• 文献检索
  • 文档翻译
  • 深度研究
  • 学术资讯
  • Suppr Zotero 插件Zotero 插件
  • 邀请有礼
  • 套餐&价格
  • 历史记录
应用&插件
Suppr Zotero 插件Zotero 插件浏览器插件Mac 客户端Windows 客户端微信小程序
定价
高级版会员购买积分包购买API积分包
服务
文献检索文档翻译深度研究API 文档MCP 服务
关于我们
关于 Suppr公司介绍联系我们用户协议隐私条款
关注我们

Suppr 超能文献

核心技术专利:CN118964589B侵权必究
粤ICP备2023148730 号-1Suppr @ 2026

文献检索

告别复杂PubMed语法,用中文像聊天一样搜索,搜遍4000万医学文献。AI智能推荐,让科研检索更轻松。

立即免费搜索

文件翻译

保留排版,准确专业,支持PDF/Word/PPT等文件格式,支持 12+语言互译。

免费翻译文档

深度研究

AI帮你快速写综述,25分钟生成高质量综述,智能提取关键信息,辅助科研写作。

立即免费体验

膀胱癌的生存与特征:马来西亚国家癌症登记处分析。

Survival and Characteristics of Bladder Cancer: Analysis of the Malaysian National Cancer Registry.

机构信息

Department of Community Medicine, School of Medical Sciences, Universiti Sains Malaysia, Kubang Kerian 16150, Malaysia.

Unit of Biostatistics and Research Methodology, School of Medical Sciences, Universiti Sains Malaysia, Kubang Kerian 16150, Malaysia.

出版信息

Int J Environ Res Public Health. 2021 May 14;18(10):5237. doi: 10.3390/ijerph18105237.

DOI:10.3390/ijerph18105237
PMID:34069096
原文链接:https://pmc.ncbi.nlm.nih.gov/articles/PMC8156894/
Abstract

BACKGROUND

Bladder cancer ranked ninth of principal male cancer in Malaysia. This study aimed to evaluate the clinical characteristics and survival of bladder cancer patients in Malaysia.

METHODS

A retrospective cohort study was conducted by obtaining records in the Malaysian National Cancer Registry. Patients aged 15 years old and above with diagnosis date between 2007 and 2011 were included. Death was updated until 31 December 2016. Five-year observed survival and median survival time were determined by the life table method and Kaplan-Meier estimate method.

RESULTS

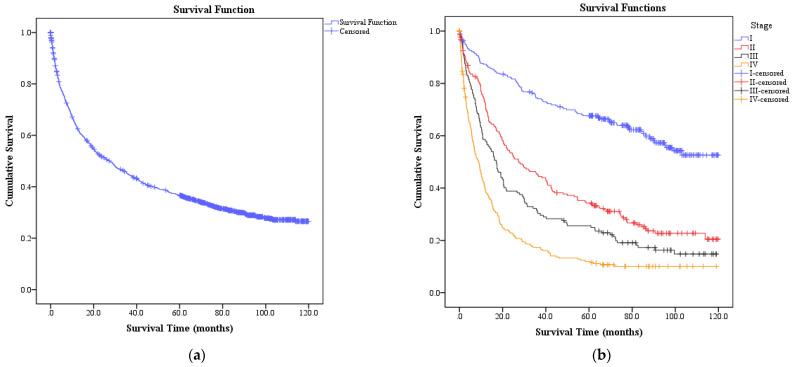
Among 1828 cases, the mean (SD) age of diagnosis was 64.9 (12.5) years. The patients were predominantly men (78.7%), Malay ethnicity (49.4%) and transitional cell carcinoma (78.2%). Only 14.8% of patients were at stage I. The overall five-year observed survival and median survival time was 36.9% (95% CI: 34.6, 39.1) and 27.3 months (95% CI: 23.6, 31.0). The highest five-year observed survival recorded at stage I (67.6%, 95% CI: 62.0, 73.3) and markedly worsen at stage II (34.3%, 95% CI: 27.9, 40.8), III (25.7%, 95% CI: 18.7, 32.6) and IV (12.2%, 95% CI: 8.1, 16.3).

CONCLUSIONS

Survival of bladder cancer patients in Malaysia was lower with advancing stage. The cancer control programme should be enhanced to improve survival.

