• 文献检索
  • 文档翻译
  • 深度研究
  • 学术资讯
  • Suppr Zotero 插件Zotero 插件
  • 邀请有礼
  • 套餐&价格
  • 历史记录
应用&插件
Suppr Zotero 插件Zotero 插件浏览器插件Mac 客户端Windows 客户端微信小程序
定价
高级版会员购买积分包购买API积分包
服务
文献检索文档翻译深度研究API 文档MCP 服务
关于我们
关于 Suppr公司介绍联系我们用户协议隐私条款
关注我们

Suppr 超能文献

核心技术专利:CN118964589B侵权必究
粤ICP备2023148730 号-1Suppr @ 2026

文献检索

告别复杂PubMed语法,用中文像聊天一样搜索,搜遍4000万医学文献。AI智能推荐,让科研检索更轻松。

立即免费搜索

文件翻译

保留排版,准确专业,支持PDF/Word/PPT等文件格式,支持 12+语言互译。

免费翻译文档

深度研究

AI帮你快速写综述,25分钟生成高质量综述,智能提取关键信息,辅助科研写作。

立即免费体验

凡德他尼与卡博替尼治疗甲状腺髓样癌:斑马鱼模型中的抗血管生成作用研究。

Vandetanib versus Cabozantinib in Medullary Thyroid Carcinoma: A Focus on Anti-Angiogenic Effects in Zebrafish Model.

机构信息

Laboratory of Endocrine and Metabolic Research, Istituto Auxologico Italiano, IRCCS, 20095 Cusano Milanino, MI, Italy.

Laboratory of Geriatric and Oncologic Neuroendocrinology Research, Istituto Auxologico Italiano, IRCCS, 20095 Cusano Milanino, MI, Italy.

出版信息

Int J Mol Sci. 2021 Mar 16;22(6):3031. doi: 10.3390/ijms22063031.

DOI:10.3390/ijms22063031
PMID:33809722
原文链接:https://pmc.ncbi.nlm.nih.gov/articles/PMC8002338/
Abstract

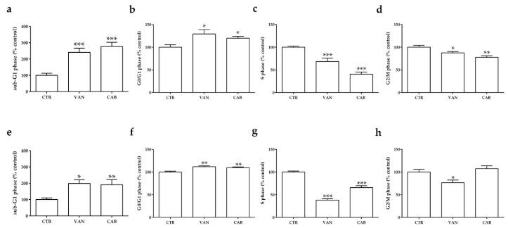
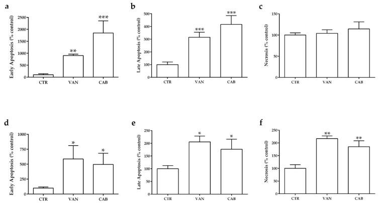
Medullary thyroid carcinoma (MTC) is a tumor deriving from the thyroid C cells. Vandetanib (VAN) and cabozantinib (CAB) are two tyrosine kinase inhibitors targeting REarranged during Transfection (RET) and other kinase receptors and are approved for the treatment of advanced MTC. We aim to compare the in vitro and in vivo anti-tumor activity of VAN and CAB in MTC. The effects of VAN and CAB on viability, cell cycle, and apoptosis of TT and MZ-CRC-1 cells are evaluated in vitro using an MTT assay, DNA flow cytometry with propidium iodide, and Annexin V-FITC/propidium iodide staining, respectively. In vivo, the anti-angiogenic potential of VAN and CAB is evaluated in transgenic fluorescent zebrafish embryos by analyzing the effects on the physiological development of the sub-intestinal vein plexus and the tumor-induced angiogenesis after TT and MZ-CRC-1 xenotransplantation. VAN and CAB exert comparable effects on TT and MZ-CRC-1 viability inhibition and cell cycle perturbation, and stimulated apoptosis with a prominent effect by VAN in MZ-CRC-1 and CAB in TT cells. Regarding zebrafish, both drugs inhibit angiogenesis in a dose-dependent manner, in particular CAB shows a more potent anti-angiogenic activity than VAN. To conclude, although VAN and CAB show comparable antiproliferative effects in MTC, the anti-angiogenic activity of CAB appears to be more relevant.

