Suppr超能文献

世界首例采用 Selution SLR 西罗莫司洗脱球囊治疗 TASC II C 和 D 型胫骨闭塞性病变的经验:来自 PRESTIGE 研究的 6 个月结果。

World's First Experience Treating TASC II C and D Tibial Occlusive Disease Using the Selution SLR Sirolimus-Eluting Balloon: Six-Month Results From the PRESTIGE Study.

机构信息

Department of Vascular Surgery, Singapore General Hospital, Singapore.

Duke-NUS Graduate Medical School, Singapore.

出版信息

J Endovasc Ther. 2021 Aug;28(4):555-566. doi: 10.1177/15266028211007457. Epub 2021 Apr 12.

Abstract

PURPOSE

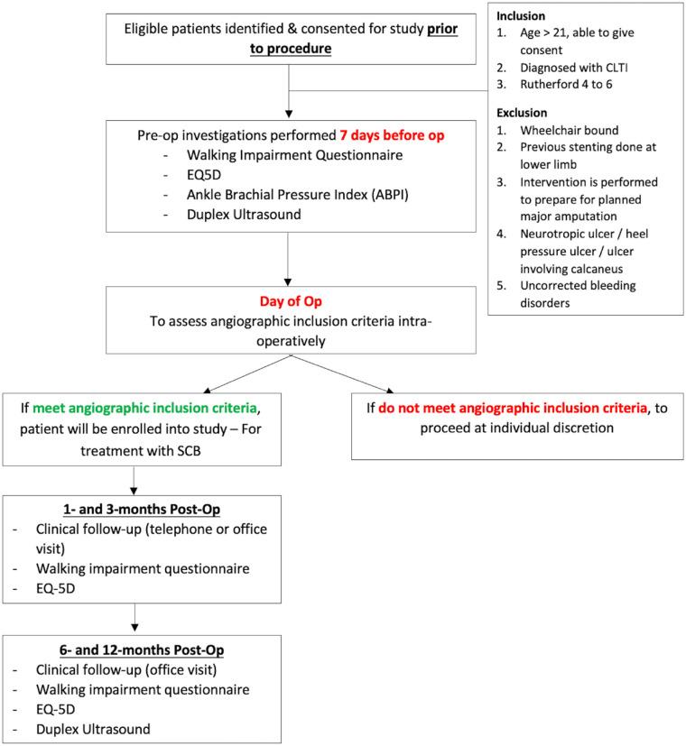
The performance of sirolimus-coated devices has not been studied in patients with chronic limb-threatening ischemia patients. PRESTIGE aims to investigate the 6-month efficacy and safety profile of the Selution Sustained Limus Release (SLR) sirolimus-eluting balloon for treatment of TASC II C and D tibial occlusive lesions in patients with CLTI.

MATERIALS AND METHODS

PRESTIGE is a pilot prospective, nonrandomized, single-arm, multi-investigator, single-center clinical study. Endpoints were adverse event-free survival at 1 month, technical success rate, primary tibial patency at 6 months, limb salvage success, target lesion revascularization (TLR), and amputation free survival (AFS).

RESULTS

A total of 25 patients were included. There were 17 (68.0%) males; mean age, 63.7±9.73 years. CLTI severity was based on the Rutherford scale (R5=25/25; 100.0%). Significant comorbidities included diabetes mellitus (n=22; 88.0%) and end-stage renal failure (n=11; 44.0%). A total of 33 atherosclerotic lesions were treated (TASC II D=15 (45.5%)). Mean lesion length treated was 191±111 mm. Technical success was 100%. Primary tibial patency at 6 months was 22/27 (81.5%) and freedom from clinically driven TLR was 25/30 (83.3%). AFS was 21/25 (84.0%; 3 deaths and 1 major lower extremity amputation). Mean Rutherford score improved from 5.00 at baseline to 1.14±2.10 (p<0.05) at 6 months. There was a wound healing rate of 13/22 (59.1%) and 17/21 (81.0%) at 3 and 6 months respectively.

CONCLUSIONS

Selution SLR drug-eluting balloon is a safe and efficacious modality in treating complex tibial arterial occlusive lesions in what is an otherwise frail cohort of CLTI patients, with a high prevalence of diabetes and end-stage renal failure. Technical and clinical success rates are high and 6-month target lesion patency and AFS are more than satisfactory.

摘要

目的

西罗莫司涂层器械在慢性肢体威胁性缺血患者中的表现尚未得到研究。Prestige 旨在研究 Selution Sustained Limus Release(SLR)西罗莫司洗脱球囊治疗 TASC II C 和 D 胫骨闭塞性病变的 6 个月疗效和安全性,这些病变患者患有 CLTI。

材料和方法

Prestige 是一项前瞻性、非随机、单臂、多研究者、单中心临床研究。主要终点为 1 个月时无不良事件生存率、技术成功率、6 个月时原发性胫骨通畅率、肢体挽救成功率、靶病变血运重建(TLR)和无截肢生存率(AFS)。

结果

共纳入 25 例患者,其中男性 17 例(68.0%),平均年龄 63.7±9.73 岁。CLTI 严重程度根据 Rutherford 量表(R5=25/25;100.0%)。显著合并症包括糖尿病(n=22;88.0%)和终末期肾病(n=11;44.0%)。共治疗 33 处动脉粥样硬化病变(TASC II D=15 处(45.5%))。平均治疗病变长度为 191±111mm。技术成功率为 100%。6 个月时原发性胫骨通畅率为 22/27(81.5%),无临床驱动的 TLR 率为 25/30(83.3%)。AFS 为 21/25(84.0%;3 例死亡和 1 例大肢体截肢)。平均 Rutherford 评分从基线时的 5.00 改善至 6 个月时的 1.14±2.10(p<0.05)。3 个月和 6 个月时的伤口愈合率分别为 13/22(59.1%)和 17/21(81.0%)。

结论

Selution SLR 药物洗脱球囊在治疗复杂的胫骨动脉闭塞性病变方面是一种安全有效的方法,这些病变患者在 CLTI 患者中属于较为虚弱的队列,糖尿病和终末期肾病的患病率较高。技术和临床成功率较高,6 个月时的靶病变通畅率和 AFS 令人满意。

https://cdn.ncbi.nlm.nih.gov/pmc/blobs/6aab/8276341/815f74662e44/10.1177_15266028211007457-fig1.jpg

文献检索

告别复杂PubMed语法,用中文像聊天一样搜索,搜遍4000万医学文献。AI智能推荐,让科研检索更轻松。

立即免费搜索

文件翻译

保留排版,准确专业,支持PDF/Word/PPT等文件格式,支持 12+语言互译。

免费翻译文档

深度研究

AI帮你快速写综述,25分钟生成高质量综述,智能提取关键信息,辅助科研写作。

立即免费体验