摘要

背景

膀胱癌在马来西亚男性主要癌症中排名第九。本研究旨在评估马来西亚膀胱癌患者的临床特征和生存情况。

方法

通过获取马来西亚国家癌症登记处的记录,进行了一项回顾性队列研究。纳入 2007 年至 2011 年间诊断年龄在 15 岁及以上的患者。死亡数据更新至 2016 年 12 月 31 日。通过寿命表法和 Kaplan-Meier 估计法确定 5 年观察生存率和中位生存时间。

结果

在 1828 例患者中,诊断时的平均(SD)年龄为 64.9(12.5)岁。患者主要为男性(78.7%)、马来人(49.4%)和移行细胞癌(78.2%)。仅 14.8%的患者处于 I 期。总体 5 年观察生存率和中位生存时间分别为 36.9%(95%CI:34.6,39.1)和 27.3 个月(95%CI:23.6,31.0)。I 期的 5 年观察生存率最高(67.6%,95%CI:62.0,73.3),而在 II 期(34.3%,95%CI:27.9,40.8)、III 期(25.7%,95%CI:18.7,32.6)和 IV 期(12.2%,95%CI:8.1,16.3)则显著恶化。

结论

马来西亚膀胱癌患者的生存率随分期进展而降低。应加强癌症控制计划以提高生存率。

https://cdn.ncbi.nlm.nih.gov/pmc/blobs/4791/8156894/5d86761f2cb3/ijerph-18-05237-g001.jpg
https://cdn.ncbi.nlm.nih.gov/pmc/blobs/4791/8156894/5d86761f2cb3/ijerph-18-05237-g001.jpg
https://cdn.ncbi.nlm.nih.gov/pmc/blobs/4791/8156894/5d86761f2cb3/ijerph-18-05237-g001.jpg

相似文献

1
Survival and Characteristics of Bladder Cancer: Analysis of the Malaysian National Cancer Registry.膀胱癌的生存与特征:马来西亚国家癌症登记处分析。
Int J Environ Res Public Health. 2021 May 14;18(10):5237. doi: 10.3390/ijerph18105237.
2
Survival rates and predictors of survival among colorectal cancer patients in a Malaysian tertiary hospital.马来西亚一家三级医院结直肠癌患者的生存率及生存预测因素
BMC Cancer. 2017 May 18;17(1):339. doi: 10.1186/s12885-017-3336-z.
3
Prognostic Factors for Bladder Cancer Patients in Malaysia: A Population-Based Study.马来西亚膀胱癌患者的预后因素:一项基于人群的研究。
Int J Environ Res Public Health. 2022 Mar 4;19(5):3029. doi: 10.3390/ijerph19053029.
4
Survival Time and Prognostic Factors for Breast Cancer among Women in North-East Peninsular Malaysia.马来西亚半岛东北部女性乳腺癌的生存时间及预后因素
Asian Pac J Cancer Prev. 2018 Feb 26;19(2):497-502. doi: 10.22034/APJCP.2018.19.2.497.
5
Survival Rate and Prognostic Factors for Colorectal Cancer in Sabah, Borneo, Malaysia: A Retrospective Cohort of a Population-Based Study.马来西亚沙巴州结直肠癌的生存率和预后因素:一项基于人群的回顾性队列研究。
Asian Pac J Cancer Prev. 2022 Jun 1;23(6):1885-1892. doi: 10.31557/APJCP.2022.23.6.1885.
6
Who are the breast cancer survivors in Malaysia?马来西亚的乳腺癌幸存者都有谁?
Asian Pac J Cancer Prev. 2012;13(5):2213-8. doi: 10.7314/apjcp.2012.13.5.2213.
7
Survival of Ischaemic and Haemorrhagic Stroke: Analysis of the Malaysian National Stroke Registry Data from 2009 to 2013.缺血性和出血性卒中的生存率:对2009年至2013年马来西亚国家卒中登记数据的分析
Malays J Med Sci. 2024 Oct;31(5):205-214. doi: 10.21315/mjms2024.31.5.14. Epub 2024 Oct 8.
8
Improvement in survival of breast cancer patients - trends over two time periods in a single institution in an Asia Pacific country, Malaysia.马来西亚这个亚太国家的一家机构内,乳腺癌患者生存率的改善——两个时间段的趋势
Asian Pac J Cancer Prev. 2011;12(2):345-9.
9
Survival of patients with transitional cell carcinoma of the urinary bladder in indonesia: a single institution review.印度尼西亚膀胱移行细胞癌患者的生存情况:单机构回顾分析
Asian Pac J Cancer Prev. 2011;12(2):549-53.
10
Low incidence of perioperative chemotherapy for stage III bladder cancer 1998 to 2003: a report from the National Cancer Data Base.1998年至2003年III期膀胱癌围手术期化疗的低发生率:来自国家癌症数据库的报告。
J Urol. 2007 Aug;178(2):451-4. doi: 10.1016/j.juro.2007.03.101. Epub 2007 Jun 11.

