• 文献检索
  • 文档翻译
  • 深度研究
  • 学术资讯
  • Suppr Zotero 插件Zotero 插件
  • 邀请有礼
  • 套餐&价格
  • 历史记录
应用&插件
Suppr Zotero 插件Zotero 插件浏览器插件Mac 客户端Windows 客户端微信小程序
定价
高级版会员购买积分包购买API积分包
服务
文献检索文档翻译深度研究API 文档MCP 服务
关于我们
关于 Suppr公司介绍联系我们用户协议隐私条款
关注我们

Suppr 超能文献

核心技术专利:CN118964589B侵权必究
粤ICP备2023148730 号-1Suppr @ 2026

文献检索

告别复杂PubMed语法,用中文像聊天一样搜索,搜遍4000万医学文献。AI智能推荐,让科研检索更轻松。

立即免费搜索

文件翻译

保留排版,准确专业,支持PDF/Word/PPT等文件格式,支持 12+语言互译。

免费翻译文档

深度研究

AI帮你快速写综述,25分钟生成高质量综述,智能提取关键信息,辅助科研写作。

立即免费体验

既往卒中对急性冠状动脉综合征患者长期预后的影响。

Impact of Prior Stroke on Long-Term Outcomes in Patients With Acute Coronary Syndrome.

作者信息

Takeuchi Mitsuhiro, Wada Hideki, Ogita Manabu, Takahashi Daigo, Okada-Nozaki Yui, Nishio Ryota, Yasuda Kentaro, Takahashi Norihito, Sonoda Taketo, Yatsu Shoichiro, Shitara Jun, Tsuboi Shuta, Dohi Tomotaka, Suwa Satoru, Miyauchi Katsumi, Daida Hiroyuki, Minamino Tohru

机构信息

Department of Cardiovascular Biology and Medicine, Juntendo University Graduate School of Medicine Tokyo Japan.

Department of Cardiovascular Medicine, Juntendo University Shizuoka Hospital Shizuoka Japan.

出版信息

Circ Rep. 2021 Apr 9;3(5):267-272. doi: 10.1253/circrep.CR-21-0010.

DOI:10.1253/circrep.CR-21-0010
PMID:34007940
原文链接:https://pmc.ncbi.nlm.nih.gov/articles/PMC8099664/
Abstract

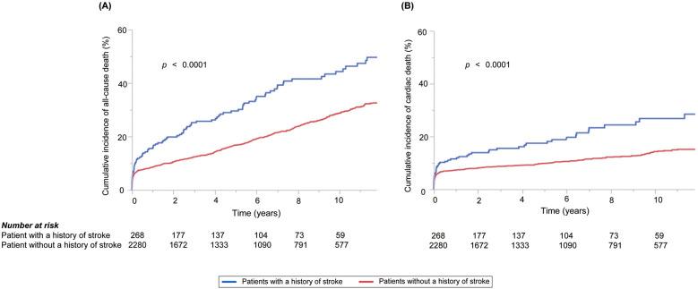
Cerebrovascular disease often coexists with coronary artery disease (CAD), and it has been associated with worse clinical outcomes in CAD patients. However, the prognostic effect of prior stroke on long-term outcomes in patients with acute coronary syndrome (ACS) is still unclear. An observational cohort study of ACS patients who underwent emergency percutaneous coronary intervention (PCI) between January 1999 and May 2015 was conducted. Patients were divided into 2 groups according to their history of stroke. We evaluated both all-cause death and cardiac death. Of the 2,548 consecutive ACS patients in the current cohort, 268 (10.5%) had a history of stroke at the onset of ACS. Patients with a history of stroke were older and had a higher prevalence of comorbidities such as hypertension or renal deficiency. The cumulative incidences of all-cause death and cardiac death were significantly higher in patients with a history of stroke (both log-rank P<0.0001). Multivariate Cox hazard regression analysis showed that a history of stroke was significantly associated with the incidences of all-cause death (hazard ratio [HR] 1.49, 95% confidence interval [CI] 1.20-1.85, P=0.0004) and cardiac death (HR 1.41, 95% CI 1.03-1.93, P=0.03). About 10% of the ACS patients had a history of stroke and had worse clinical outcomes.

摘要

脑血管疾病常与冠状动脉疾病(CAD)并存,且与CAD患者更差的临床结局相关。然而,既往中风对急性冠状动脉综合征(ACS)患者长期结局的预后影响仍不明确。对1999年1月至2015年5月期间接受急诊经皮冠状动脉介入治疗(PCI)的ACS患者进行了一项观察性队列研究。根据患者的中风病史将其分为两组。我们评估了全因死亡和心源性死亡情况。在本队列中连续纳入的2548例ACS患者中,268例(10.5%)在ACS发病时有中风病史。有中风病史的患者年龄更大,高血压或肾功能不全等合并症的患病率更高。有中风病史的患者全因死亡和心源性死亡的累积发生率显著更高(对数秩检验P均<0.0001)。多变量Cox风险回归分析显示,中风病史与全因死亡发生率显著相关(风险比[HR]1.49,95%置信区间[CI]1.20 - 1.85,P = 0.0004)和心源性死亡发生率(HR 1.41,95% CI 1.03 - 1.93,P = 0.03)。约10%的ACS患者有中风病史,且临床结局更差。

