College of Pharmacy and Research Institute of Pharmaceutical Sciences, Seoul National University, Seoul 08826, Korea.
College of Pharmacy and Integrated Research Institute for Drug Development, Dongguk University-Seoul, Goyang 10326, Korea.
Biomolecules. 2021 Mar 19;11(3):463. doi: 10.3390/biom11030463.
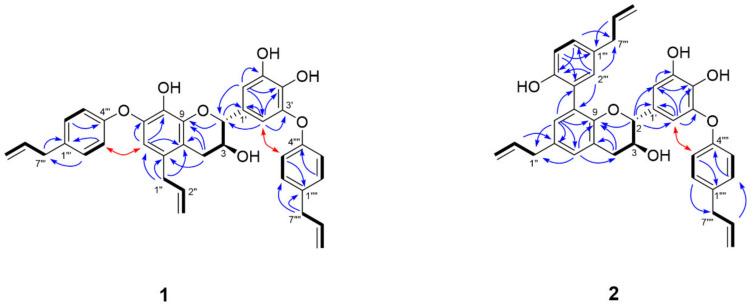
Natural products have been fundamental materials in drug discovery. Traditional strategies for observing natural products with novel structure and/or biological activity are challenging due to large cost and time consumption. Implementation of the MS/MS-based molecular networking strategy with the in silico annotation tool is expected to expedite the dereplication of secondary metabolites. In this study, using this tool, two new dilignans with a 2-phenyl-3-chromanol motif, obovatolins A () and B (), were discovered from the stem barks of Thunb. along with six known compounds (-), expanding chemical diversity of lignan skeletons in this natural source. Their structures and configurations were elucidated using spectroscopic data. All isolates were evaluated for their PCSK9 mRNA expression inhibitory activity. Obovatolins A () and B (), and magnolol () showed potent lipid controlling activities. To identify transcriptionally controlled genes by along with downregulation of PCSK9, using small set of genes (42 genes) related to lipid metabolism selected from the database, focused bioinformatic analysis was carried out. As a result, it showed the correlations between gene expression under presence of , which led to detailed insight of the lipid metabolism caused by .
天然产物一直是药物发现的重要材料。由于成本高、耗时耗力,传统的观察具有新颖结构和/或生物活性的天然产物的策略具有挑战性。预计基于 MS/MS 的分子网络策略与计算机注释工具的实施将加速次生代谢产物的去重复。在这项研究中,使用该工具,从 Thunb. 的茎皮中发现了两个具有 2-苯基-3-色满醇基序的新二芳基丁烷,obovatolins A()和 B(),以及六个已知化合物(-),扩大了这一天然来源中木脂素骨架的化学多样性。它们的结构和构型是通过光谱数据阐明的。所有分离物均评估了其对 PCSK9 mRNA 表达抑制活性。Obovatolins A()和 B()以及厚朴酚()表现出很强的脂质控制活性。为了确定 与 PCSK9 下调相关的转录控制基因,使用数据库中选择的与脂质代谢相关的一小部分基因(42 个基因)进行了集中的生物信息学分析。结果表明, 在存在时基因表达之间存在相关性,这使得详细了解了 引起的脂质代谢。