Suppr超能文献

一种适用于受传感器和执行器故障影响的离散时间线性系统的鲁棒容错预测控制。

A Robust Fault-Tolerant Predictive Control for Discrete-Time Linear Systems Subject to Sensor and Actuator Faults.

作者信息

Bououden Sofiane, Boulkaibet Ilyes, Chadli Mohammed, Abboudi Abdelaziz

机构信息

Laboratory of SATIT, Department of Industrial Engineering, University Abbes Laghrour, Khenchela 40004, Algeria.

College of Engineering and Technology, American University of the Middle East, Egaila 54200, Kuwait.

出版信息

Sensors (Basel). 2021 Mar 25;21(7):2307. doi: 10.3390/s21072307.

Abstract

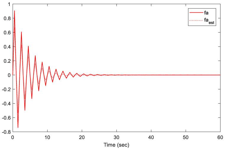
In this paper, a robust fault-tolerant model predictive control (RFTPC) approach is proposed for discrete-time linear systems subject to sensor and actuator faults, disturbances, and input constraints. In this approach, a virtual observer is first considered to improve the observation accuracy as well as reduce fault effects on the system. Then, a real observer is established based on the proposed virtual observer, since the performance of virtual observers is limited due to the presence of unmeasurable information in the system. Based on the estimated information obtained by the observers, a robust fault-tolerant model predictive control is synthesized and used to control discrete-time systems subject to sensor and actuator faults, disturbances, and input constraints. Additionally, an optimized cost function is employed in the RFTPC design to guarantee robust stability as well as the rejection of bounded disturbances for the discrete-time system with sensor and actuator faults. Furthermore, a linear matrix inequality (LMI) approach is used to propose sufficient stability conditions that ensure and guarantee the robust stability of the whole closed-loop system composed of the states and the estimation error of the system dynamics. As a result, the entire control problem is formulated as an LMI problem, and the gains of both observer and robust fault-tolerant model predictive controller are obtained by solving the linear matrix inequalities (LMIs). Finally, the efficiency of the proposed RFTPC controller is tested by simulating a numerical example where the simulation results demonstrate the applicability of the proposed method in dealing with linear systems subject to faults in both actuators and sensors.

摘要

本文针对存在传感器和执行器故障、干扰以及输入约束的离散时间线性系统,提出了一种鲁棒容错模型预测控制(RFTPC)方法。在该方法中,首先考虑一个虚拟观测器以提高观测精度并减少故障对系统的影响。然后,由于系统中存在不可测信息使得虚拟观测器的性能受限,基于所提出的虚拟观测器建立了一个实际观测器。基于观测器获得的估计信息,合成了一种鲁棒容错模型预测控制并用于控制存在传感器和执行器故障、干扰以及输入约束的离散时间系统。此外,在RFTPC设计中采用了优化的代价函数,以确保具有传感器和执行器故障的离散时间系统的鲁棒稳定性以及对有界干扰的抑制。进一步地,使用线性矩阵不等式(LMI)方法提出了充分的稳定性条件,以确保由系统动力学的状态和估计误差组成的整个闭环系统的鲁棒稳定性。结果,将整个控制问题表述为一个LMI问题,通过求解线性矩阵不等式(LMI)获得观测器和鲁棒容错模型预测控制器的增益。最后,通过对一个数值例子进行仿真来测试所提出的RFTPC控制器的有效性,仿真结果表明了所提方法在处理存在执行器和传感器故障的线性系统时的适用性。

https://cdn.ncbi.nlm.nih.gov/pmc/blobs/a7ba/8037972/75ac52391371/sensors-21-02307-g001.jpg

文献检索

告别复杂PubMed语法,用中文像聊天一样搜索,搜遍4000万医学文献。AI智能推荐,让科研检索更轻松。

立即免费搜索

文件翻译

保留排版,准确专业,支持PDF/Word/PPT等文件格式,支持 12+语言互译。

免费翻译文档

深度研究

AI帮你快速写综述,25分钟生成高质量综述,智能提取关键信息,辅助科研写作。

立即免费体验