https://cdn.ncbi.nlm.nih.gov/pmc/blobs/8d2a/8099664/e0c8eb181eb8/circrep-3-267-g003.jpg
https://cdn.ncbi.nlm.nih.gov/pmc/blobs/8d2a/8099664/bb7730b6db00/circrep-3-267-g001.jpg
https://cdn.ncbi.nlm.nih.gov/pmc/blobs/8d2a/8099664/736c328fb307/circrep-3-267-g002.jpg
https://cdn.ncbi.nlm.nih.gov/pmc/blobs/8d2a/8099664/e0c8eb181eb8/circrep-3-267-g003.jpg
https://cdn.ncbi.nlm.nih.gov/pmc/blobs/8d2a/8099664/bb7730b6db00/circrep-3-267-g001.jpg
https://cdn.ncbi.nlm.nih.gov/pmc/blobs/8d2a/8099664/736c328fb307/circrep-3-267-g002.jpg
https://cdn.ncbi.nlm.nih.gov/pmc/blobs/8d2a/8099664/e0c8eb181eb8/circrep-3-267-g003.jpg

相似文献

1
Impact of Prior Stroke on Long-Term Outcomes in Patients With Acute Coronary Syndrome.既往卒中对急性冠状动脉综合征患者长期预后的影响。
Circ Rep. 2021 Apr 9;3(5):267-272. doi: 10.1253/circrep.CR-21-0010.
2
[Age-related differences in the management and outcome of acute coronary syndrome under the chest pain center model: a multicenter retrospective study].胸痛中心模式下急性冠状动脉综合征管理与结局的年龄相关差异:一项多中心回顾性研究
Zhonghua Wei Zhong Bing Ji Jiu Yi Xue. 2021 Mar;33(3):318-323. doi: 10.3760/cma.j.cn121430-20200806-00565.
3
Clinical impact of high-sensitivity C-reactive protein during follow-up on long-term adverse clinical outcomes in patients with coronary artery disease treated with percutaneous coronary intervention.经皮冠状动脉介入治疗的冠心病患者随访期间高敏 C 反应蛋白对长期不良临床结局的临床影响。
J Cardiol. 2019 Jan;73(1):45-50. doi: 10.1016/j.jjcc.2018.06.002. Epub 2018 Jul 9.
4
Comparison of multivessel percutaneous coronary intervention and coronary artery bypass grafting in patients with severe coronary artery disease presenting with non-ST-segment elevation acute coronary syndromes.比较多支血管经皮冠状动脉介入治疗和冠状动脉旁路移植术在伴有非 ST 段抬高型急性冠状动脉综合征的严重冠状动脉疾病患者中的应用。
Kardiol Pol. 2018;76(10):1474-1481. doi: 10.5603/KP.a2018.0151. Epub 2018 Sep 25.
5
Pre-procedural neutrophil-to-lymphocyte ratio and long-term cardiac outcomes after percutaneous coronary intervention for stable coronary artery disease.经皮冠状动脉介入治疗稳定型冠状动脉疾病前中性粒细胞与淋巴细胞比值与长期心脏结局。
Atherosclerosis. 2017 Oct;265:35-40. doi: 10.1016/j.atherosclerosis.2017.08.007. Epub 2017 Aug 18.
6
[Comparison on the long-term outcomes post percutaneous coronary intervention or coronary artery bypass grafting for bifurcation lesions in unprotected left main coronary artery].[经皮冠状动脉介入治疗或冠状动脉旁路移植术治疗无保护左主干冠状动脉分叉病变的长期预后比较]
Zhonghua Xin Xue Guan Bing Za Zhi. 2017 Jan 25;45(1):19-25. doi: 10.3760/cma.j.issn.0253-3758.2017.01.005.
7
Prognostic significance of prior ischemic stroke in patients with coronary artery disease undergoing percutaneous coronary intervention.既往缺血性卒中对行经皮冠状动脉介入治疗的冠状动脉疾病患者的预后意义。
Catheter Cardiovasc Interv. 2019 Feb 15;93(S1):787-792. doi: 10.1002/ccd.28057. Epub 2019 Jan 7.
8
Acute coronary syndrome and stable coronary artery disease: are they so different? Long-term outcomes in a contemporary PCI cohort.急性冠状动脉综合征和稳定型冠状动脉疾病:它们有那么不同吗?当代经皮冠状动脉介入治疗队列的长期结局。
Int J Cardiol. 2013 Aug 20;167(4):1343-6. doi: 10.1016/j.ijcard.2012.04.011. Epub 2012 Apr 23.
9
Impact of gender difference on long-term outcomes of percutaneous coronary intervention for coronary artery disease in patients under statin treatment.性别差异对接受他汀类药物治疗的冠心病患者经皮冠状动脉介入治疗长期预后的影响。
Heart Vessels. 2017 Jan;32(1):16-21. doi: 10.1007/s00380-016-0835-9. Epub 2016 Apr 23.
10
Assessment of the LDL-C/HDL-C ratio as a predictor of one year clinical outcomes in patients with acute coronary syndromes after percutaneous coronary intervention and drug-eluting stent implantation.评估 LDL-C/HDL-C 比值对经皮冠状动脉介入治疗和药物洗脱支架置入术后急性冠脉综合征患者一年临床结局的预测价值。
Lipids Health Dis. 2019 Feb 2;18(1):40. doi: 10.1186/s12944-019-0979-6.

