• 文献检索
  • 文档翻译
  • 深度研究
  • 学术资讯
  • Suppr Zotero 插件Zotero 插件
  • 邀请有礼
  • 套餐&价格
  • 历史记录
应用&插件
Suppr Zotero 插件Zotero 插件浏览器插件Mac 客户端Windows 客户端微信小程序
定价
高级版会员购买积分包购买API积分包
服务
文献检索文档翻译深度研究API 文档MCP 服务
关于我们
关于 Suppr公司介绍联系我们用户协议隐私条款
关注我们

Suppr 超能文献

核心技术专利:CN118964589B侵权必究
粤ICP备2023148730 号-1Suppr @ 2026

文献检索

告别复杂PubMed语法,用中文像聊天一样搜索,搜遍4000万医学文献。AI智能推荐,让科研检索更轻松。

立即免费搜索

文件翻译

保留排版,准确专业,支持PDF/Word/PPT等文件格式,支持 12+语言互译。

免费翻译文档

深度研究

AI帮你快速写综述,25分钟生成高质量综述,智能提取关键信息,辅助科研写作。

立即免费体验

欧洲临床实践中新型、持续性和慢性免疫性血小板减少症患者使用罗米司亭的有效性和安全性。

Effectiveness and Safety of Romiplostim Among Patients with Newly Diagnosed, Persistent and Chronic Immune Thrombocytopenia in European Clinical Practice.

机构信息

NoviSci, Inc., 201 W Main St, Ste 101, Durham, NC, 27701, USA.

Amgen Inc., Thousand Oaks, USA.

出版信息

Adv Ther. 2021 May;38(5):2673-2688. doi: 10.1007/s12325-021-01727-5. Epub 2021 Apr 18.

DOI:10.1007/s12325-021-01727-5
PMID:33866516
原文链接:https://pmc.ncbi.nlm.nih.gov/articles/PMC8107157/
Abstract

INTRODUCTION

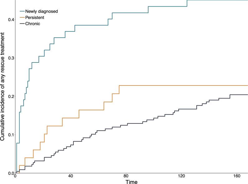
Romiplostim has been approved in Europe since 2009 to treat patients with chronic primary immune thrombocytopenia (ITP). Using real-world data from seven European countries, we measured the effectiveness and safety outcomes within 24 weeks following romiplostim initiation by duration of ITP: less than 3 months ("newly diagnosed"), 3-12 months ("persistent"), and more than 12 months ("chronic").

METHODS

Adults with ITP and ≥ 1 romiplostim administration between 2009 and 2012 were included. Endpoints included durable platelet response, median platelet count, rescue therapy, bleeding and adverse events. We used inverse probability of censoring weighted estimators to estimate cumulative risk of each outcome. There were 64 newly diagnosed, 50 persistent, and 226 chronic ITP patients at romiplostim initiation.

RESULTS

Durable platelet response at 24 weeks ranged from 32% [confidence interval (CI): 18-46%] in newly diagnosed patients to 53% (CI 37-68%) in persistent patients. Median platelet count during follow-up ranged from 88 (CI 80-96) × 10/L in chronic patients to 131 (CI 102-160) × 10/L in newly diagnosed patients.

CONCLUSION

Regardless of ITP duration, over half of patients discontinued concomitant ITP medications. Few adverse events were observed. Although only approved for chronic patients, estimates of the romiplostim treatment effect were similar across patients being managed in European clinical practice, regardless of ITP duration at romiplostim initiation.

