Greither Thomas, Steiner Tina, Bache Matthias, Serrero Ginette, Otto Sven, Taubert Helge, Eckert Alexander W, Kappler Matthias
Center for Reproductive Medicine and Andrology, Martin Luther University Halle-Wittenberg, 06120 Halle (Saale), Germany.
Department of Radiotherapy, Martin Luther University Halle-Wittenberg, 06120 Halle (Saale), Germany.
Biology (Basel). 2021 May 4;10(5):400. doi: 10.3390/biology10050400.
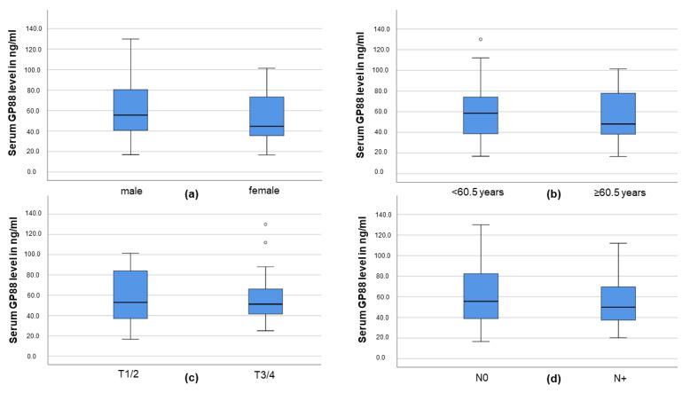
Progranulin (PGRN)/GP88 is a growth factor that is expressed in a wide range of tumor tissues. The secreted form is involved in various biological processes including proliferation and inflammation. In several tumor types, the serum GP88 level is associated with a patient's prognosis; however, data for oral squamous cell carcinomas (OSCCs) have not yet been reported. We measured the serum GP88 levels in 96 OSCC patients by an enzyme immunosorbent assay (EIA) and correlated these data with clinicopathological parameters and patient outcomes. The GP88 levels in the serum of OSCC patients and healthy volunteers were comparable. In OSCC patients, the levels did not correlate with age, sex, or TNM status. In a Kaplan-Meier survival analysis, a serum GP88 level < 68 ng/mL was significantly associated with worsened survival ( = 0.0005, log-rank-test) as well as in uni- and multivariate Cox regression analyses (RR = 4.6 [1.6-12.9], = 0.004 and RR = 4.2 [1.2-12.0], = 0.008). This effect was predominant in OSCC patients older than 60.5 years ( = 0.027), while in younger patients no significant association between serum GP88 levels and prognosis could be observed. Altogether, lower serum GP88 levels are significantly associated with a worsened outcome for an OSCC and may be an interesting candidate for risk stratification during OSCC therapy.
颗粒蛋白前体(PGRN)/ GP88是一种在多种肿瘤组织中表达的生长因子。其分泌形式参与包括增殖和炎症在内的各种生物学过程。在几种肿瘤类型中,血清GP88水平与患者的预后相关;然而,口腔鳞状细胞癌(OSCC)的数据尚未见报道。我们通过酶免疫吸附测定(EIA)测量了96例OSCC患者的血清GP88水平,并将这些数据与临床病理参数和患者预后相关联。OSCC患者和健康志愿者血清中的GP88水平相当。在OSCC患者中,该水平与年龄、性别或TNM分期无关。在Kaplan-Meier生存分析中,血清GP88水平<68 ng/mL与较差的生存率显著相关(P = 0.0005,对数秩检验),在单因素和多因素Cox回归分析中也是如此(风险比[RR]=4.6 [1.6 - 12.9],P = 0.004;RR = 4.2 [1.2 - 12.0],P = 0.008)。这种效应在年龄大于60.5岁的OSCC患者中占主导地位(P = 0.027),而在年轻患者中,未观察到血清GP88水平与预后之间的显著关联。总之,较低的血清GP88水平与OSCC较差的预后显著相关,可能是OSCC治疗期间风险分层的一个有意义的指标。