Cheng Yiming, Chen Jian, Pourdehnad Michael, Zhou Simon, Li Yan
Clinical Pharmacology & Pharmacometrics, Bristol Myers Squibb, Summit, NJ, USA.
Non-Clinical Research & Development, Bristol Myers Squibb, Summit, NJ, USA.
Clin Pharmacol. 2021 Apr 28;13:61-71. doi: 10.2147/CPAA.S310604. eCollection 2021.
CC-122 is a cereblon-modulating agent that exerts direct cell-autonomous activity against malignant B cells and immunomodulatory effects. Herein, a population pharmacokinetic (popPK) model of CC-122 was developed and the influence of demographic and disease-related covariates on population pharmacokinetic parameters was assessed based on data from three clinical studies of CC-122 (dose range, 0.5-15 mg) in healthy subjects and cancer patients.
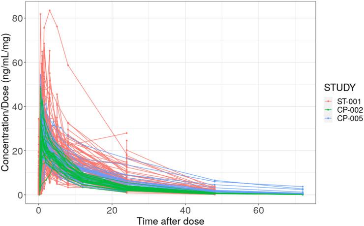
Nonlinear mixed effects modeling was employed in developing a population pharmacokinetic model of CC-122 based on 298 patients from 3 clinical studies.
The PK of CC-122 was adequately described with a two-compartment model with first-order absorption and elimination. Tumor types were found to be significantly correlated with apparent clearance (CL/F) and apparent volume of distribution of the central compartment. Creatinine clearance was identified as a statistically significant covariate of CL/F. Sex and body weight were statistically but not clinically relevant on V2/F.
In conclusion, the two-compartment model built can be used to adequately describe the time course of the population pharmacokinetics of CC-122 and should serve as the basis for dose adjustment decision-making of CC-122.
CC - 122是一种可调节大脑神经酰胺酶的药物,对恶性B细胞具有直接的细胞自主活性及免疫调节作用。在此,基于CC - 122在健康受试者和癌症患者中的三项临床研究(剂量范围为0.5 - 15 mg)数据,建立了CC - 122的群体药代动力学(popPK)模型,并评估了人口统计学和疾病相关协变量对群体药代动力学参数的影响。
采用非线性混合效应建模方法,基于3项临床研究中的298例患者建立CC - 122的群体药代动力学模型。
CC - 122的药代动力学可用具有一级吸收和消除的二室模型充分描述。发现肿瘤类型与表观清除率(CL/F)和中央室的表观分布容积显著相关。肌酐清除率被确定为CL/F的一个具有统计学意义的协变量。性别和体重对V2/F有统计学意义,但在临床上不相关。
总之,所建立的二室模型可用于充分描述CC - 122群体药代动力学的时程,应为CC - 122剂量调整决策提供依据。