引用本文的文献

1
Psychological Impact of Bladder Cancer: Insights from 219 Patients and Caregivers in Indonesia Using DASS-21 (2019-2023).膀胱癌的心理影响:来自印度尼西亚 219 名患者和照顾者的 DASS-21(2019-2023)调查结果。
Med Sci Monit. 2024 Aug 3;30:e945272. doi: 10.12659/MSM.945272.
2
Prognostic Factors for Bladder Cancer Patients in Malaysia: A Population-Based Study.马来西亚膀胱癌患者的预后因素:一项基于人群的研究。
Int J Environ Res Public Health. 2022 Mar 4;19(5):3029. doi: 10.3390/ijerph19053029.

本文引用的文献

1
Epidemiology, aetiology and screening of bladder cancer.膀胱癌的流行病学、病因学及筛查
Transl Androl Urol. 2019 Feb;8(1):5-11. doi: 10.21037/tau.2018.09.11.
2
Global cancer statistics 2018: GLOBOCAN estimates of incidence and mortality worldwide for 36 cancers in 185 countries.全球癌症统计数据 2018:GLOBOCAN 对全球 185 个国家/地区 36 种癌症的发病率和死亡率的估计。
CA Cancer J Clin. 2018 Nov;68(6):394-424. doi: 10.3322/caac.21492. Epub 2018 Sep 12.
3
Treatment Patterns and Outcomes in Stage IV Bladder Cancer in a Community Oncology Setting: 2008-2015.
在社区肿瘤学环境中 IV 期膀胱癌的治疗模式和结局:2008-2015 年。
Clin Genitourin Cancer. 2018 Dec;16(6):e1171-e1179. doi: 10.1016/j.clgc.2018.07.025. Epub 2018 Aug 11.
4
Survival Rates and Health Care Costs for Patients With Advanced Bladder Cancer Treated and Untreated With Chemotherapy.晚期膀胱癌患者接受和未接受化疗的生存率和医疗费用。
Clin Genitourin Cancer. 2018 Aug;16(4):e909-e917. doi: 10.1016/j.clgc.2018.03.002. Epub 2018 Mar 27.
5
Global surveillance of trends in cancer survival 2000-14 (CONCORD-3): analysis of individual records for 37 513 025 patients diagnosed with one of 18 cancers from 322 population-based registries in 71 countries.全球癌症生存趋势监测 2000-14 年(CONCORD-3):对来自 71 个国家 322 个基于人群的登记处的 37513025 名诊断患有 18 种癌症之一的患者的个体记录进行分析。
Lancet. 2018 Mar 17;391(10125):1023-1075. doi: 10.1016/S0140-6736(17)33326-3. Epub 2018 Jan 31.
6
Clinical characteristics and outcomes of nonurothelial cell carcinoma of the bladder: Results from the National Cancer Data Base.膀胱非尿路上皮细胞癌的临床特征与预后:来自美国国立癌症数据库的结果
Urol Oncol. 2018 Feb;36(2):78.e1-78.e12. doi: 10.1016/j.urolonc.2017.10.013. Epub 2017 Nov 20.
7
Radical Cystectomy Chemoradiation for Muscle-invasive Bladder Cancer: Impact of Treatment Facility and Sociodemographics.根治性膀胱切除术联合放化疗治疗肌层浸润性膀胱癌:治疗机构及社会人口统计学特征的影响
Anticancer Res. 2017 Oct;37(10):5603-5608. doi: 10.21873/anticanres.11994.
8
National Practice Patterns and Outcomes for T4b Urothelial Cancer of the Bladder.膀胱T4b期尿路上皮癌的全国实践模式与治疗结果
Clin Genitourin Cancer. 2017 Sep 6. doi: 10.1016/j.clgc.2017.08.013.
9
Quality analysis of population-based information on cancer stage at diagnosis across Europe, with presentation of stage-specific cancer survival estimates: A EUROCARE-5 study.欧洲癌症诊断时基于人群的癌症分期信息质量分析及特定分期癌症生存率估计报告:一项欧洲癌症和生存研究(EUROCARE-5)
Eur J Cancer. 2017 Oct;84:335-353. doi: 10.1016/j.ejca.2017.07.015. Epub 2017 Sep 1.
10
Is survival after radical cystectomy for bladder cancer in Saudi patients different from that of Western patients?沙特患者膀胱癌根治性膀胱切除术后的生存率与西方患者不同吗?
Ann Saudi Med. 2017 May-Jun;37(3):194-200. doi: 10.5144/0256-4947.2017.194.