Brand Alexander, Schulz Stephen, Hepp Alexander, Weigand Jan J, Uhl Werner
Institut für Anorganische und Analytische Chemie der Universität Münster Corrensstraße 30 D-48149 Münster Germany
Anorganische Molekülchemie, Fakultät für Chemie und Lebensmittelchemie, Technische-Universität Dresden D-01069 Dresden Germany
Chem Sci. 2021 Jan 18;12(10):3460-3474. doi: 10.1039/d0sc06155g.
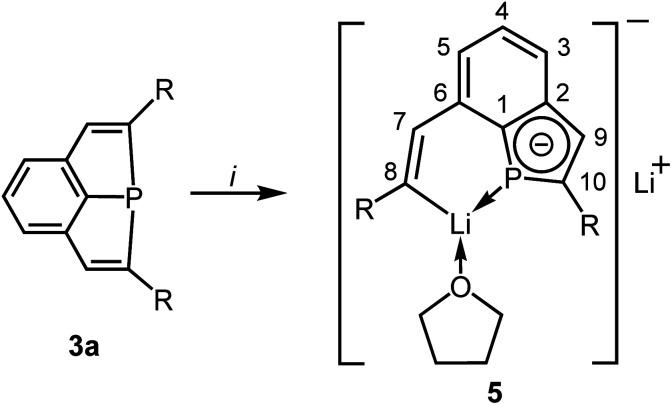
The redox behaviour of sterically constrained tricyclic phosphine was investigated by spectroelectrochemistry. The data suggested a highly negative reduction potential with the reversible formation of a dianionic species. Accordingly, reacted with two equivalents of Li/naphthalene by reductive cleavage of a P-C bond of one of the PC heterocycles. The resulting dilithium compound represents a phosphaindole derivative with annulated aromatic C and PC rings. It is an interesting starting material for the synthesis of new heterocyclic molecules, as was shown by treatment with MeSiCl and PhPCl. The structures of the products ( and ) formally reflect ring expansion by insertion of silylen or phosphinidene fragments into a P-C bond of . Treatment of with HO did not result in the usually observed transfer of a single O atom to phosphorus, but oxidative cleavage of a strained PC ring afforded a bicyclic phosphinic acid, RPOH.
通过光谱电化学研究了空间受限的三环膦的氧化还原行为。数据表明其还原电位非常负,且可逆地形成双阴离子物种。因此,通过其中一个PC杂环的P-C键的还原裂解,与两当量的Li/萘反应。所得的二锂化合物代表具有稠合芳族C环和PC环的磷吲哚衍生物。如用MeSiCl和PhPCl处理所示,它是合成新杂环分子的有趣起始原料。产物(和)的结构正式反映了通过将硅烯或磷烯片段插入的P-C键中而进行的环扩展。用HO处理并没有导致通常观察到的单个O原子转移到磷上,但是通过氧化裂解一个应变的PC环得到了双环次膦酸,RPOH。