引用本文的文献

1
Ischemic cardio-cerebrovascular disease and all-cause mortality in Chinese elderly patients: a propensity-score matching study.中国老年患者缺血性心脑血管疾病和全因死亡率:倾向评分匹配研究。
Eur J Med Res. 2024 Jun 15;29(1):330. doi: 10.1186/s40001-024-01929-x.

本文引用的文献

1
Independent Factors for In-Hospital Death Following Drug-Eluting Stent Thrombosis From the Japanese Adverse Event Report System.日本不良事件报告系统中药物洗脱支架血栓形成后院内死亡的独立因素。
Circ J. 2020 Aug 25;84(9):1568-1574. doi: 10.1253/circj.CJ-20-0133. Epub 2020 Jul 17.
2
JCS 2020 Guideline Focused Update on Antithrombotic Therapy in Patients With Coronary Artery Disease.《日本循环学会(JCS)2020年冠状动脉疾病患者抗栓治疗指南重点更新》
Circ J. 2020 Apr 24;84(5):831-865. doi: 10.1253/circj.CJ-19-1109. Epub 2020 Mar 13.
3
2019 ESC/EAS guidelines for the management of dyslipidaemias: Lipid modification to reduce cardiovascular risk.
2019年欧洲心脏病学会/欧洲动脉粥样硬化学会血脂异常管理指南:通过血脂修饰降低心血管风险
Atherosclerosis. 2019 Nov;290:140-205. doi: 10.1016/j.atherosclerosis.2019.08.014. Epub 2019 Aug 31.
4
2017 ESC focused update on dual antiplatelet therapy in coronary artery disease developed in collaboration with EACTS: The Task Force for dual antiplatelet therapy in coronary artery disease of the European Society of Cardiology (ESC) and of the European Association for Cardio-Thoracic Surgery (EACTS).2017年欧洲心脏病学会(ESC)与欧洲心胸外科学会(EACTS)合作制定的冠状动脉疾病双联抗血小板治疗重点更新:欧洲心脏病学会(ESC)和欧洲心胸外科学会(EACTS)冠状动脉疾病双联抗血小板治疗特别工作组。
Eur Heart J. 2018 Jan 14;39(3):213-260. doi: 10.1093/eurheartj/ehx419.
5
Short-term prognostic effect of prior cerebrovascular and peripheral artery disease in patients with acute coronary syndrome: Can we do better?急性冠状动脉综合征患者既往脑血管和外周动脉疾病的短期预后影响:我们能否做得更好?
Eur Heart J Acute Cardiovasc Care. 2018 Oct;7(7):652-660. doi: 10.1177/2048872617716388. Epub 2017 Jun 19.
6
Impact of anemia on long-term ischemic events and bleeding events in patients undergoing percutaneous coronary intervention: a system review and meta-analysis.贫血对接受经皮冠状动脉介入治疗患者长期缺血事件和出血事件的影响:一项系统评价和荟萃分析。
J Thorac Dis. 2015 Nov;7(11):2041-52. doi: 10.3978/j.issn.2072-1439.2015.11.56.
7
Cognitive dysfunction and poor health literacy are common in veterans presenting with acute coronary syndrome: insights from the MEDICATION study.认知功能障碍和健康素养低下在急性冠状动脉综合征退伍军人中很常见:来自MEDICATION研究的见解。
Patient Prefer Adherence. 2015 Jun 8;9:745-51. doi: 10.2147/PPA.S75110. eCollection 2015.
8
Impact of previous vascular burden on in-hospital and long-term mortality in patients with ST-segment elevation myocardial infarction.既往血管负担对ST段抬高型心肌梗死患者住院期间及长期死亡率的影响。
Rev Esp Cardiol (Engl Ed). 2014 Jun;67(6):471-8. doi: 10.1016/j.rec.2013.10.017. Epub 2014 Feb 23.
9
Diagnostic criteria for dyslipidemia.血脂异常的诊断标准。
J Atheroscler Thromb. 2013;20(8):655-60. doi: 10.5551/jat.17152. Epub 2013 Jul 26.
10
A history of stroke/transient ischemic attack indicates high risks of cardiovascular event and hemorrhagic stroke in patients with coronary artery disease.有中风/短暂性脑缺血发作病史的患者发生心血管事件和出血性中风的风险较高。
Circulation. 2013 Feb 12;127(6):730-8. doi: 10.1161/CIRCULATIONAHA.112.141572. Epub 2012 Dec 31.