Faculty of Chemistry, Institute of Polymer & Dye Technology, Lodz University of Technology, 90-924 Lodz, Poland.
Int J Mol Sci. 2021 Apr 30;22(9):4757. doi: 10.3390/ijms22094757.
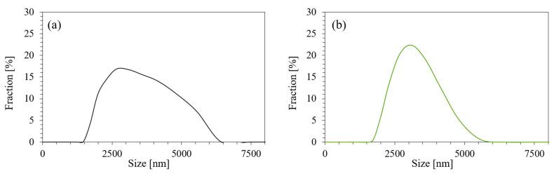
In the following study, ground plum stones and silanized ground plum stones were used as natural fillers for novel polyurethane (PUR) composite foams. The impact of 1, 2, and 5 wt.% of fillers on the cellular structure, foaming parameters, and mechanical, thermomechanical, and thermal properties of produced foams were assessed. The results showed that the silanization process leads to acquiring fillers with a smoother surface compared to unmodified filler. The results also showed that the morphology of the obtained materials is affected by the type and content of filler. Moreover, the modified PUR foams showed improved properties. For example, compared with the reference foam (PUR_REF), the foam with the addition of 1 wt.% of unmodified plum filler showed better mechanical properties, such as higher compressive strength (8% improvement) and better flexural strength (6% improvement). The addition of silanized plum filler improved the thermal stability and hydrophobic character of PUR foams. This work shows the relationship between the mechanical, thermal, and application properties of the obtained PUR composites depending on the modification of the filler used during synthesis.
在本研究中,地榆石和硅烷化地榆石被用作新型聚氨酯(PUR)复合泡沫的天然填料。评估了 1wt%、2wt%和 5wt%的填料对泡沫的细胞结构、发泡参数以及机械、热机械和热性能的影响。结果表明,与未改性的填料相比,硅烷化过程导致填料表面更加光滑。结果还表明,获得的材料的形态受填料的类型和含量的影响。此外,改性 PUR 泡沫表现出更好的性能。例如,与参考泡沫(PUR_REF)相比,添加 1wt%未改性地榆石填料的泡沫具有更好的机械性能,如更高的抗压强度(提高约 8%)和更好的弯曲强度(提高约 6%)。添加硅烷化地榆石填料提高了 PUR 泡沫的热稳定性和疏水性。这项工作表明,根据合成过程中使用的填料的改性,获得的 PUR 复合材料的机械、热和应用性能之间存在关系。