摘要

简介

自 2009 年以来,罗米司亭已在欧洲获批用于治疗慢性原发性免疫性血小板减少症(ITP)患者。本研究利用来自欧洲 7 个国家的真实世界数据,根据 ITP 持续时间(<3 个月[“新诊断”]、3-12 个月[“持续”]和>12 个月[“慢性”]),评估了罗米司亭起始治疗后 24 周内的有效性和安全性结局。

方法

纳入了 2009 年至 2012 年期间至少接受过 1 次罗米司亭治疗且 ITP 至少持续 1 年的成年患者。终点包括持久的血小板反应、血小板计数中位数、挽救治疗、出血和不良事件。我们使用逆概率 censoring 加权估计来估计每种结局的累积风险。罗米司亭起始时,分别有 64 例新诊断、50 例持续和 226 例慢性 ITP 患者。

结果

24 周时持久的血小板反应率在新诊断患者中为 32%(置信区间[CI]:18-46%),在持续患者中为 53%(CI 37-68%)。在随访期间,血小板计数中位数在慢性患者中为 88(CI 80-96)×10/L,在新诊断患者中为 131(CI 102-160)×10/L。

结论

无论 ITP 持续时间如何,超过一半的患者停止了同时使用的 ITP 药物。观察到的不良事件较少。尽管仅批准用于慢性患者,但在欧洲临床实践中管理的患者中,无论罗米司亭起始时的 ITP 持续时间如何,罗米司亭治疗效果的估计值相似。

https://cdn.ncbi.nlm.nih.gov/pmc/blobs/c9ae/8107157/e5bdc8b75e41/12325_2021_1727_Fig3_HTML.jpg
https://cdn.ncbi.nlm.nih.gov/pmc/blobs/c9ae/8107157/8ed4b875a01c/12325_2021_1727_Fig1_HTML.jpg
https://cdn.ncbi.nlm.nih.gov/pmc/blobs/c9ae/8107157/83b2d9a14956/12325_2021_1727_Fig2_HTML.jpg
https://cdn.ncbi.nlm.nih.gov/pmc/blobs/c9ae/8107157/e5bdc8b75e41/12325_2021_1727_Fig3_HTML.jpg
https://cdn.ncbi.nlm.nih.gov/pmc/blobs/c9ae/8107157/8ed4b875a01c/12325_2021_1727_Fig1_HTML.jpg
https://cdn.ncbi.nlm.nih.gov/pmc/blobs/c9ae/8107157/83b2d9a14956/12325_2021_1727_Fig2_HTML.jpg
https://cdn.ncbi.nlm.nih.gov/pmc/blobs/c9ae/8107157/e5bdc8b75e41/12325_2021_1727_Fig3_HTML.jpg

