• 文献检索
  • 文档翻译
  • 深度研究
  • 学术资讯
  • Suppr Zotero 插件Zotero 插件
  • 邀请有礼
  • 套餐&价格
  • 历史记录
应用&插件
Suppr Zotero 插件Zotero 插件浏览器插件Mac 客户端Windows 客户端微信小程序
定价
高级版会员购买积分包购买API积分包
服务
文献检索文档翻译深度研究API 文档MCP 服务
关于我们
关于 Suppr公司介绍联系我们用户协议隐私条款
关注我们

Suppr 超能文献

核心技术专利:CN118964589B侵权必究
粤ICP备2023148730 号-1Suppr @ 2026

文献检索

告别复杂PubMed语法,用中文像聊天一样搜索,搜遍4000万医学文献。AI智能推荐,让科研检索更轻松。

立即免费搜索

文件翻译

保留排版,准确专业,支持PDF/Word/PPT等文件格式,支持 12+语言互译。

免费翻译文档

深度研究

AI帮你快速写综述,25分钟生成高质量综述,智能提取关键信息,辅助科研写作。

立即免费体验

双耳整合对单侧耳聋且植入耳有残余听力的人工耳蜗患者的益处。

Benefits of Binaural Integration in Cochlear Implant Patients with Single-Sided Deafness and Residual Hearing in the Implanted Ear.

作者信息

Lorens Artur, Obrycka Anita, Skarzynski Piotr Henryk, Skarzynski Henryk

机构信息

World Hearing Center, Implant and Auditory Perception Department, Institute of Physiology and Pathology of Hearing, 02-042 Warsaw, Poland.

World Hearing Center, Teleaudiology and Screening Examination Department, Institute of Physiology and Pathology of Hearing, 02-042 Warsaw, Poland.

出版信息

Life (Basel). 2021 Mar 23;11(3):265. doi: 10.3390/life11030265.

DOI:10.3390/life11030265
PMID:33806937
原文链接:https://pmc.ncbi.nlm.nih.gov/articles/PMC8005038/
Abstract

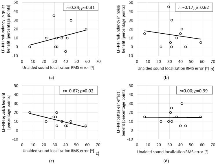
The purpose of the study is to gauge the benefits of binaural integration effects (redundancy and squelch) due to preserved low-frequency residual hearing in the implanted ear of cochlear implant users with single-sided deafness. There were 11 cochlear implant users (age 18-61 years old) who had preserved low-frequency hearing in the implanted ear; they had a normal hearing or mild hearing loss in the contralateral ear. Patients were tested with monosyllabic words, under different spatial locations of speech and noise and with the cochlear implant activated and deactivated, in two listening configurations-one in which low frequencies in the implanted ear were masked and another in which they were unmasked. We also investigated how cochlear implant benefit due to binaural integration depended on unaided sound localization ability. Patients benefited from the binaural integration effects of redundancy and squelch only in the unmasked condition. Pearson correlations between binaural integration effects and unaided sound localization error showed significance only for squelch ( = -0.67; = 0.02). Hearing preservation after cochlear implantation has considerable benefits because the preserved low-frequency hearing in the implanted ear contributes to binaural integration, presumably through the preserved temporal fine structure.

摘要

本研究的目的是评估双耳整合效应(冗余和静噪)的益处,该效应源于单侧耳聋的人工耳蜗使用者植入耳中保留的低频残余听力。有11名人工耳蜗使用者(年龄在18至61岁之间),其植入耳保留了低频听力;他们对侧耳听力正常或轻度听力损失。在两种听力配置下,对患者进行单音节词测试,测试时语音和噪声处于不同空间位置,且人工耳蜗处于激活和未激活状态——一种配置是植入耳中的低频被掩蔽,另一种配置是低频未被掩蔽。我们还研究了双耳整合带来的人工耳蜗益处如何依赖于无助听声音定位能力。患者仅在未掩蔽条件下受益于冗余和静噪的双耳整合效应。双耳整合效应与无助听声音定位误差之间的皮尔逊相关性仅在静噪方面显示出显著性( = -0.67; = 0.02)。人工耳蜗植入后保留听力有相当大的益处,因为植入耳中保留的低频听力可能通过保留的时间精细结构有助于双耳整合。

