Itoh Keiji, Ossipova Olga, Sokol Sergei Y
Department of Cell, Developmental and Regenerative Biology, Icahn School of Medicine at Mount Sinai, New York, USA.
iScience. 2021 May 7;24(6):102520. doi: 10.1016/j.isci.2021.102520. eCollection 2021 Jun 25.
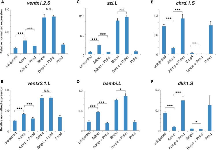
Dorsoventral patterning of a vertebrate embryo critically depends on the activity of Smad1 that mediates signaling by BMP proteins, anti-dorsalizing morphogenetic protein (Admp), and their antagonists. Pinhead (Pnhd), a cystine-knot-containing secreted protein, is expressed in the ventrolateral mesoderm during gastrulation; however, its molecular targets and signaling mechanisms have not been fully elucidated. Our mass spectrometry-based screen of the gastrula identified Admp as Pnhd-associated protein. We show that Pnhd binds Admp and inhibits its ventralizing activity by reducing Smad1 phosphorylation and its transcriptional targets. Importantly, Pnhd depletion further increased phospho-Smad1 levels in the presence of Admp. Furthermore, Pnhd synergized with Chordin and a truncated BMP4 receptor in the induction of notochord markers in ectoderm cells, and Pnhd-depleted embryos displayed notochord defects. Our findings suggest that Pnhd binds and inactivates Admp to promote notochord development. We propose that the interaction between Admp and Pnhd refines Smad1 activity gradients during vertebrate gastrulation.
脊椎动物胚胎的背腹模式形成关键取决于Smad1的活性,Smad1介导骨形态发生蛋白(BMP)、抗背化形态发生蛋白(Admp)及其拮抗剂的信号传导。Pinhead(Pnhd)是一种含胱氨酸结的分泌蛋白,在原肠胚形成过程中表达于腹外侧中胚层;然而,其分子靶点和信号传导机制尚未完全阐明。我们基于质谱对原肠胚进行的筛选鉴定出Admp为与Pnhd相关的蛋白。我们发现Pnhd与Admp结合,并通过降低Smad1磷酸化及其转录靶点来抑制其腹化活性。重要的是,在存在Admp的情况下,Pnhd缺失进一步增加了磷酸化Smad1的水平。此外,Pnhd与Chordin和截短的BMP4受体协同作用,诱导外胚层细胞中脊索标记物的产生,并且Pnhd缺失的胚胎表现出脊索缺陷。我们的研究结果表明,Pnhd结合并使Admp失活以促进脊索发育。我们提出,Admp与Pnhd之间的相互作用在脊椎动物原肠胚形成过程中优化了Smad1活性梯度。