Suppr超能文献

正常听力和感音神经性听力损失人群中的血 PRESTIN 水平:范围综述。

Blood Prestin Levels in Normal Hearing and in Sensorineural Hearing Loss: A Scoping Review.

机构信息

1st University ENT Department, School of Medicine, National and Kapodistrian University of Athens, Athens, Greece.

School of Music Studies, Aristotle University of Thessaloniki, Thessaloniki, Greece.

出版信息

Ear Hear. 2021 Sep/Oct;42(5):1127-1136. doi: 10.1097/AUD.0000000000001045.

Abstract

OBJECTIVES

Recently, it has been hypothesized that blood prestin concentration levels may reflect cochlear damage and thus serve as an easily measurable, early sensorineural hearing loss (HL) biomarker. This is a scoping review aiming to identify and critically appraise current evidence on prestin blood levels and their temporal variation in rodents and humans with normal hearing and with sensorineural HL.

DESIGN

This study was designed and held according to PRISMA Extension for Scoping Reviews (PRISMA-ScR) guidelines. With no limitation with regards to study type, animal and human studies focusing on prestin blood levels in normal hearing and in sensorineural HL were sought in major databases such as Medline, Central Scopus, PROSPERO, and Clinicaltrials.gov. Results were then hand-searched. A data charting form was developed including the parameters of interest.

RESULTS

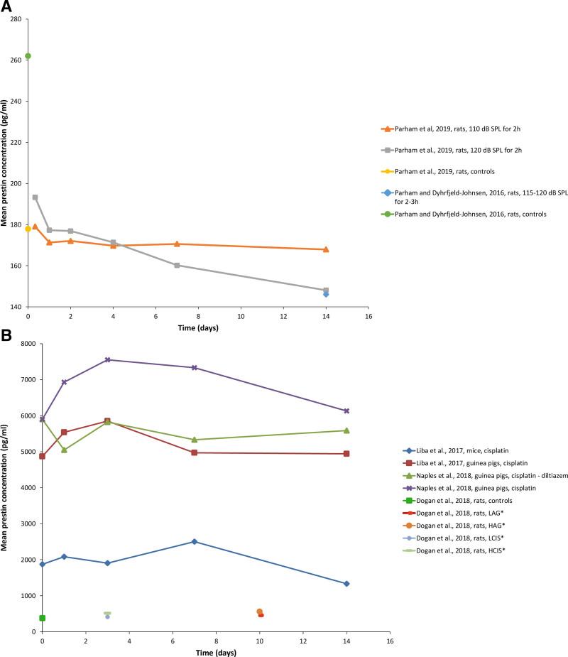
Seven studies focusing on measuring prestin blood levels by means of ELISA in rodents and human subjects with normal hearing and noise-induced, drug-induced, or idiopathic sudden HL were found eligible and were included in the analysis. According to these proof-of-concept studies, prestin can be detected in the circulation of subjects with no HL; however, normal ranges remain unclear. After cochlear damage, blood prestin levels seem to initially rise and then return to near or below baseline. The degree of their change relates with subjects' degree of HL, damaged cochlear region and recovery. Prestin blood levels and their temporal variation seem to correlate with cochlear damage; however, methodological weaknesses, such as small sample size, lack of detailed phenotyping, insufficient exclusion of confounding factors, and short follow-up, do not allow for robust conclusions.

CONCLUSIONS

Current findings support the value of studying blood prestin levels in normal hearing and HL and highlight a need for larger-scale longitudinal research.

摘要

目的

最近有假说认为,耳声传射蛋白( prestin )的血浓度可能反映耳蜗损伤,因此可作为一种易于测量的、早期的感音神经性听力损失( HL )生物标志物。本综述旨在确定和批判性评估目前关于正常听力和感音神经性 HL 的啮齿动物和人类中耳声传射蛋白血浓度及其时间变化的证据。

设计

本研究根据 PRISMA 扩展范围综述( PRISMA-ScR )指南设计和实施。不限制研究类型,在 Medline 、 Scopus 核心数据库、PROSPERO 和 Clinicaltrials.gov 等主要数据库中搜索了关注正常听力和感音神经性 HL 中耳声传射蛋白血浓度的啮齿动物和人类研究。然后进行手工检索。制定了一个数据图表表格,包括感兴趣的参数。

结果

共发现 7 项研究通过酶联免疫吸附试验( ELISA )检测正常听力和噪声诱导、药物诱导或特发性突发性 HL 的啮齿动物和人类受试者中耳声传射蛋白血浓度,这些研究符合纳入标准并纳入分析。根据这些概念验证研究,无 HL 的受试者的循环中可检测到 prestin ;但是,正常范围尚不清楚。在耳蜗损伤后,血液 prestin 水平似乎最初升高,然后恢复到接近或低于基线。其变化程度与受试者 HL 的严重程度、受损耳蜗区域和恢复情况有关。中耳声传射蛋白血浓度及其时间变化似乎与耳蜗损伤相关;但是,由于样本量小、缺乏详细的表型分析、未充分排除混杂因素以及随访时间短等方法学弱点,无法得出可靠的结论。

结论

目前的研究结果支持研究正常听力和 HL 中耳声传射蛋白血浓度的价值,并强调需要进行更大规模的纵向研究。

https://cdn.ncbi.nlm.nih.gov/pmc/blobs/d02c/8378539/641786d79e69/aud-42-1127-g001.jpg

文献检索

告别复杂PubMed语法,用中文像聊天一样搜索,搜遍4000万医学文献。AI智能推荐,让科研检索更轻松。

立即免费搜索

文件翻译

保留排版,准确专业,支持PDF/Word/PPT等文件格式,支持 12+语言互译。

免费翻译文档

深度研究

AI帮你快速写综述,25分钟生成高质量综述,智能提取关键信息,辅助科研写作。

立即免费体验