摘要

甲状腺髓样癌(MTC)是一种起源于甲状腺 C 细胞的肿瘤。凡德他尼(VAN)和卡博替尼(CAB)是两种针对重排转化(RET)和其他激酶受体的酪氨酸激酶抑制剂,已被批准用于治疗晚期 MTC。我们旨在比较 VAN 和 CAB 在 MTC 中的体外和体内抗肿瘤活性。采用 MTT 法、碘化丙啶 DNA 流式细胞术和 Annexin V-FITC/碘化丙啶染色分别评估 VAN 和 CAB 对 TT 和 MZ-CRC-1 细胞活力、细胞周期和凋亡的影响。在体内,通过分析对转基因荧光斑马鱼胚胎的亚肠静脉丛生理发育的影响以及 TT 和 MZ-CRC-1 异种移植后的肿瘤诱导血管生成,评估 VAN 和 CAB 的抗血管生成潜力。VAN 和 CAB 对 TT 和 MZ-CRC-1 细胞活力抑制和细胞周期扰动具有相似的作用,并以 VAN 在 MZ-CRC-1 细胞和 CAB 在 TT 细胞中诱导凋亡的显著作用刺激凋亡。关于斑马鱼,两种药物均以剂量依赖性方式抑制血管生成,尤其是 CAB 显示出比 VAN 更强的抗血管生成活性。总之,尽管 VAN 和 CAB 在 MTC 中显示出相似的抗增殖作用,但 CAB 的抗血管生成活性似乎更为相关。

https://cdn.ncbi.nlm.nih.gov/pmc/blobs/8289/8002338/0ae07ee28812/ijms-22-03031-g007.jpg
https://cdn.ncbi.nlm.nih.gov/pmc/blobs/8289/8002338/f617bc87dbe8/ijms-22-03031-g001.jpg
https://cdn.ncbi.nlm.nih.gov/pmc/blobs/8289/8002338/ac75d66d8dee/ijms-22-03031-g002.jpg
https://cdn.ncbi.nlm.nih.gov/pmc/blobs/8289/8002338/14c30ff024cf/ijms-22-03031-g003.jpg
https://cdn.ncbi.nlm.nih.gov/pmc/blobs/8289/8002338/8660b44d64f9/ijms-22-03031-g004.jpg
https://cdn.ncbi.nlm.nih.gov/pmc/blobs/8289/8002338/e6800ada2e38/ijms-22-03031-g005.jpg
https://cdn.ncbi.nlm.nih.gov/pmc/blobs/8289/8002338/0bafc4d9ea78/ijms-22-03031-g006.jpg
https://cdn.ncbi.nlm.nih.gov/pmc/blobs/8289/8002338/0ae07ee28812/ijms-22-03031-g007.jpg
https://cdn.ncbi.nlm.nih.gov/pmc/blobs/8289/8002338/f617bc87dbe8/ijms-22-03031-g001.jpg
https://cdn.ncbi.nlm.nih.gov/pmc/blobs/8289/8002338/ac75d66d8dee/ijms-22-03031-g002.jpg
https://cdn.ncbi.nlm.nih.gov/pmc/blobs/8289/8002338/14c30ff024cf/ijms-22-03031-g003.jpg
https://cdn.ncbi.nlm.nih.gov/pmc/blobs/8289/8002338/8660b44d64f9/ijms-22-03031-g004.jpg
https://cdn.ncbi.nlm.nih.gov/pmc/blobs/8289/8002338/e6800ada2e38/ijms-22-03031-g005.jpg
https://cdn.ncbi.nlm.nih.gov/pmc/blobs/8289/8002338/0bafc4d9ea78/ijms-22-03031-g006.jpg
https://cdn.ncbi.nlm.nih.gov/pmc/blobs/8289/8002338/0ae07ee28812/ijms-22-03031-g007.jpg

