Suppr超能文献

用2-甲基四氢呋喃液液萃取甲酸:实验、过程建模与经济性分析

Liquid-Liquid Extraction of Formic Acid with 2-Methyltetrahydrofuran: Experiments, Process Modeling, and Economics.

作者信息

Laitinen Antero T, Parsana Vyomesh M, Jauhiainen Olli, Huotari Marco, van den Broeke Leo J P, de Jong Wiebren, Vlugt Thijs J H, Ramdin Mahinder

机构信息

VTT Technical Research Centre of Finland, Tietotie 4 E, Espoo FI-02044, Finland.

Department of Chemical Engineering, V.V.P. Engineering College, Gujarat Technological University, Rajkot 360005, Gujarat, India.

出版信息

Ind Eng Chem Res. 2021 Apr 21;60(15):5588-5599. doi: 10.1021/acs.iecr.1c00159. Epub 2021 Apr 7.

Abstract

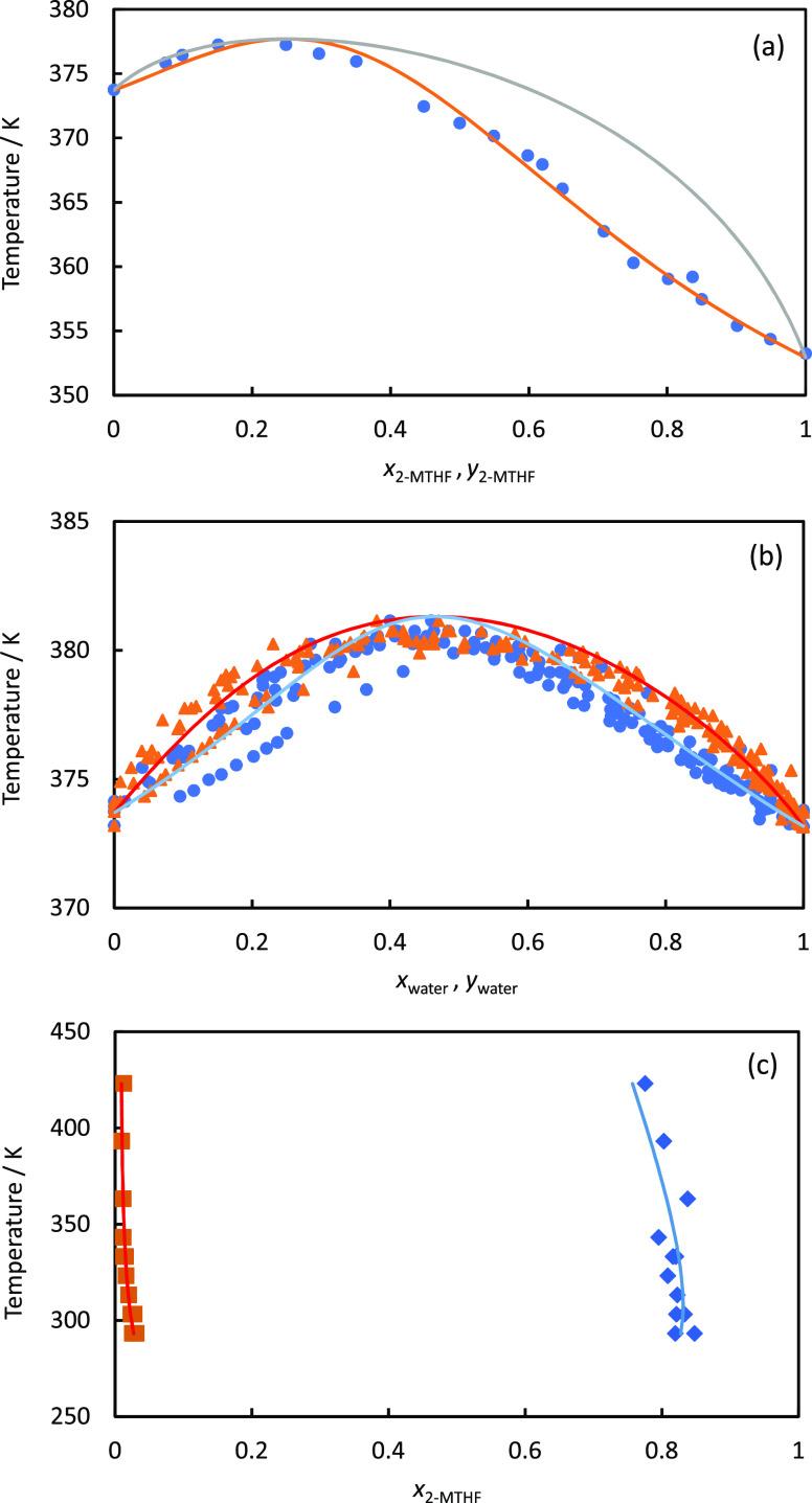
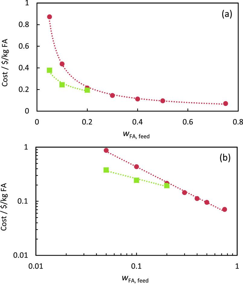
Formic acid (FA) is an interesting hydrogen (H) and carbon monoxide (CO) carrier that can be produced by the electrochemical reduction of carbon dioxide (CO) using renewable energy. The separation of FA from water is challenging due to the strong (cross)association of the components and the presence of a high boiling azeotrope. For the separation of dilute FA solutions, liquid-liquid extraction is preferred over conventional distillation because distilling large amounts of water is very energy-intensive. In this study, we use 2-methyltetrahydrofuran (2-MTHF) to extract FA from the CO electrolysis process, which typically contains <20 wt % of FA. Vapor-liquid equilibrium (VLE) data of the binary system 2-MTHF-FA and liquid-liquid equilibrium (LLE) data of the ternary system 2-MTHF-FA-water are obtained. Continuous extraction and distillation experiments are performed to test the extraction power and recovery of 2-MTHF from the extract. The VLE and LLE data are used to design a hybrid extraction and distillation process to produce a commercial grade product (85 wt % of FA). A detailed economic analysis of this hybrid extraction-distillation process is presented and compared with the existing FA separation methods. It is shown that 2-MTHF is a cost-effective solvent for FA extraction from dilute streams (<20 wt % FA).

