Suppr超能文献

一种用于肝素诱导的血小板减少症的优化且标准化的快速流式细胞术功能检测方法。

An Optimized and Standardized Rapid Flow Cytometry Functional Method for Heparin-Induced Thrombocytopenia.

作者信息

Runser Anne, Schaning Caroline, Allemand Frédéric, Amiral Jean

机构信息

Emosis SAS, 11 Rue de l'Industrie, 67400 Illkirch, France.

SH-Consulting, 68 Quai de l'Oise, 78570 Andrésy, France.

出版信息

Biomedicines. 2021 Mar 13;9(3):296. doi: 10.3390/biomedicines9030296.

Abstract

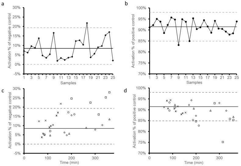
Heparin-induced thrombocytopenia (HIT) is a thrombocytopenia caused by heparin and mediated by an atypical immune mechanism leading to a paradoxical high thrombotic risk, associated with severe morbidity or death. The diagnosis of HIT combines a clinical scoring of pretest probability and laboratory testing. First-line routine tests are antigen binding assays detecting specific antibodies. The most sensitive of these tests have a high HIT-negative predictive value enabling HIT diagnosis to be ruled out when negative. However, HIT-positive predictive value is low, and a functional assay evaluating the pathogenicity of the antibodies should be performed to exclude false-positive results. In contrast to screening assays, functional assays are highly specific but technically challenging, and are thus performed in referral laboratories, where platelet activation is detected using radioactive serotonin (serotonin release assay, SRA) or visually (heparin-induced platelet activation, HIPA). Flow cytometry is a possible alternative. It is, however, currently not widely used, mostly because of the lack of standardization of the published assays. This article describes and discusses the standardization of a HIT flow cytometry assay (HIT-FCA) method, which subsequently led to the development and commercialization of a CE-marked assay (HIT Confirm, Emosis, France) as a suitable rapid HIT functional test.

摘要

肝素诱导的血小板减少症(HIT)是一种由肝素引起的血小板减少症,由非典型免疫机制介导,导致矛盾的高血栓形成风险,与严重的发病率或死亡率相关。HIT的诊断结合了预测试概率的临床评分和实验室检测。一线常规检测是检测特异性抗体的抗原结合试验。这些检测中最敏感的检测具有较高的HIT阴性预测价值,阴性时可排除HIT诊断。然而,HIT阳性预测价值较低,应进行评估抗体致病性的功能检测以排除假阳性结果。与筛查检测不同,功能检测具有高度特异性,但技术上具有挑战性,因此在参考实验室进行,在那里使用放射性血清素检测血小板活化(血清素释放试验,SRA)或通过视觉检测(肝素诱导的血小板活化,HIPA)。流式细胞术是一种可能的替代方法。然而,目前它没有被广泛使用,主要是因为已发表的检测方法缺乏标准化。本文描述并讨论了一种HIT流式细胞术检测方法(HIT-FCA)的标准化,该方法随后促成了一种CE标志检测方法(HIT Confirm,Emosis,法国)的开发和商业化,作为一种合适的快速HIT功能检测方法。

https://cdn.ncbi.nlm.nih.gov/pmc/blobs/1b48/7999851/cf5c3336c097/biomedicines-09-00296-g001.jpg

文献AI研究员

20分钟写一篇综述,助力文献阅读效率提升50倍。

立即体验

用中文搜PubMed

大模型驱动的PubMed中文搜索引擎

马上搜索

文档翻译

学术文献翻译模型,支持多种主流文档格式。

立即体验