Suppr超能文献

光在海洋固氮蓝细菌UCYN-A共生体生长和活性中的关键作用

Critical Role of Light in the Growth and Activity of the Marine N-Fixing UCYN-A Symbiosis.

作者信息

Landa Marine, Turk-Kubo Kendra A, Cornejo-Castillo Francisco M, Henke Britt A, Zehr Jonathan P

机构信息

Ocean Sciences Department, University of California, Santa Cruz, Santa Cruz, CA, United States.

出版信息

Front Microbiol. 2021 May 5;12:666739. doi: 10.3389/fmicb.2021.666739. eCollection 2021.

Abstract

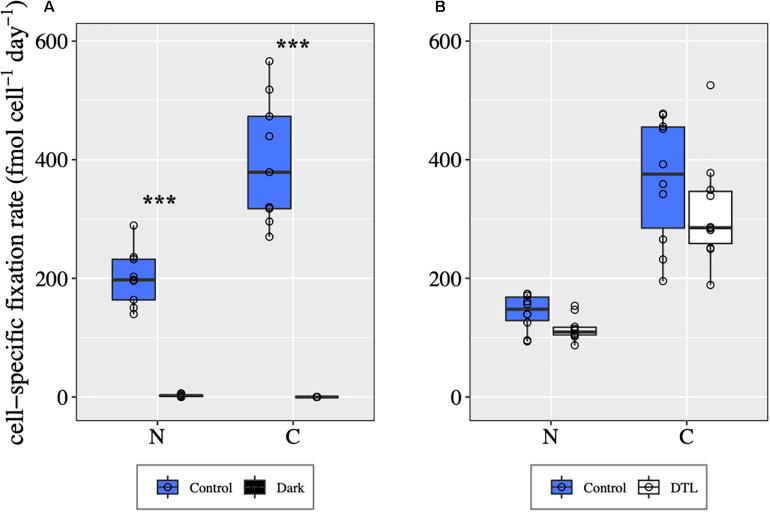
The unicellular N-fixing cyanobacteria UCYN-A live in symbiosis with haptophytes in the lineage. Maintaining N-fixing symbioses between two unicellular partners requires tight coordination of multiple biological processes including cell growth and division and, in the case of the UCYN-A symbiosis, N fixation of the symbiont and photosynthesis of the host. In this system, it is thought that the host photosynthesis supports the high energetic cost of N fixation, and both processes occur during the light period. However, information on this coordination is very limited and difficult to obtain because the UCYN-A symbiosis has yet to be available in culture. Natural populations containing the UCYN-A2 symbiosis were manipulated to explore the effects of alterations of regular light and dark periods and inhibition of host photosynthesis on N fixation (single cell N fixation rates), gene transcription, and UCYN-A2 cell division (fluorescent hybridization and gene abundances). The results showed that the light period is critical for maintenance of regular patterns of gene expression, N fixation and symbiont replication and cell division. This study suggests a crucial role for the host as a producer of fixed carbon, rather than light itself, in the regulation and implementation of these cellular processes in UCYN-A.

摘要

单细胞固氮蓝藻UCYN - A与该谱系中的定鞭藻共生。维持两个单细胞伙伴之间的固氮共生关系需要紧密协调多个生物学过程,包括细胞生长和分裂,就UCYN - A共生关系而言,还包括共生体的固氮作用和宿主的光合作用。在这个系统中,人们认为宿主光合作用支持固氮所需的高能量成本,且这两个过程都在光照期发生。然而,由于UCYN - A共生关系尚未能在培养中实现,关于这种协调的信息非常有限且难以获得。对含有UCYN - A2共生关系的自然种群进行操控,以探究正常光暗周期的改变以及宿主光合作用的抑制对固氮作用(单细胞固氮率)、基因转录和UCYN - A2细胞分裂(荧光杂交和基因丰度)的影响。结果表明,光照期对于维持基因表达、固氮作用、共生体复制和细胞分裂的正常模式至关重要。这项研究表明,在UCYN - A中这些细胞过程的调控和实施方面,宿主作为固定碳的生产者而非光本身起着关键作用。

https://cdn.ncbi.nlm.nih.gov/pmc/blobs/a640/8139342/fc29be03ed6d/fmicb-12-666739-g001.jpg

文献AI研究员

20分钟写一篇综述,助力文献阅读效率提升50倍。

立即体验

用中文搜PubMed

大模型驱动的PubMed中文搜索引擎

马上搜索

文档翻译

学术文献翻译模型,支持多种主流文档格式。

立即体验