摘要

甲酸(FA)是一种有趣的氢(H)和一氧化碳(CO)载体,可通过利用可再生能源对二氧化碳(CO₂)进行电化学还原制得。由于各组分之间存在强烈的(交叉)缔合作用以及高沸点共沸物的存在,从水中分离出甲酸具有挑战性。对于稀甲酸溶液的分离,液液萃取比传统蒸馏更受青睐,因为蒸馏大量的水能耗非常高。在本研究中,我们使用2-甲基四氢呋喃(2-MTHF)从CO₂电解过程中萃取甲酸,该过程中甲酸的含量通常小于20 wt%。获得了二元体系2-MTHF-FA的气液平衡(VLE)数据以及三元体系2-MTHF-FA-水的液液平衡(LLE)数据。进行了连续萃取和蒸馏实验,以测试2-MTHF的萃取能力以及从萃取液中回收2-MTHF的情况。利用VLE和LLE数据设计了一种萃取与蒸馏相结合的工艺,以生产商业级产品(85 wt%的甲酸)。对这种萃取-蒸馏混合工艺进行了详细的经济分析,并与现有的甲酸分离方法进行了比较。结果表明,2-MTHF是从稀流股(<20 wt%甲酸)中萃取甲酸的一种经济高效的溶剂。

https://cdn.ncbi.nlm.nih.gov/pmc/blobs/4dcb/8154433/b930fe5138fb/ie1c00159_0002.jpg

