
Front Immunol. 2023 Jun 9;14:1212692. doi: 10.3389/fimmu.2023.1212692. eCollection 2023.
6
Pharmacological strategies for mitigating anti-TNF biologic immunogenicity in rheumatoid arthritis patients.类风湿关节炎患者减轻抗 TNF 生物制剂免疫原性的药物策略。
Curr Opin Pharmacol. 2023 Feb;68:102320. doi: 10.1016/j.coph.2022.102320. Epub 2022 Dec 27.
7
Identification and Affinity Determination of Protein-Antibody and Protein-Aptamer Epitopes by Biosensor-Mass Spectrometry Combination.生物传感器-质谱联用技术鉴定和亲和力测定蛋白-抗体和蛋白-适体表位。
Int J Mol Sci. 2021 Nov 27;22(23):12832. doi: 10.3390/ijms222312832.
Multi-omics monitoring of drug response in rheumatoid arthritis in pursuit of molecular remission.
追求分子缓解的类风湿关节炎药物反应的多组学监测。
Nat Commun. 2018 Jul 16;9(1):2755. doi: 10.1038/s41467-018-05044-4.
4
Identifying protein biomarkers in predicting disease severity of dengue virus infection using immune-related protein microarray.利用免疫相关蛋白质微阵列鉴定预测登革病毒感染疾病严重程度的蛋白质生物标志物。
Medicine (Baltimore). 2018 Feb;97(5):e9713. doi: 10.1097/MD.0000000000009713.
5
Drug immunogenicity in patients with inflammatory arthritis and secondary failure to tumour necrosis factor inhibitor therapies: the REASON study.炎症性关节炎患者的药物免疫原性和肿瘤坏死因子抑制剂治疗的继发失败:REASON 研究。
Rheumatology (Oxford). 2018 Apr 1;57(4):688-693. doi: 10.1093/rheumatology/kex474.
6
Proteomics to predict the response to tumour necrosis factor-α inhibitors in rheumatoid arthritis using a supervised cluster-analysis based protein score.使用基于监督聚类分析的蛋白质评分的蛋白质组学来预测类风湿性关节炎中对肿瘤坏死因子-α抑制剂的反应。
Scand J Rheumatol. 2018 Jan;47(1):12-21. doi: 10.1080/03009742.2017.1309061. Epub 2017 Jun 26.
7
Immunogenicity of Biologics in Chronic Inflammatory Diseases: A Systematic Review.生物制剂在慢性炎症性疾病中的免疫原性:一项系统综述。
BioDrugs. 2017 Aug;31(4):299-316. doi: 10.1007/s40259-017-0231-8.
8
Immunogenicity of tocilizumab in patients with rheumatoid arthritis.托珠单抗在类风湿关节炎患者中的免疫原性。
Joint Bone Spine. 2017 Jan;84(1):39-45. doi: 10.1016/j.jbspin.2016.04.013. Epub 2016 Jun 28.
9
Augmentation of Autoantibodies by Helicobacter pylori in Parkinson's Disease Patients May Be Linked to Greater Severity.幽门螺杆菌导致帕金森病患者自身抗体增加可能与病情更严重有关。
PLoS One. 2016 Apr 21;11(4):e0153725. doi: 10.1371/journal.pone.0153725. eCollection 2016.
10
Independent Candidate Serum Protein Biomarkers of Response to Adalimumab and to Infliximab in Rheumatoid Arthritis: An Exploratory Study.类风湿关节炎中对阿达木单抗和英夫利昔单抗反应的独立候选血清蛋白生物标志物:一项探索性研究。
PLoS One. 2016 Apr 6;11(4):e0153140. doi: 10.1371/journal.pone.0153140. eCollection 2016.