https://cdn.ncbi.nlm.nih.gov/pmc/blobs/6ffa/8005038/37cb8acf00bc/life-11-00265-g003.jpg
https://cdn.ncbi.nlm.nih.gov/pmc/blobs/6ffa/8005038/d9aeea31230a/life-11-00265-g001.jpg
https://cdn.ncbi.nlm.nih.gov/pmc/blobs/6ffa/8005038/4335f4bc0919/life-11-00265-g002.jpg
https://cdn.ncbi.nlm.nih.gov/pmc/blobs/6ffa/8005038/37cb8acf00bc/life-11-00265-g003.jpg
https://cdn.ncbi.nlm.nih.gov/pmc/blobs/6ffa/8005038/d9aeea31230a/life-11-00265-g001.jpg
https://cdn.ncbi.nlm.nih.gov/pmc/blobs/6ffa/8005038/4335f4bc0919/life-11-00265-g002.jpg
https://cdn.ncbi.nlm.nih.gov/pmc/blobs/6ffa/8005038/37cb8acf00bc/life-11-00265-g003.jpg

相似文献

1
Benefits of Binaural Integration in Cochlear Implant Patients with Single-Sided Deafness and Residual Hearing in the Implanted Ear.双耳整合对单侧耳聋且植入耳有残余听力的人工耳蜗患者的益处。
Life (Basel). 2021 Mar 23;11(3):265. doi: 10.3390/life11030265.
2
Benefits of bilateral electrical stimulation with the nucleus cochlear implant in adults: 6-month postoperative results.成人人工耳蜗植入双侧电刺激的益处:术后6个月结果
Otol Neurotol. 2004 Nov;25(6):958-68. doi: 10.1097/00129492-200411000-00016.
3
Binaural hearing advantages for children with bimodal fitting.双耳选配对儿童的听力优势。
Int J Pediatr Otorhinolaryngol. 2019 Jun;121:58-63. doi: 10.1016/j.ijporl.2019.02.043. Epub 2019 Feb 27.
4
Comparison of the benefits of cochlear implantation versus contra-lateral routing of signal hearing aids in adult patients with single-sided deafness: study protocol for a prospective within-subject longitudinal trial.成人单侧耳聋患者人工耳蜗植入与对侧信号传导助听器的益处比较:一项前瞻性自身纵向试验的研究方案
BMC Ear Nose Throat Disord. 2014 Aug 11;14:7. doi: 10.1186/1472-6815-14-7. eCollection 2014.
5
Binaural Perception in Single-Sided Deaf Cochlear Implant Users with Unrestricted or Restricted Acoustic Hearing in the Non-Implanted Ear.单侧耳聋人工耳蜗使用者在非植入耳听力不受限或受限情况下的双耳感知
Audiol Neurootol. 2018;23(3):187-197. doi: 10.1159/000490879. Epub 2018 Oct 23.
6
Restoration of cortical symmetry and binaural function: Cortical auditory evoked responses in adult cochlear implant users with single sided deafness.恢复皮质对称性和双耳功能:单侧聋成年人工耳蜗植入者的皮质听觉诱发电位。
PLoS One. 2020 Jan 14;15(1):e0227371. doi: 10.1371/journal.pone.0227371. eCollection 2020.
7
Binaural Integration of Spectrally Degraded Speech in Adult Cochlear Implant Recipients with Single-Sided Deafness.单侧聋成人人工耳蜗植入者频谱损伤语音的双耳整合。
Audiol Neurootol. 2022;27(6):485-500. doi: 10.1159/000521964. Epub 2022 Aug 3.
8
Pre- and Postoperative Binaural Unmasking for Bimodal Cochlear Implant Listeners.双耳双模人工耳蜗植入患者术前术后的双侧掩蔽
Ear Hear. 2017 Sep/Oct;38(5):554-567. doi: 10.1097/AUD.0000000000000420.
9
Improved interaural timing of acoustic nerve stimulation affects sound localization in single-sided deaf cochlear implant users.声神经刺激的时间间隔改善影响单侧聋人工耳蜗植入者的声音定位。
Hear Res. 2019 Jan;371:19-27. doi: 10.1016/j.heares.2018.10.015. Epub 2018 Oct 29.
10
Speech intelligibility and subjective benefit in single-sided deaf adults after cochlear implantation.人工耳蜗植入后单侧耳聋成年人的言语可懂度和主观获益情况
Hear Res. 2017 May;348:112-119. doi: 10.1016/j.heares.2017.03.002. Epub 2017 Mar 10.

