Suppr超能文献

男性不育症的回顾性单中心临床研究:两种使用促卵泡激素的不同治疗方案的比较

Retrospective Monocentric Clinical Study on Male Infertility: Comparison between Two Different Therapeutic Schemes Using Follicle-Stimulating Hormone.

作者信息

Condorelli Rosita A, Cannarella Rossella, Crafa Andrea, Barbagallo Federica, Mongioì Laura M, Aversa Antonio, Greco Emanuela, Calogero Aldo E, La Vignera Sandro

机构信息

Department of Clinical and Experimental Medicine, University of Catania, 95123 Catania, Italy.

Department of Experimental and Clinical Medicine, University Magna Graecia of Catanzaro, 88100 Catanzaro, Italy.

出版信息

J Clin Med. 2021 Jun 17;10(12):2665. doi: 10.3390/jcm10122665.

Abstract

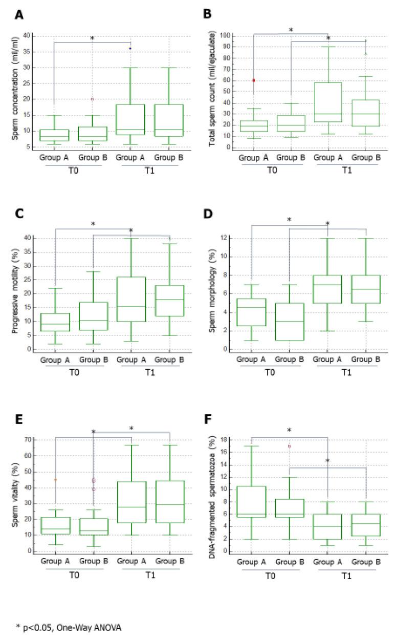
Follicle-stimulating hormone (FSH) is a therapeutic option in patients with idiopathic oligozoospermia and normal FSH serum levels. However, few studies have evaluated which dose of FSH is more effective. The aim of this study was to compare the clinical efficacy of the two most frequently used FSH treatment regimens: 75 IU daily vs. 150 IU three times a week. Patients were retrospectively assigned to two groups. The first group ( = 24) was prescribed highly purified FSH (hpFSH) 75 IU/daily (Group A), and the second group ( = 24) was prescribed hpFSH 150 IU three times a week (Group B) for three months. Before and after treatment, each patient underwent semen analysis, evaluation of the percentage of DNA-fragmented spermatozoa, assessment of testicular volume (by ultrasonography), and measurement of FSH and total testosterone (TT) serum levels. Treatment with hpFSH significantly improved conventional sperm parameters. In detail, sperm concentration increased significantly after treatment only in Group A, whereas total sperm count, percentage of spermatozoa with progressive motility, normal morphology, or alive improved significantly in both groups. Interestingly, the percentage of sperm DNA fragmentation decreased significantly in both groups after treatment with hpFSH. FSH serum levels were expectably higher at the end of the treatment than before hpFSH was administered to both groups. Remarkably, TT serum levels only increased significantly in Group A. Finally, testicular volume was significantly higher in Group A after treatment, while it did not change significantly compared to baseline in Group B. The percentage of FSH responders did not differ significantly between the two groups (8/24 vs. 6/24). The daily administration of hpFSH 75 IU seems more effective than using 150 IU three times a week. However, this therapeutic scheme implies a higher number of injections and slightly higher costs.

摘要

促卵泡生成素(FSH)是特发性少精子症且血清FSH水平正常患者的一种治疗选择。然而,很少有研究评估哪种剂量的FSH更有效。本研究的目的是比较两种最常用的FSH治疗方案的临床疗效:每日75 IU与每周三次150 IU。患者被回顾性地分为两组。第一组(n = 24)每天服用高纯度FSH(hpFSH)75 IU(A组),第二组(n = 24)每周三次服用hpFSH 150 IU(B组),为期三个月。治疗前后,每位患者均接受精液分析、评估DNA碎片化精子的百分比、评估睾丸体积(通过超声检查)以及测量FSH和总睾酮(TT)的血清水平。使用hpFSH治疗显著改善了传统的精子参数。具体而言,仅A组治疗后精子浓度显著增加,而两组的总精子数、具有前向运动能力的精子百分比、正常形态或存活精子百分比均显著改善。有趣的是,两组使用hpFSH治疗后精子DNA碎片化百分比均显著降低。两组治疗结束时FSH血清水平均高于服用hpFSH之前。值得注意的是,仅A组TT血清水平显著升高。最后,治疗后A组睾丸体积显著增大,而B组与基线相比无显著变化。两组之间FSH反应者的百分比无显著差异(8/24 vs. 6/24)。每天服用75 IU hpFSH似乎比每周三次使用150 IU更有效。然而,这种治疗方案意味着注射次数更多且成本略高。

https://cdn.ncbi.nlm.nih.gov/pmc/blobs/f1d4/8233778/059a8cf185e7/jcm-10-02665-g001.jpg

文献AI研究员

20分钟写一篇综述,助力文献阅读效率提升50倍。

立即体验

用中文搜PubMed

大模型驱动的PubMed中文搜索引擎

马上搜索

文档翻译

学术文献翻译模型,支持多种主流文档格式。

立即体验