相似文献

1
Effectiveness and Safety of Romiplostim Among Patients with Newly Diagnosed, Persistent and Chronic Immune Thrombocytopenia in European Clinical Practice.欧洲临床实践中新型、持续性和慢性免疫性血小板减少症患者使用罗米司亭的有效性和安全性。
Adv Ther. 2021 May;38(5):2673-2688. doi: 10.1007/s12325-021-01727-5. Epub 2021 Apr 18.
2
Effectiveness and safety of romiplostim among patients with newly diagnosed, persistent and chronic ITP in routine clinical practice in central and Eastern Europe: an analysis of the PLATON study.在中东欧常规临床实践中,新诊断、持续性和慢性 ITP 患者使用罗米司亭的有效性和安全性:PLATON 研究分析。
Hematology. 2021 Dec;26(1):497-502. doi: 10.1080/16078454.2021.1948209.
3
Platelet response to romiplostim amongst patients with newly diagnosed, persistent, and chronic immune thrombocytopenia in routine clinical practice in Denmark, Sweden, and Norway.在丹麦、瑞典和挪威的常规临床实践中,新诊断、持续性和慢性免疫性血小板减少症患者对罗米司亭的血小板反应。
Br J Haematol. 2024 Oct;205(4):1497-1507. doi: 10.1111/bjh.19688. Epub 2024 Aug 5.
4
Romiplostim in adults with newly diagnosed or persistent immune thrombocytopenia.罗米司亭用于新诊断或持续性免疫性血小板减少症的成人患者。
Expert Rev Hematol. 2020 Dec;13(12):1319-1332. doi: 10.1080/17474086.2020.1850253. Epub 2020 Nov 30.
5
Primary immune thrombocytopenia (ITP) treated with romiplostim in routine clinical practice: retrospective study from the United Kingdom ITP Registry.在常规临床实践中用罗米司亭治疗原发免疫性血小板减少症(ITP):来自英国 ITP 注册研究的回顾性研究。
Eur J Haematol. 2019 May;102(5):416-423. doi: 10.1111/ejh.13221. Epub 2019 Mar 7.
6
Romiplostim in adult patients with newly diagnosed or persistent immune thrombocytopenia (ITP) for up to 1 year and in those with chronic ITP for more than 1 year: a subgroup analysis of integrated data from completed romiplostim studies.罗米司亭治疗成人新诊断或持续性免疫性血小板减少症(ITP)长达 1 年,以及慢性 ITP 超过 1 年的患者:来自完成的罗米司亭研究综合数据的亚组分析。
Br J Haematol. 2019 May;185(3):503-513. doi: 10.1111/bjh.15803. Epub 2019 Feb 21.
7
Romiplostim in chronic immune thrombocytopenic purpura.罗米司亭治疗慢性免疫性血小板减少症。
Clin Ther. 2009 Sep;31(9):1887-907. doi: 10.1016/j.clinthera.2009.09.013.
8
Romiplostim for Primary Immune Thrombocytopenia in Routine Clinical Practice: Results from a Multicentre Observational Study in Germany.罗米司亭治疗原发性免疫性血小板减少症的常规临床实践:德国多中心观察性研究结果。
Acta Haematol. 2022;145(4):394-403. doi: 10.1159/000521689. Epub 2021 Dec 27.
9
Long-term use of the thrombopoietin-mimetic romiplostim in children with severe chronic immune thrombocytopenia (ITP).血小板生成素模拟物罗米司亭在重度慢性免疫性血小板减少症(ITP)儿童中的长期应用。
Pediatr Blood Cancer. 2015 Feb;62(2):208-213. doi: 10.1002/pbc.25136. Epub 2014 Oct 24.
10
A large observational study of patients with primary immune thrombocytopenia receiving romiplostim in European clinical practice.一项关于欧洲临床实践中接受罗米司亭治疗的原发性免疫性血小板减少症患者的大型观察性研究。
Eur J Haematol. 2017 Feb;98(2):112-120. doi: 10.1111/ejh.12807. Epub 2016 Sep 26.

引用本文的文献

1
Impact of Primary Chronic Immune Thrombocytopenia and Thrombopoietin Receptor Agonists Treatment Instructions on Daily Living: Results of a Multinational Cross-Sectional Survey.原发性慢性免疫性血小板减少症及血小板生成素受体激动剂治疗指南对日常生活的影响:一项跨国横断面调查结果
Patient Prefer Adherence. 2025 Aug 13;19:2445-2458. doi: 10.2147/PPA.S505337. eCollection 2025.
2
Can low-dose intravenous immunoglobulin be an alternative to high-dose intravenous immunoglobulin in the treatment of children with newly diagnosed immune thrombocytopenia: a systematic review and meta-analysis.低剂量静脉注射免疫球蛋白可否替代高剂量静脉注射免疫球蛋白治疗新诊断的免疫性血小板减少症患儿:系统评价和荟萃分析。
BMC Pediatr. 2024 Mar 21;24(1):199. doi: 10.1186/s12887-024-04677-3.
3
Use of thrombopoietin receptor agonists in adults with immune thrombocytopenia: a systematic review and Central European expert consensus.成人免疫性血小板减少症中血小板生成素受体激动剂的应用:系统评价和中欧专家共识。
Ann Hematol. 2023 Apr;102(4):715-727. doi: 10.1007/s00277-023-05114-8. Epub 2023 Feb 24.
4
How we treat primary immune thrombocytopenia in adults.成人原发免疫性血小板减少症的治疗方法。
J Hematol Oncol. 2023 Jan 19;16(1):4. doi: 10.1186/s13045-023-01401-z.
5
Romiplostim for Primary Immune Thrombocytopenia in Routine Clinical Practice: Results from a Multicentre Observational Study in Germany.罗米司亭治疗原发性免疫性血小板减少症的常规临床实践:德国多中心观察性研究结果。
Acta Haematol. 2022;145(4):394-403. doi: 10.1159/000521689. Epub 2021 Dec 27.