相似文献

1
Vandetanib versus Cabozantinib in Medullary Thyroid Carcinoma: A Focus on Anti-Angiogenic Effects in Zebrafish Model.凡德他尼与卡博替尼治疗甲状腺髓样癌:斑马鱼模型中的抗血管生成作用研究。
Int J Mol Sci. 2021 Mar 16;22(6):3031. doi: 10.3390/ijms22063031.
2
Vandetanib and cabozantinib potentiate mitochondria-targeted agents to suppress medullary thyroid carcinoma cells.凡德他尼和卡博替尼增强靶向线粒体的药物以抑制甲状腺髓样癌细胞。
Cancer Biol Ther. 2017 Jul 3;18(7):473-483. doi: 10.1080/15384047.2017.1323594. Epub 2017 May 5.
3
Real-World Efficacy and Safety of Cabozantinib and Vandetanib in Advanced Medullary Thyroid Cancer.卡博替尼和凡德他尼治疗晚期甲状腺髓样癌的真实世界疗效和安全性。
Thyroid. 2021 Mar;31(3):459-469. doi: 10.1089/thy.2020.0206. Epub 2020 Sep 23.
4
Cabozantinib and vandetanib for unresectable locally advanced or metastatic medullary thyroid cancer: a systematic review and economic model.卡博替尼和凡德他尼治疗不可切除的局部晚期或转移性甲状腺髓样癌:系统评价和经济模型。
Health Technol Assess. 2019 Feb;23(8):1-144. doi: 10.3310/hta23080.
5
Medullary thyroid carcinoma - Adverse events during systemic treatment: risk-benefit ratio.甲状腺髓样癌——全身治疗期间的不良事件:风险效益比
Arch Endocrinol Metab. 2017 Jul-Aug;61(4):398-402. doi: 10.1590/2359-3997000000267. Epub 2017 Jun 26.
6
Mitochondria-targeted nitroxide, Mito-CP, suppresses medullary thyroid carcinoma cell survival in vitro and in vivo.线粒体靶向氮氧化物 Mito-CP 抑制髓样甲状腺癌细胞在体外和体内的存活。
J Clin Endocrinol Metab. 2013 Apr;98(4):1529-40. doi: 10.1210/jc.2012-3671. Epub 2013 Mar 18.
7
Efficacy of a Novel Second-Generation Somatostatin-Dopamine Chimera (TBR-065) in Human Medullary Thyroid Cancer: A Preclinical Study.新型第二代生长抑素-多巴胺嵌合体(TBR-065)在人甲状腺髓样癌中的疗效:一项临床前研究。
Neuroendocrinology. 2021;111(10):937-950. doi: 10.1159/000512366. Epub 2020 Oct 19.
8
Systemic treatment and management approaches for medullary thyroid cancer.甲状腺髓样癌的系统治疗和管理方法。
Cancer Treat Rev. 2016 Nov;50:89-98. doi: 10.1016/j.ctrv.2016.09.006. Epub 2016 Sep 10.
9
Chemotherapy and tyrosine-kinase inhibitors for medullary thyroid cancer.甲状腺髓样癌的化疗与酪氨酸激酶抑制剂
Best Pract Res Clin Endocrinol Metab. 2017 Jun;31(3):335-347. doi: 10.1016/j.beem.2017.04.009. Epub 2017 Apr 28.
10
cabozantinib (COMETRIQ⁰). In medullary thyroid cancer: more harmful than beneficial, as is vandetanib.卡博替尼(COMETRIQ⁰)。在甲状腺髓样癌中:与凡德他尼一样,弊大于利。
Prescrire Int. 2016 Jan;25(167):11-3.

引用本文的文献

1
Targeting endothelial growth factor receptor in thyroid cancer: current concepts and future directions.甲状腺癌中内皮生长因子受体的靶向治疗:当前概念与未来方向
Med Oncol. 2025 Jun 2;42(7):233. doi: 10.1007/s12032-025-02788-0.
2
Systemic therapies for medullary thyroid carcinoma: state of the art.甲状腺髓样癌的全身治疗:最新进展
Ther Adv Endocrinol Metab. 2025 May 11;16:20420188251336091. doi: 10.1177/20420188251336091. eCollection 2025.
3
How Tumors Affect Hemodynamics: A Diffusion Study on the Zebrafish Transplantable Model of Medullary Thyroid Carcinoma by Selective Plane Illumination Microscopy.

