Suppr超能文献

利用连续极限理解进化与生态动力学。

Understanding evolutionary and ecological dynamics using a continuum limit.

作者信息

Czuppon Peter, Traulsen Arne

机构信息

Institute of Ecology and Environmental Sciences Paris UPEC CNRS IRD INRA Sorbonne Université Paris France.

Centre Interdisciplinaire de Recherche en Biologie CNRS Collège de France PSL Research University Paris France.

出版信息

Ecol Evol. 2021 May 1;11(11):5857-5873. doi: 10.1002/ece3.7205. eCollection 2021 Jun.

Abstract

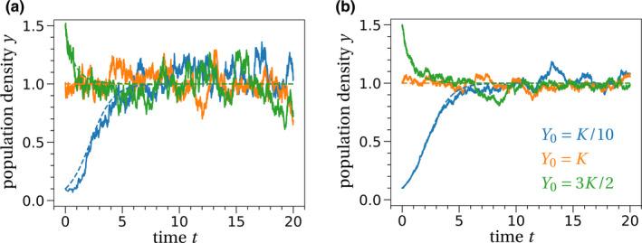
Continuum limits in the form of stochastic differential equations are typically used in theoretical population genetics to account for genetic drift or more generally, inherent randomness of the model. In evolutionary game theory and theoretical ecology, however, this method is used less frequently to study demographic stochasticity. Here, we review the use of continuum limits in ecology and evolution. Starting with an individual-based model, we derive a large population size limit, a (stochastic) differential equation which is called continuum limit. By example of the Wright-Fisher diffusion, we outline how to compute the stationary distribution, the fixation probability of a certain type, and the mean extinction time using the continuum limit. In the context of the logistic growth equation, we approximate the quasi-stationary distribution in a finite population.

摘要

以随机微分方程形式表示的连续统极限通常在理论群体遗传学中用于解释遗传漂变,或者更一般地说,用于解释模型固有的随机性。然而,在进化博弈论和理论生态学中,这种方法较少用于研究人口统计学随机性。在这里,我们回顾连续统极限在生态学和进化中的应用。从一个基于个体的模型出发,我们推导出一个大种群规模极限,即一个(随机)微分方程,它被称为连续统极限。通过赖特 - 费希尔扩散的例子,我们概述了如何使用连续统极限来计算平稳分布、某一类型的固定概率以及平均灭绝时间。在逻辑斯谛增长方程的背景下,我们近似有限种群中的准平稳分布。

https://cdn.ncbi.nlm.nih.gov/pmc/blobs/b92d/8207364/29a23dd1d554/ECE3-11-5857-g004.jpg

文献AI研究员

20分钟写一篇综述,助力文献阅读效率提升50倍。

立即体验

用中文搜PubMed

大模型驱动的PubMed中文搜索引擎

马上搜索

文档翻译

学术文献翻译模型,支持多种主流文档格式。

立即体验