Suppr超能文献

一种将磁体嵌入钝体的压电与电磁混合驰振能量采集器。

A Piezoelectric and Electromagnetic Hybrid Galloping Energy Harvester with the Magnet Embedded in the Bluff Body.

作者信息

Li Xia, Bi Cheng, Li Zhiyuan, Liu Benxue, Wang Tingting, Zhang Sanchuan

机构信息

School of Mechanical and Power Engineering, Zhengzhou University, Zhengzhou 450001, China.

出版信息

Micromachines (Basel). 2021 May 28;12(6):626. doi: 10.3390/mi12060626.

Abstract

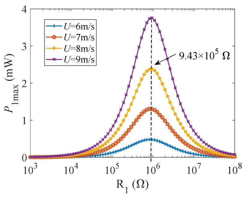
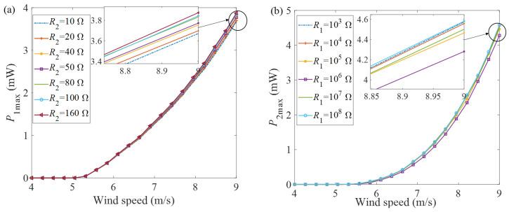
To meet the needs of low-power microelectronic devices for on-site self-supply energy, a galloping piezoelectric-electromagnetic energy harvester (GPEEH) is proposed. It consists of a galloping piezoelectric energy harvester (GPEH) and an electromagnetic energy harvester (EEH), which is installed inside the bluff body of the GPEH. The vibration at the end of the GPEH cantilever drives the magnet to vibrate, so that electromagnetic energy can be captured by cutting off the induced magnetic field lines. The coupling structure is a two-degree-of-freedom motion, which improves the output power of the energy harvester. Based on Hamilton's variational principle and quasi-static hypothesis, the piezoelectric-electromagnetic vibrated coupling equation is established, and the output characteristics of GPEEH are obtained by the method of numerical simulation. Using the method of numerical simulation, studies a series of parameters on the output performance. when the wind speed is 9 m/s, the effective output power of the GPEEH is compared with the classical galloping piezoelectric energy harvester (CGPEH) who is no magnet. It is found that the output power of GPEEH 121% higher than the output power of CGPEH. Finally, set up an experimental platform, and test and verify. The experimental analysis results show that the simulated output parameter curves are basically consistent with the experimental drawing curves. In addition, when the wind speed is 9 m/s, under the same parameters, the effective output power of the GPEEH is 112.5% higher than that of the CGPEH. The correctness of the model is verified.

摘要

为满足低功耗微电子设备现场自供电能量的需求,提出了一种驰振压电 - 电磁能量采集器(GPEEH)。它由一个驰振压电能量采集器(GPEH)和一个电磁能量采集器(EEH)组成,EEH安装在GPEH的钝体内部。GPEH悬臂端部的振动驱动磁体振动,从而通过切断感应磁场线来捕获电磁能量。耦合结构为二自由度运动,提高了能量采集器的输出功率。基于哈密顿变分原理和准静态假设,建立了压电 - 电磁振动耦合方程,并通过数值模拟方法得到了GPEEH的输出特性。利用数值模拟方法,研究了一系列参数对输出性能的影响。当风速为9 m/s时,将GPEEH的有效输出功率与无磁体的经典驰振压电能量采集器(CGPEH)进行比较。发现GPEEH的输出功率比CGPEH的输出功率高121%。最后搭建了实验平台进行测试验证。实验分析结果表明,模拟输出参数曲线与实验绘图曲线基本一致。此外,当风速为9 m/s时,在相同参数下,GPEEH的有效输出功率比CGPEH高112.5%。验证了模型的正确性。

https://cdn.ncbi.nlm.nih.gov/pmc/blobs/cb13/8228896/0479d4d8aad6/micromachines-12-00626-g001.jpg

文献AI研究员

20分钟写一篇综述,助力文献阅读效率提升50倍。

立即体验

用中文搜PubMed

大模型驱动的PubMed中文搜索引擎

马上搜索

文档翻译

学术文献翻译模型,支持多种主流文档格式。

立即体验