本文引用的文献

1
New perspectives in neuroendocrine neoplasms research from tumor xenografts in zebrafish embryos.斑马鱼胚胎肿瘤异种移植在神经内分泌肿瘤研究中的新视角。
Minerva Endocrinol. 2020 Dec;45(4):393-394. doi: 10.23736/S0391-1977.20.03371-4. Epub 2020 Oct 26.
2
Real-World Efficacy and Safety of Cabozantinib and Vandetanib in Advanced Medullary Thyroid Cancer.卡博替尼和凡德他尼治疗晚期甲状腺髓样癌的真实世界疗效和安全性。
Thyroid. 2021 Mar;31(3):459-469. doi: 10.1089/thy.2020.0206. Epub 2020 Sep 23.
3
Procalcitonin as a marker of medullary thyroid carcinoma.
肿瘤如何影响血流动力学:通过选择性平面照明显微镜对甲状腺髓样癌斑马鱼移植模型进行的扩散研究。
Int J Mol Sci. 2024 Dec 13;25(24):13392. doi: 10.3390/ijms252413392.
4
An Overview of Altered Pathways Associated with Sensitivity to Platinum-Based Chemotherapy in Neuroendocrine Tumors: Strengths and Prospects.神经内分泌肿瘤铂类化疗敏感性相关改变途径概述:优势与前景。
Int J Mol Sci. 2024 Aug 6;25(16):8568. doi: 10.3390/ijms25168568.
5
Targeted radionuclide therapy in endocrine-related cancers: advances in the last decade.靶向放射性核素治疗在内分泌相关癌症中的应用:近十年的进展。
Front Endocrinol (Lausanne). 2023 Nov 20;14:1187870. doi: 10.3389/fendo.2023.1187870. eCollection 2023.
6
Identification of side effects of COVID-19 drug candidates on embryogenesis using an integrated zebrafish screening platform.利用整合的斑马鱼筛选平台鉴定 COVID-19 候选药物对胚胎发生的副作用。
Sci Rep. 2023 Oct 9;13(1):17037. doi: 10.1038/s41598-023-43911-3.
7
Carcinoid Syndrome: Preclinical Models and Future Therapeutic Strategies.类癌综合征:临床前模型与未来治疗策略。
Int J Mol Sci. 2023 Feb 10;24(4):3610. doi: 10.3390/ijms24043610.
8
One Host-Multiple Applications: Zebrafish () as Promising Model for Studying Human Cancers and Pathogenic Diseases.一鱼多能:斑马鱼()有望成为研究人类癌症和疾病的理想模型。
Int J Mol Sci. 2022 Sep 6;23(18):10255. doi: 10.3390/ijms231810255.
9
Preclinical Evaluation of Novel Tyrosine-Kinase Inhibitors in Medullary Thyroid Cancer.新型酪氨酸激酶抑制剂在甲状腺髓样癌中的临床前评估
Cancers (Basel). 2022 Sep 13;14(18):4442. doi: 10.3390/cancers14184442.
10
Modeling Lung Carcinoids with Zebrafish Tumor Xenograft.建立人源肿瘤异种移植斑马鱼模型用于肺类癌研究
Int J Mol Sci. 2022 Jul 23;23(15):8126. doi: 10.3390/ijms23158126.
降钙素原作为甲状腺髓样癌的标志物。
Minerva Endocrinol (Torino). 2021 Dec;46(4):481-482. doi: 10.23736/S2724-6507.20.03229-0. Epub 2020 Jul 23.
4
A systematical comparison of anti-angiogenesis and anti-cancer efficacy of ramucirumab, apatinib, regorafenib and cabozantinib in zebrafish model.在斑马鱼模型中比较雷莫芦单抗、阿帕替尼、瑞戈非尼和卡博替尼的抗血管生成和抗癌疗效的系统比较。
Life Sci. 2020 Apr 15;247:117402. doi: 10.1016/j.lfs.2020.117402. Epub 2020 Feb 7.
5
Cabozantinib and vandetanib for unresectable locally advanced or metastatic medullary thyroid cancer: a systematic review and economic model.卡博替尼和凡德他尼治疗不可切除的局部晚期或转移性甲状腺髓样癌:系统评价和经济模型。
Health Technol Assess. 2019 Feb;23(8):1-144. doi: 10.3310/hta23080.
6
Management of Medullary Thyroid Cancer.甲状腺髓样癌的治疗。
Endocrinol Metab Clin North Am. 2019 Mar;48(1):285-301. doi: 10.1016/j.ecl.2018.11.006. Epub 2018 Dec 26.
7
Pazopanib, Cabozantinib, and Vandetanib in the Treatment of Progressive Medullary Thyroid Cancer with a Special Focus on the Adverse Effects on Hypertension.帕唑帕尼、卡博替尼和凡德他尼在进展性甲状腺髓样癌治疗中的应用,特别关注对高血压的不良反应。
Int J Mol Sci. 2018 Oct 20;19(10):3258. doi: 10.3390/ijms19103258.
8
Effects of human recombinant type I IFNs (IFN-α2b and IFN-β1a) on growth and migration of primary endometrial stromal cells from women with deeply infiltrating endometriosis: A preliminary study.人重组I型干扰素(IFN-α2b和IFN-β1a)对深部浸润型子宫内膜异位症患者原代子宫内膜间质细胞生长和迁移的影响:一项初步研究。
Eur J Obstet Gynecol Reprod Biol. 2018 Nov;230:192-198. doi: 10.1016/j.ejogrb.2018.10.004. Epub 2018 Oct 3.
9
Monitoring antiangiogenesis of bevacizumab in zebrafish.监测贝伐单抗在斑马鱼中的抗血管生成作用。
Drug Des Devel Ther. 2018 Aug 6;12:2423-2430. doi: 10.2147/DDDT.S166330. eCollection 2018.
10
Update on Multiple Endocrine Neoplasia Type 2: Focus on Medullary Thyroid Carcinoma.2型多发性内分泌腺瘤病的最新进展:聚焦甲状腺髓样癌
J Endocr Soc. 2018 Jul 13;2(8):933-943. doi: 10.1210/js.2018-00178. eCollection 2018 Aug 1.