Suppr超能文献

-烷烃客体在超分子配合物中结合的自由能景观的演变。

Evolution of the Free Energy Landscapes of -Alkane Guests Bound within Supramolecular Complexes.

机构信息

Department of Chemical and Biomolecular Engineering, Tulane University, New Orleans, Louisiana 70118, United States.

Department of Chemistry, Tulane University, New Orleans, Louisiana 70118, United States.

出版信息

J Phys Chem B. 2021 Jul 8;125(26):7299-7310. doi: 10.1021/acs.jpcb.1c03640. Epub 2021 Jun 25.

Abstract

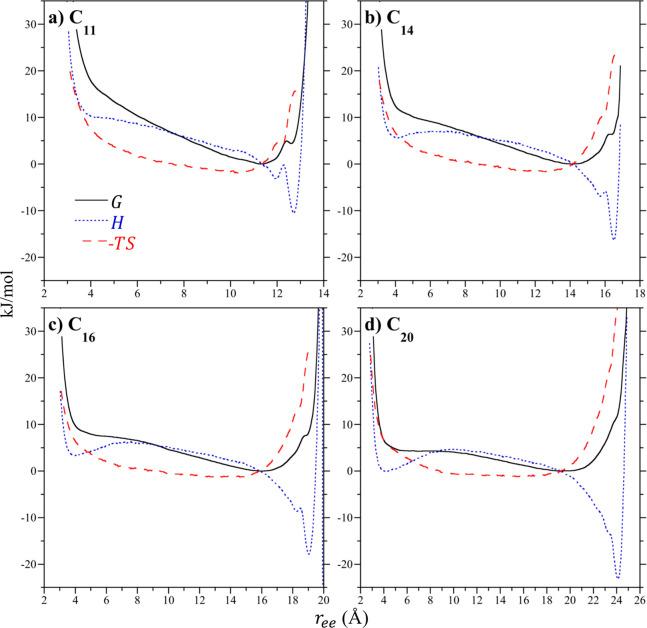
Confinement within nanoscale spaces can dramatically alter the ensemble of conformations flexible species explore. For example, chaperone complexes take advantage of confinement to fold misfolded proteins, while viral capsids transport genomic materials in tight packings. Here we examine the free energy landscapes of -alkanes confined within supramolecular dimeric complexes of deep-cavity cavitand octa-acid, which have been experimentally demonstrated to force these chains with increasing length to adopt , , , and conformational motifs, using molecular simulations. Alkanes up to -docosane in both vacuum and water predominantly exhibit a free energy minimum for elongated conformations with a majority of dihedrals. Within harmonically sealed cavitand dimers, however, the free energy landscapes as a function of the end-to-end distance between their terminal methyl units exhibit minima that evolve with the length of the alkane. Distinct free energy basins are observed between the and motifs and between the and motifs whose relative stability changes with the number of carbons in the bound guest. These changes are reminiscent of two state-like protein folding, although the observed alkane conformations confined are more insensitive to temperature perturbation than proteins are. While the motif within the harmonically sealed dimers has not been observed experimentally, this conformation relaxes to the observed motif once the harmonic restraints are released for the complexes in aqueous solution, indicating that these motifs are related to one another. We do not observe distinct minima between the confined and motifs, suggesting these conformers are part of a larger motif family whose population of dihedral angles grows in proportion to the number of carbons in the chain to ultimately form a helix that fits the alkane within the complex.

摘要

在纳米尺度的空间内限制,可以显著改变柔性物种探索的构象整体。例如,伴侣复合物利用限制来折叠错误折叠的蛋白质,而病毒衣壳则在紧密包装中运输基因组物质。在这里,我们使用分子模拟研究了 -链烷烃在超分子二聚体复合物中的自由能景观,该复合物已通过实验证明可以迫使这些链随着长度的增加而采用 、 、 和 构象模式。在真空和水中,直至 -二十二烷的烷烃主要表现出具有大多数 二面角的拉长构象的自由能最小值。然而,在谐和密封的 Cavitand 二聚体中,作为其末端甲基单元之间的末端到末端距离的函数的自由能景观表现出最小值,其随烷烃的长度而演变。在 和 之间以及在 和 之间观察到明显的自由能基,其相对稳定性随结合客体中的碳原子数而变化。这些变化使人联想到类似于两种状态的蛋白质折叠,尽管观察到的受限烷烃构象对温度扰动的敏感性不如蛋白质那么敏感。虽然实验上尚未观察到谐和密封二聚体中的 构象,但一旦释放复合物在水溶液中的谐和约束,该构象就会松弛到观察到的 构象,表明这些构象彼此相关。我们在受限 和 之间没有观察到明显的最小值,这表明这些构象是更大的 构象家族的一部分,其 二面角的数量与链中的碳原子数成正比,最终形成适合复合物内烷烃的螺旋。

https://cdn.ncbi.nlm.nih.gov/pmc/blobs/fd81/8279555/f6996415041f/jp1c03640_0001.jpg

文献AI研究员

20分钟写一篇综述,助力文献阅读效率提升50倍。

立即体验

用中文搜PubMed

大模型驱动的PubMed中文搜索引擎

马上搜索

文档翻译

学术文献翻译模型,支持多种主流文档格式。

立即体验