• 文献检索
  • 文档翻译
  • 深度研究
  • 学术资讯
  • Suppr Zotero 插件Zotero 插件
  • 邀请有礼
  • 套餐&价格
  • 历史记录
应用&插件
Suppr Zotero 插件Zotero 插件浏览器插件Mac 客户端Windows 客户端微信小程序
定价
高级版会员购买积分包购买API积分包
服务
文献检索文档翻译深度研究API 文档MCP 服务
关于我们
关于 Suppr公司介绍联系我们用户协议隐私条款
关注我们

Suppr 超能文献

核心技术专利:CN118964589B侵权必究
粤ICP备2023148730 号-1Suppr @ 2026

文献检索

告别复杂PubMed语法,用中文像聊天一样搜索,搜遍4000万医学文献。AI智能推荐,让科研检索更轻松。

立即免费搜索

文件翻译

保留排版,准确专业,支持PDF/Word/PPT等文件格式,支持 12+语言互译。

免费翻译文档

深度研究

AI帮你快速写综述,25分钟生成高质量综述,智能提取关键信息,辅助科研写作。

立即免费体验

含层理结构煤的动态断裂力学与能量分配率响应特性

Dynamic fracture mechanics and energy distribution rate response characteristics of coal containing bedding structure.

机构信息

School of Energy Science and Engineering, Henan Polytechnic University, Jiaozuo, China.

Henan Key Laboratory for Green and Efficient Mining & Comprehensive Utilization of Mineral Resources, Jiaozuo, China.

出版信息

PLoS One. 2021 Jun 24;16(6):e0247908. doi: 10.1371/journal.pone.0247908. eCollection 2021.

DOI:10.1371/journal.pone.0247908
PMID:34166380
原文链接:https://pmc.ncbi.nlm.nih.gov/articles/PMC8224884/
Abstract

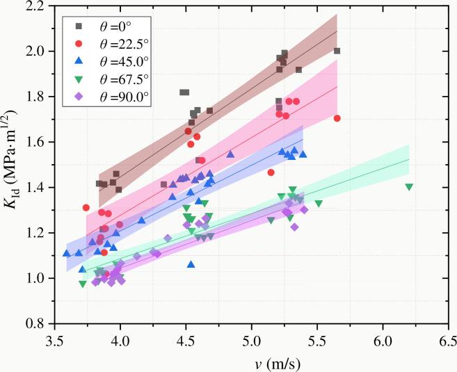
To investigate the influence of bedding structure and different loading rates on the dynamic fracture characteristics and energy dissipation of Datong coal, a split Hopkinson bar was used to obtain the fracture characteristics of coal samples with different bedding angles. The process of crack initiation and propagation in Datong coal was recorded by the high-speed camera. The formula for the model I fracture toughness of the transversely isotropic material is obtained on the basis of the finite element method (FEM) together with the J-integral. By comparing the incident energy, absorbed energy, fracture energy and residual kinetic energy of Datong coal samples under various impact speeds, the energy dissipation characteristics during the dynamic fracture process of coal considering the bedding structure is acquired. The experimental results indicate that the fracture pattern of notched semi-circular bending (NSCB) Datong coal is tensile failure. After splitting into two parts, the coal sample rotates approximately uniformly around the contact point between the sample and the incident rod. The dynamic fracture toughness is 3.52~8.64 times of the quasi-static fracture toughness for Datong coal. Dynamic fracture toughness increases with increasing impact velocity, and the effect of bedding angle on fracture toughness then decreases. In addition, the residual kinetic energy of coal samples with the same bedding angle increases with the increase of impact speed. The energy utilization rate decreases continuously, and the overall dispersion of statistical data decreases gradually. In rock fragmentation engineering, the optimum loading condition is low-speed loading regardless of energy utilization efficiency or fracture toughness. These conclusions may have significant implications for the optimization of hydraulic fracturing process in coal mass and the further understanding of crack propagation mechanisms in coalbed methane extraction (CME). The anisotropic effect of coal should be fully considered in both these cases.

