Meira Bruna, Degos Bertrand, Corsetti Elise, Doulazmi Mohamed, Berthelot Emeline, Virbel-Fleischman Clara, Dodet Pauline, Méneret Aurélie, Mariani Louise-Laure, Delorme Cécile, Cormier-Dequaire Florence, Bendetowicz David, Villain Nicolas, Tarrano Clément, Mantisi Lise, Letrillart Hélène, Louapre Céline, McGovern Eavan, Worbe Yulia, Grabli David, Vidailhet Marie, Hainque Elodie, Roze Emmanuel
Neurology Department, Centro Hospitalar Lisboa Ocidental, Lisbon, Portugal.
Neurology Department, Avicenne Hospital, AP-HP, Sorbonne Paris Nord University, Bobigny, France.
NPJ Parkinsons Dis. 2021 Jun 11;7(1):50. doi: 10.1038/s41531-021-00194-7.
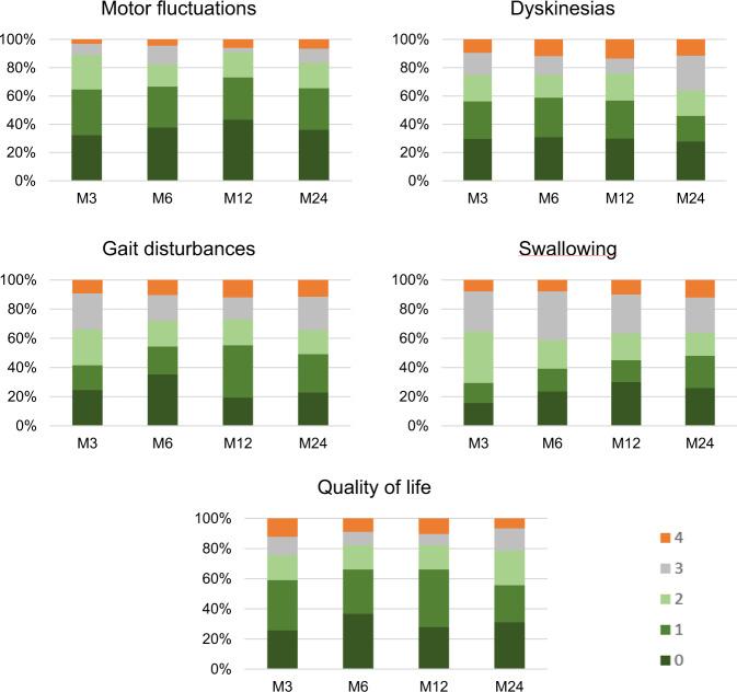
Long-term effects of continuous subcutaneous apomorphine infusion (CSAI) on health-related quality of life (HRQoL) and predictors of CSAI discontinuation are poorly known. Data from consecutive advanced Parkinson's disease patients treated in routine care were retrospectively collected over 24 months after CSAI initiation, with a focus on the 39-item Parkinson's disease questionnaire (PDQ-39). We determined predictors of CSAI discontinuation and HRQoL improvement using multiple regression analysis. Of the 110 subjects evaluated over a 2-year period, 35% discontinued CSAI. Of those who continued treatment, HRQoL remained stable with a sustained reduction in motor fluctuations. The observed effect on dyskinesias was mild and transient. Of note, patients with preexisting impulse control disorders showed an overall good tolerability. PDQ-39 was the only baseline predictor of HRQoL improvement after 2 years of treatment. The presence of dyskinesias, poorer psychological status, shorter disease duration, male sex, and worse OFF state were predictors of discontinuation. Best candidates for CSAI are patients with: (i) poor baseline HRQoL and (ii) marked motor fluctuations.
持续皮下注射阿扑吗啡(CSAI)对健康相关生活质量(HRQoL)的长期影响以及CSAI停药的预测因素尚不清楚。回顾性收集了在常规护理中接受治疗的连续性晚期帕金森病患者在CSAI开始后24个月的数据,重点关注39项帕金森病问卷(PDQ-39)。我们使用多元回归分析确定了CSAI停药和HRQoL改善的预测因素。在2年期间评估的110名受试者中,35%停止了CSAI治疗。在继续治疗的患者中,HRQoL保持稳定,运动波动持续减少。观察到的对异动症的影响轻微且短暂。值得注意的是,既往有冲动控制障碍的患者总体耐受性良好。PDQ-39是治疗2年后HRQoL改善的唯一基线预测因素。异动症的存在、较差的心理状态、较短的病程、男性以及较差的“关”期状态是停药的预测因素。CSAI的最佳适用患者是:(i)基线HRQoL较差和(ii)有明显运动波动的患者。