相似文献

1
Liquid-Liquid Extraction of Formic Acid with 2-Methyltetrahydrofuran: Experiments, Process Modeling, and Economics.
Ind Eng Chem Res. 2021 Apr 21;60(15):5588-5599. doi: 10.1021/acs.iecr.1c00159. Epub 2021 Apr 7.
2
Carbon Dioxide and Water Electrolysis Using New Alkaline Stable Anion Membranes.
Front Chem. 2018 Jul 3;6:263. doi: 10.3389/fchem.2018.00263. eCollection 2018.
3
Techno-economic assessment of hybrid extraction and distillation processes for furfural production from lignocellulosic biomass.
Biotechnol Biofuels. 2017 Mar 29;10:81. doi: 10.1186/s13068-017-0767-3. eCollection 2017.
4
Combined Steam Reforming of Methane and Formic Acid To Produce Syngas with an Adjustable H:CO Ratio.
Ind Eng Chem Res. 2018 Aug 8;57(31):10663-10674. doi: 10.1021/acs.iecr.8b02443. Epub 2018 Jul 17.
5
Isobaric Vapor-Liquid Equilibrium Data for Tetrahydrofuran + Acetic Acid and Tetrahydrofuran + Trichloroethylene Mixtures.
J Chem Eng Data. 2023 Jan 27;68(2):349-357. doi: 10.1021/acs.jced.2c00593. eCollection 2023 Feb 9.
6
Purification of 2,3-butanediol from fermentation broth: process development and techno-economic analysis.
Biotechnol Biofuels. 2018 Jan 25;11:18. doi: 10.1186/s13068-018-1013-3. eCollection 2018.
7
The Effects of NaI, KBr, and KI Salts on the Vapor-Liquid Equilibrium of the HO+CHOH System.
Front Chem. 2020 Apr 7;8:192. doi: 10.3389/fchem.2020.00192. eCollection 2020.
10
Liquid Sunshine: Formic Acid.
J Phys Chem Lett. 2022 Sep 15;13(36):8586-8600. doi: 10.1021/acs.jpclett.2c02149. Epub 2022 Sep 8.

引用本文的文献

1
Multienzymatic Platform for Coupling a CCU Strategy to Waste Valorization: CO from the Iron and Steel Industry and Crude Glycerol from Biodiesel Production.
ACS Sustain Chem Eng. 2025 Jan 17;13(4):1440-1449. doi: 10.1021/acssuschemeng.4c04908. eCollection 2025 Feb 3.
3
Catalytic Conversion of Levulinic Acid into 2-Methyltetrahydrofuran: A Review.
Molecules. 2024 Jan 2;29(1):242. doi: 10.3390/molecules29010242.
4
Isobaric Vapor-Liquid Equilibrium Data for Tetrahydrofuran + Acetic Acid and Tetrahydrofuran + Trichloroethylene Mixtures.
J Chem Eng Data. 2023 Jan 27;68(2):349-357. doi: 10.1021/acs.jced.2c00593. eCollection 2023 Feb 9.
5
Electrochemical Reduction of CO to Oxalic Acid: Experiments, Process Modeling, and Economics.
Ind Eng Chem Res. 2022 Oct 12;61(40):14837-14846. doi: 10.1021/acs.iecr.2c02647. Epub 2022 Sep 28.

本文引用的文献

1
Recent Advances in Power-to-X Technology for the Production of Fuels and Chemicals.
Front Chem. 2019 Jun 5;7:392. doi: 10.3389/fchem.2019.00392. eCollection 2019.
2
High Pressure Electrochemical Reduction of CO to Formic Acid/Formate: A Comparison between Bipolar Membranes and Cation Exchange Membranes.
Ind Eng Chem Res. 2019 Feb 6;58(5):1834-1847. doi: 10.1021/acs.iecr.8b04944. Epub 2019 Jan 14.
3
Combined Steam Reforming of Methane and Formic Acid To Produce Syngas with an Adjustable H:CO Ratio.
Ind Eng Chem Res. 2018 Aug 8;57(31):10663-10674. doi: 10.1021/acs.iecr.8b02443. Epub 2018 Jul 17.

文献AI研究员

20分钟写一篇综述,助力文献阅读效率提升50倍。

立即体验

用中文搜PubMed

大模型驱动的PubMed中文搜索引擎

马上搜索

文档翻译

学术文献翻译模型,支持多种主流文档格式。

立即体验