• 文献检索
  • 文档翻译
  • 深度研究
  • 学术资讯
  • Suppr Zotero 插件Zotero 插件
  • 邀请有礼
  • 套餐&价格
  • 历史记录
应用&插件
Suppr Zotero 插件Zotero 插件浏览器插件Mac 客户端Windows 客户端微信小程序
定价
高级版会员购买积分包购买API积分包
服务
文献检索文档翻译深度研究API 文档MCP 服务
关于我们
关于 Suppr公司介绍联系我们用户协议隐私条款
关注我们

Suppr 超能文献

核心技术专利:CN118964589B侵权必究
粤ICP备2023148730 号-1Suppr @ 2026

文献检索

告别复杂PubMed语法,用中文像聊天一样搜索,搜遍4000万医学文献。AI智能推荐,让科研检索更轻松。

立即免费搜索

文件翻译

保留排版,准确专业,支持PDF/Word/PPT等文件格式,支持 12+语言互译。

免费翻译文档

深度研究

AI帮你快速写综述,25分钟生成高质量综述,智能提取关键信息,辅助科研写作。

立即免费体验

高温对常温养护的高掺量粉煤灰基地质聚合物混凝土、砂浆和浆体力学性能的影响

Effect of Elevated Temperature on Mechanical Properties of High-Volume Fly Ash-Based Geopolymer Concrete, Mortar and Paste Cured at Room Temperature.

作者信息

Zhao Jun, Wang Kang, Wang Shuaibin, Wang Zike, Yang Zhaohui, Shumuye Eskinder Desta, Gong Xinglong

机构信息

School of Civil Engineering, Zhengzhou University, Zhengzhou 450001, China.

School of Mechanics and Safety Engineering, Zhengzhou University, Zhengzhou 450001, China.

出版信息

Polymers (Basel). 2021 May 2;13(9):1473. doi: 10.3390/polym13091473.

DOI:10.3390/polym13091473
PMID:34063268
原文链接:https://pmc.ncbi.nlm.nih.gov/articles/PMC8125026/
Abstract

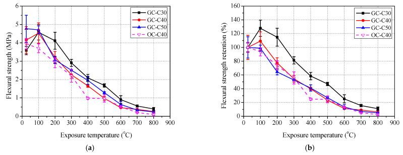
This paper presents results from experimental work on mechanical properties of geopolymer concrete, mortar and paste prepared using fly ash and blended slag. Compressive strength, splitting tensile strength and flexural strength tests were conducted on large sets of geopolymer and ordinary concrete, mortar and paste after exposure to elevated temperatures. From Thermogravimetric analyzer (TGA), X-ray diffraction (XRD), Scanning electron microscope (SEM) test results, the geopolymer exhibits excellent resistance to elevated temperature. Compressive strengths of C30, C40 and C50 geopolymer concrete, mortar and paste show incremental improvement then followed by a gradual reduction, and finally reach a relatively consistent value with an increase in exposure temperature. The higher slag content in the geopolymer reduces residual strength and the lower exposure temperature corresponding to peak residual strength. Resistance to elevated temperature of C40 geopolymer concrete, mortar and paste is better than that of ordinary concrete, mortar and paste at the same grade. XRD, TGA and SEM analysis suggests that the heat resistance of C-S-H produced using slag is lower than that of sulphoaluminate gel (quartz and mullite, etc.) produced using fly ash. This facilitates degradation of C30, C40 and C50 geopolymer after exposure to elevated temperatures.

摘要

本文介绍了使用粉煤灰和混合矿渣制备的地质聚合物混凝土、砂浆和浆体力学性能的试验研究结果。对大量地质聚合物和普通混凝土、砂浆及浆体在高温作用后进行了抗压强度、劈裂抗拉强度和抗折强度试验。根据热重分析仪(TGA)、X射线衍射(XRD)、扫描电子显微镜(SEM)试验结果,地质聚合物表现出优异的耐高温性能。C30、C40和C50地质聚合物混凝土、砂浆及浆体的抗压强度随着温度升高先呈递增趋势,随后逐渐降低,最终趋于相对稳定的值。地质聚合物中较高的矿渣含量会降低其残余强度,且对应峰值残余强度的温度较低。在相同等级下,C40地质聚合物混凝土、砂浆及浆体的耐高温性能优于普通混凝土、砂浆及浆体。XRD、TGA和SEM分析表明,矿渣生成的C-S-H耐热性低于粉煤灰生成的硫铝酸盐凝胶(石英和莫来石等),这促使C30、C40和C50地质聚合物在高温作用后发生劣化。