引用本文的文献

1
Speech Recognition for Pediatric Electric-Acoustic Stimulation Users with Unilateral Hearing Loss.单侧听力损失的小儿电声刺激用户的语音识别
Otol Neurotol. 2025 Jun 1;46(5):499-504. doi: 10.1097/MAO.0000000000004460. Epub 2025 Feb 20.
2
Preservation of Residual Hearing: Long-Term Results With a Mid-Scala Electrode.残余听力的保护:中阶电极的长期结果。
J Otolaryngol Head Neck Surg. 2024 Jan-Dec;53:19160216241250351. doi: 10.1177/19160216241250351.
3
Towards a Consensus on an ICF-Based Classification System for Horizontal Sound-Source Localization.

本文引用的文献

1
Binaural cue sensitivity in cochlear implant recipients with acoustic hearing preservation.具有声学听力保护的人工耳蜗植入者的双耳线索敏感性。
Hear Res. 2020 May;390:107929. doi: 10.1016/j.heares.2020.107929. Epub 2020 Feb 26.
2
Prospective Multicentric Follow-up Study of Cochlear Implantation in Adults With Single-Sided Deafness: Tinnitus and Audiological Outcomes.前瞻性多中心单侧聋成人人工耳蜗植入随访研究:耳鸣及听力学结果。
Otol Neurotol. 2020 Apr;41(4):458-466. doi: 10.1097/MAO.0000000000002564.
3
Long-term audiologic outcomes after cochlear implantation for single-sided deafness.
迈向基于国际功能、残疾和健康分类(ICF)的水平声源定位分类系统的共识。
J Pers Med. 2022 Nov 29;12(12):1971. doi: 10.3390/jpm12121971.
4
Effectiveness of Various Treatments for Sudden Sensorineural Hearing Loss-A Retrospective Study.突发性感音神经性听力损失的各种治疗方法的有效性——一项回顾性研究
Life (Basel). 2022 Jan 10;12(1):96. doi: 10.3390/life12010096.
单侧聋患者人工耳蜗植入后的长期听力学结果。
Laryngoscope. 2020 Jul;130(7):1805-1811. doi: 10.1002/lary.28358. Epub 2019 Nov 11.
4
Hearing Preservation With the Use of Flex20 and Flex24 Electrodes in Patients With Partial Deafness.应用 Flex20 和 Flex24 电极治疗部分耳聋患者的听力保护。
Otol Neurotol. 2019 Oct;40(9):1153-1159. doi: 10.1097/MAO.0000000000002357.
5
Endomeatal approach in cochlear implant surgery in a patient with small mastoid cavity and procident lateral sinus.小乳突腔和低位乙状窦患者人工耳蜗植入手术中的外耳道入路
BMJ Case Rep. 2019 Jun 6;12(6):e229518. doi: 10.1136/bcr-2019-229518.
6
Binaural advantages in using a cochlear implant for adults with profound unilateral hearing loss.双耳使用人工耳蜗对重度单侧听力损失成人的优势。
Acta Otolaryngol. 2019 Feb;139(2):153-161. doi: 10.1080/00016489.2018.1535190. Epub 2019 Feb 14.
7
Cochlear implant effectiveness in postlingual single-sided deaf individuals: what's the point?人工耳蜗对语后单侧重度聋患者的有效性:意义何在?
Int J Audiol. 2017 Jun;56(6):417-423. doi: 10.1080/14992027.2017.1296595. Epub 2017 Mar 5.
8
Head Shadow and Binaural Squelch for Unilaterally Deaf Cochlear Implantees.单侧耳聋人工耳蜗植入者的头部阴影和双耳静噪
Otol Neurotol. 2017 Aug;38(7):e195-e202. doi: 10.1097/MAO.0000000000001469.
9
The hearing benefit of cochlear implantation for individuals with unilateral hearing loss, but no tinnitus.单侧听力损失但无耳鸣患者人工耳蜗植入的听力获益。
Acta Otolaryngol. 2017 Jul;137(7):723-729. doi: 10.1080/00016489.2016.1274427. Epub 2017 Jan 18.
10
Using ILD or ITD Cues for Sound Source Localization and Speech Understanding in a Complex Listening Environment by Listeners With Bilateral and With Hearing-Preservation Cochlear Implants.在复杂聆听环境中,使用ILD或ITD线索进行双侧及听力保留型人工耳蜗植入者的声源定位和言语理解
J Speech Lang Hear Res. 2016 Aug 1;59(4):810-8. doi: 10.1044/2015_JSLHR-H-14-0355.