摘要

为了研究层理结构和不同加载速率对大同煤动态断裂特性和能量耗散的影响,采用分离式 Hopkinson 压杆(SHPB)获得了不同层理角度的煤样断裂特性。利用高速摄像机记录了大同煤裂纹起裂和扩展过程。基于有限元法(FEM)和 J 积分,获得了横观各向同性材料模型 I 断裂韧性的计算公式。通过比较不同冲击速度下大同煤样的入射能、吸收能、断裂能和残余动能,获得了考虑层理结构的煤动态断裂过程的能量耗散特性。实验结果表明,带有切口的半圆形弯曲(NSCB)大同煤的断裂模式为拉伸破坏。在分裂成两部分后,煤样大约以均匀的方式围绕着样条与入射杆之间的接触点旋转。大同煤的动态断裂韧性是准静态断裂韧性的 3.52~8.64 倍。动态断裂韧性随冲击速度的增加而增加,而层理角度对断裂韧性的影响则减小。此外,具有相同层理角度的煤样的残余动能随冲击速度的增加而增加。能量利用率不断下降,统计数据的整体分散度逐渐减小。在岩石破碎工程中,无论能量利用率还是断裂韧性,最佳加载条件都是低速加载。这些结论对于优化煤层水力压裂过程和进一步理解煤层甲烷开采(CME)中的裂纹扩展机制具有重要意义。在这两种情况下,都应充分考虑煤的各向异性效应。

https://cdn.ncbi.nlm.nih.gov/pmc/blobs/cb3b/8224884/bc8c40c67427/pone.0247908.g013.jpg
https://cdn.ncbi.nlm.nih.gov/pmc/blobs/cb3b/8224884/eb272eb7e3c9/pone.0247908.g001.jpg
https://cdn.ncbi.nlm.nih.gov/pmc/blobs/cb3b/8224884/eaa051faf724/pone.0247908.g002.jpg
https://cdn.ncbi.nlm.nih.gov/pmc/blobs/cb3b/8224884/40010b551298/pone.0247908.g003.jpg
https://cdn.ncbi.nlm.nih.gov/pmc/blobs/cb3b/8224884/fc2dba574af3/pone.0247908.g004.jpg
https://cdn.ncbi.nlm.nih.gov/pmc/blobs/cb3b/8224884/ef61cdd050e1/pone.0247908.g005.jpg
https://cdn.ncbi.nlm.nih.gov/pmc/blobs/cb3b/8224884/3767d3e7cef6/pone.0247908.g006.jpg
https://cdn.ncbi.nlm.nih.gov/pmc/blobs/cb3b/8224884/756663f904d3/pone.0247908.g007.jpg
https://cdn.ncbi.nlm.nih.gov/pmc/blobs/cb3b/8224884/8de734f2f6eb/pone.0247908.g008.jpg
https://cdn.ncbi.nlm.nih.gov/pmc/blobs/cb3b/8224884/aa823402221f/pone.0247908.g009.jpg
https://cdn.ncbi.nlm.nih.gov/pmc/blobs/cb3b/8224884/8c41b0c96c7f/pone.0247908.g010.jpg
https://cdn.ncbi.nlm.nih.gov/pmc/blobs/cb3b/8224884/2fc7dc5ce1bc/pone.0247908.g011.jpg
https://cdn.ncbi.nlm.nih.gov/pmc/blobs/cb3b/8224884/b67b473111f9/pone.0247908.g012.jpg
https://cdn.ncbi.nlm.nih.gov/pmc/blobs/cb3b/8224884/bc8c40c67427/pone.0247908.g013.jpg
https://cdn.ncbi.nlm.nih.gov/pmc/blobs/cb3b/8224884/eb272eb7e3c9/pone.0247908.g001.jpg
https://cdn.ncbi.nlm.nih.gov/pmc/blobs/cb3b/8224884/eaa051faf724/pone.0247908.g002.jpg
https://cdn.ncbi.nlm.nih.gov/pmc/blobs/cb3b/8224884/40010b551298/pone.0247908.g003.jpg
https://cdn.ncbi.nlm.nih.gov/pmc/blobs/cb3b/8224884/fc2dba574af3/pone.0247908.g004.jpg
https://cdn.ncbi.nlm.nih.gov/pmc/blobs/cb3b/8224884/ef61cdd050e1/pone.0247908.g005.jpg
https://cdn.ncbi.nlm.nih.gov/pmc/blobs/cb3b/8224884/3767d3e7cef6/pone.0247908.g006.jpg
https://cdn.ncbi.nlm.nih.gov/pmc/blobs/cb3b/8224884/756663f904d3/pone.0247908.g007.jpg
https://cdn.ncbi.nlm.nih.gov/pmc/blobs/cb3b/8224884/8de734f2f6eb/pone.0247908.g008.jpg
https://cdn.ncbi.nlm.nih.gov/pmc/blobs/cb3b/8224884/aa823402221f/pone.0247908.g009.jpg
https://cdn.ncbi.nlm.nih.gov/pmc/blobs/cb3b/8224884/8c41b0c96c7f/pone.0247908.g010.jpg
https://cdn.ncbi.nlm.nih.gov/pmc/blobs/cb3b/8224884/2fc7dc5ce1bc/pone.0247908.g011.jpg
https://cdn.ncbi.nlm.nih.gov/pmc/blobs/cb3b/8224884/b67b473111f9/pone.0247908.g012.jpg
https://cdn.ncbi.nlm.nih.gov/pmc/blobs/cb3b/8224884/bc8c40c67427/pone.0247908.g013.jpg