https://cdn.ncbi.nlm.nih.gov/pmc/blobs/8f18/8125026/613e61771ba2/polymers-13-01473-g017a.jpg
https://cdn.ncbi.nlm.nih.gov/pmc/blobs/8f18/8125026/89230fa4f7b3/polymers-13-01473-g001.jpg
https://cdn.ncbi.nlm.nih.gov/pmc/blobs/8f18/8125026/47b6c7041cfc/polymers-13-01473-g004.jpg
https://cdn.ncbi.nlm.nih.gov/pmc/blobs/8f18/8125026/eeed0aa6c88d/polymers-13-01473-g007.jpg
https://cdn.ncbi.nlm.nih.gov/pmc/blobs/8f18/8125026/0bcd50407753/polymers-13-01473-g009.jpg
https://cdn.ncbi.nlm.nih.gov/pmc/blobs/8f18/8125026/00fc8e4dffee/polymers-13-01473-g010.jpg
https://cdn.ncbi.nlm.nih.gov/pmc/blobs/8f18/8125026/fd2249ac0d71/polymers-13-01473-g011.jpg
https://cdn.ncbi.nlm.nih.gov/pmc/blobs/8f18/8125026/d16a8100c82c/polymers-13-01473-g012.jpg
https://cdn.ncbi.nlm.nih.gov/pmc/blobs/8f18/8125026/a0cf0e62a9b6/polymers-13-01473-g013a.jpg
https://cdn.ncbi.nlm.nih.gov/pmc/blobs/8f18/8125026/d1094cea206a/polymers-13-01473-g014.jpg
https://cdn.ncbi.nlm.nih.gov/pmc/blobs/8f18/8125026/2f8c1ba89a3f/polymers-13-01473-g015a.jpg
https://cdn.ncbi.nlm.nih.gov/pmc/blobs/8f18/8125026/7e347d69765e/polymers-13-01473-g016a.jpg
https://cdn.ncbi.nlm.nih.gov/pmc/blobs/8f18/8125026/613e61771ba2/polymers-13-01473-g017a.jpg
https://cdn.ncbi.nlm.nih.gov/pmc/blobs/8f18/8125026/89230fa4f7b3/polymers-13-01473-g001.jpg
https://cdn.ncbi.nlm.nih.gov/pmc/blobs/8f18/8125026/47b6c7041cfc/polymers-13-01473-g004.jpg
https://cdn.ncbi.nlm.nih.gov/pmc/blobs/8f18/8125026/eeed0aa6c88d/polymers-13-01473-g007.jpg
https://cdn.ncbi.nlm.nih.gov/pmc/blobs/8f18/8125026/0bcd50407753/polymers-13-01473-g009.jpg
https://cdn.ncbi.nlm.nih.gov/pmc/blobs/8f18/8125026/00fc8e4dffee/polymers-13-01473-g010.jpg
https://cdn.ncbi.nlm.nih.gov/pmc/blobs/8f18/8125026/fd2249ac0d71/polymers-13-01473-g011.jpg
https://cdn.ncbi.nlm.nih.gov/pmc/blobs/8f18/8125026/d16a8100c82c/polymers-13-01473-g012.jpg
https://cdn.ncbi.nlm.nih.gov/pmc/blobs/8f18/8125026/a0cf0e62a9b6/polymers-13-01473-g013a.jpg
https://cdn.ncbi.nlm.nih.gov/pmc/blobs/8f18/8125026/d1094cea206a/polymers-13-01473-g014.jpg
https://cdn.ncbi.nlm.nih.gov/pmc/blobs/8f18/8125026/2f8c1ba89a3f/polymers-13-01473-g015a.jpg
https://cdn.ncbi.nlm.nih.gov/pmc/blobs/8f18/8125026/7e347d69765e/polymers-13-01473-g016a.jpg
https://cdn.ncbi.nlm.nih.gov/pmc/blobs/8f18/8125026/613e61771ba2/polymers-13-01473-g017a.jpg

