Suppr超能文献

揭示鳗草草甸的时空可塑性

Unravelling the Spatial and Temporal Plasticity of Eelgrass Meadows.

作者信息

Bertelli Chiara M, Bull James C, Cullen-Unsworth Leanne C, Unsworth Richard K F

机构信息

Department of Biosciences, Swansea University, Swansea, United Kingdom.

Sustainable Places Research Institute, Cardiff University, Cardiff, United Kingdom.

出版信息

Front Plant Sci. 2021 May 20;12:664523. doi: 10.3389/fpls.2021.664523. eCollection 2021.

Abstract

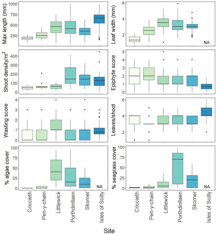
The phenotypic plasticity of seagrasses enables them to adapt to changes in environmental conditions and withstand or recover from disturbance. This plasticity was demonstrated in the large variation recorded throughout a suite of bioindicators measured within meadows around Wales and SW England, United Kingdom. Short-term spatial data were analysed alongside long-term monitoring data to determine which bioindicators best described the status of eelgrass meadows subjected to a range of environmental and anthropogenic drivers. Shoot density, leaf length, leaf nutrients (C:N ratio, %N, %P) including stable isotope of δC and δN provided insight into the longer-term status of the meadows studied and a good indication of the causes of long-term decline. Meadows ranged from those in the Isles of Scilly with little evidence of impact to those in Littlewick in Milford Haven, Wales that showed the highest levels of impacts of all sites. Bioindicators at Littlewick showed clear warning signs of nutrient loading reflected in the long-term decline in shoot density, and prevalence of wasting disease. This study highlights the need for continuous consistent monitoring and the benefits of using extra tools in the form of shoot nutrient analysis to determine causes of decline.

摘要

海草的表型可塑性使其能够适应环境条件的变化,并抵御干扰或从中恢复。这种可塑性在对英国威尔士和英格兰西南部草甸内一系列生物指标进行测量时记录到的巨大变化中得到了体现。短期空间数据与长期监测数据一起进行分析,以确定哪些生物指标最能描述受一系列环境和人为驱动因素影响的鳗草甸的状况。茎密度、叶长、叶养分(碳氮比、氮含量百分比、磷含量百分比),包括碳和氮的稳定同位素δC和δN,为所研究草甸的长期状况提供了见解,并很好地表明了长期衰退的原因。草甸范围从锡利群岛几乎没有影响迹象的草甸到威尔士米尔福德港利特威克受影响最严重的草甸。利特威克的生物指标显示出营养负荷的明显警告信号,这反映在茎密度的长期下降和消瘦病的流行上。这项研究强调了持续进行一致监测的必要性,以及使用茎养分分析等额外工具来确定衰退原因的好处。

https://cdn.ncbi.nlm.nih.gov/pmc/blobs/510e/8174302/9a12ebae3b43/fpls-12-664523-g001.jpg

文献AI研究员

20分钟写一篇综述,助力文献阅读效率提升50倍。

立即体验

用中文搜PubMed

大模型驱动的PubMed中文搜索引擎

马上搜索

文档翻译

学术文献翻译模型,支持多种主流文档格式。

立即体验