相似文献

1
Dynamic fracture mechanics and energy distribution rate response characteristics of coal containing bedding structure.含层理结构煤的动态断裂力学与能量分配率响应特性
PLoS One. 2021 Jun 24;16(6):e0247908. doi: 10.1371/journal.pone.0247908. eCollection 2021.
2
Experimental Study on the Dynamic Tensile Characteristics of Coal Samples.煤样动态拉伸特性的试验研究
ACS Omega. 2023 Feb 6;8(6):5506-5521. doi: 10.1021/acsomega.2c06760. eCollection 2023 Feb 14.
3
Study on Mechanical Properties and Crack Propagation of Raw Coal with Different Bedding Angles based on CT Scanning.基于CT扫描的不同层理角度原煤力学特性及裂纹扩展研究
ACS Omega. 2022 Jul 29;7(31):27185-27195. doi: 10.1021/acsomega.2c01757. eCollection 2022 Aug 9.
4
Experimental analysis of multiple factors on hydraulic fracturing in coalbed methane reservoirs.对煤层气储层水力压裂中多种因素的实验分析。
PLoS One. 2018 Apr 5;13(4):e0195363. doi: 10.1371/journal.pone.0195363. eCollection 2018.
5
Dynamic mechanical properties of structural anisotropic coal under low and medium strain rates.结构各向异性煤在低、中应变率下的动态力学特性。
PLoS One. 2020 Aug 12;15(8):e0236802. doi: 10.1371/journal.pone.0236802. eCollection 2020.
6
Characteristics of transient charge on Datong coal sample surfaces with different cracking propagation.不同破裂扩展阶段下大同煤样表面瞬态电荷特征
PLoS One. 2020 Mar 9;15(3):e0229824. doi: 10.1371/journal.pone.0229824. eCollection 2020.
7
An Anisotropic Peridynamic Model for Simulating Crack Propagation in Isotropic and Anisotropic Rocks.一种用于模拟各向同性和各向异性岩石中裂纹扩展的各向异性非局部连续介质力学模型。
Materials (Basel). 2023 Dec 12;16(24):7604. doi: 10.3390/ma16247604.
8
Optimal layout of blasting holes in structural anisotropic coal seam.结构各向异性煤层爆破孔的最优布置
PLoS One. 2019 Jun 18;14(6):e0218105. doi: 10.1371/journal.pone.0218105. eCollection 2019.
9
Experimental Study on Hydraulic Fracturing of Bedding Shale Considering Anisotropy Effects.考虑各向异性效应的层状页岩水力压裂实验研究
ACS Omega. 2022 Jun 22;7(26):22698-22713. doi: 10.1021/acsomega.2c02157. eCollection 2022 Jul 5.
10
New Method for Determining Mode-I Static Fracture Toughness of Coal Using Particles.使用颗粒测定煤的I型静态断裂韧性的新方法
Materials (Basel). 2024 Apr 11;17(8):1765. doi: 10.3390/ma17081765.