相似文献

1
Effect of Elevated Temperature on Mechanical Properties of High-Volume Fly Ash-Based Geopolymer Concrete, Mortar and Paste Cured at Room Temperature.高温对常温养护的高掺量粉煤灰基地质聚合物混凝土、砂浆和浆体力学性能的影响
Polymers (Basel). 2021 May 2;13(9):1473. doi: 10.3390/polym13091473.
2
Mechanical Properties and Microstructure of Class C Fly Ash-Based Geopolymer Paste and Mortar.C类粉煤灰基地质聚合物浆体和砂浆的力学性能与微观结构
Materials (Basel). 2013 Apr 9;6(4):1485-1495. doi: 10.3390/ma6041485.
3
Mechanical and Microstructural Characterization of Quarry Rock Dust Incorporated Steel Fiber Reinforced Geopolymer Concrete and Residual Properties after Exposure to Elevated Temperatures.掺入采石场岩粉的钢纤维增强地质聚合物混凝土的力学和微观结构表征以及高温暴露后的残余性能
Materials (Basel). 2021 Nov 15;14(22):6890. doi: 10.3390/ma14226890.
4
Synthesis and heavy metal immobilization behaviors of slag based geopolymer.基于矿渣的地质聚合物的合成及重金属固定行为
J Hazard Mater. 2007 May 8;143(1-2):206-13. doi: 10.1016/j.jhazmat.2006.09.033. Epub 2006 Sep 16.
5
Systematic multiscale models to predict the compressive strength of fly ash-based geopolymer concrete at various mixture proportions and curing regimes.系统的多尺度模型预测各种混合比例和养护制度下粉煤灰基地聚物混凝土的抗压强度。
PLoS One. 2021 Jun 14;16(6):e0253006. doi: 10.1371/journal.pone.0253006. eCollection 2021.
6
Properties of high-calcium and low-calcium fly ash combination geopolymer mortar containing recycled aggregate.含再生骨料的高钙与低钙粉煤灰复合地质聚合物砂浆的性能
Heliyon. 2019 Sep 30;5(9):e02513. doi: 10.1016/j.heliyon.2019.e02513. eCollection 2019 Sep.
7
Fire-Exposed Fly-Ash-Based Geopolymer Concrete: Effects of Burning Temperature on Mechanical and Microstructural Properties.火灾暴露的粉煤灰基地质聚合物混凝土:燃烧温度对力学和微观结构性能的影响。
Materials (Basel). 2022 Mar 3;15(5):1884. doi: 10.3390/ma15051884.
8
Influence of Water Content on Mechanical Strength and Microstructure of Alkali-Activated Fly Ash/GGBFS Mortars Cured at Cold and Polar Regions.水含量对在寒冷和极地地区养护的碱激发粉煤灰/粒化高炉矿渣砂浆力学强度和微观结构的影响
Materials (Basel). 2019 Dec 29;13(1):138. doi: 10.3390/ma13010138.
9
Effect of bio-additives on physico-chemical properties of fly ash-ground granulated blast furnace slag based self cured geopolymer mortars.生物添加剂对自养护地质聚合物胶凝材料中粉煤灰-矿渣粉的物理化学性能的影响。
J Hazard Mater. 2019 Jan 5;361:56-63. doi: 10.1016/j.jhazmat.2018.08.078. Epub 2018 Aug 24.
10
Comparison of Hook and Straight Steel Fibers Addition on Malaysian Fly Ash-Based Geopolymer Concrete on the Slump, Density, Water Absorption and Mechanical Properties.添加弯钩钢纤维和直钢纤维对马来西亚粉煤灰基地质聚合物混凝土坍落度、密度、吸水率及力学性能的比较
Materials (Basel). 2021 Mar 9;14(5):1310. doi: 10.3390/ma14051310.

引用本文的文献

1
Geopolymer Concretes with Organic Phase Change Materials-Analysis of Thermal Properties and Microstructure.含有机相变材料的地质聚合物混凝土——热性能与微观结构分析
Materials (Basel). 2025 May 29;18(11):2557. doi: 10.3390/ma18112557.
2
Effect of Waste Glass Powder and Bamboo Fiber on the Physico-Mechanical Properties and High-Temperature Behavior of a Fly Ash-Based Geopolymer.废玻璃粉和竹纤维对粉煤灰基地质聚合物物理力学性能及高温行为的影响
ACS Omega. 2024 Oct 15;9(43):43766-43778. doi: 10.1021/acsomega.4c06416. eCollection 2024 Oct 29.
3
Study on Improving Measures of Mechanical Properties of Geopolymer Materials and Its Effect on CO Emission.

本文引用的文献

1
Material and structural characterization of alkali activated low-calcium brown coal fly ash.碱激发低钙褐煤粉煤灰的材料与结构表征
J Hazard Mater. 2009 Sep 15;168(2-3):711-20. doi: 10.1016/j.jhazmat.2009.02.089. Epub 2009 Feb 25.
地聚合物材料力学性能改善措施及其对一氧化碳排放影响的研究
Polymers (Basel). 2023 Mar 29;15(7):1699. doi: 10.3390/polym15071699.
4
Properties and Applications of Geopolymer Composites: A Review Study of Mechanical and Microstructural Properties.地质聚合物复合材料的性能与应用:力学和微观结构性能综述研究
Materials (Basel). 2022 Nov 21;15(22):8250. doi: 10.3390/ma15228250.
5
Eco-Friendly, High-Ductility Slag/Fly-Ash-Based Engineered Cementitious Composite (ECC) Reinforced with PE Fibers.采用聚乙烯纤维增强的环保型、高延性矿渣/粉煤灰基工程水泥基复合材料(ECC)
Polymers (Basel). 2022 Apr 26;14(9):1760. doi: 10.3390/polym14091760.
6
Durability Performance of Geopolymer Concrete: A Review.地质聚合物混凝土的耐久性性能:综述
Polymers (Basel). 2022 Feb 23;14(5):868. doi: 10.3390/polym14050868.
7
Experimental Study on Axial Compressive Performance of Polyvinyl Alcohol Fibers Reinforced Fly Ash-Slag Geopolymer Composites.聚乙烯醇纤维增强粉煤灰-矿渣地聚合物复合材料轴向压缩性能的试验研究
Polymers (Basel). 2021 Dec 30;14(1):142. doi: 10.3390/polym14010142.