Suppr超能文献

通过数据驱动的机器学习模型来表征牵引-分离关系和界面缺陷。

Characterize traction-separation relation and interfacial imperfections by data-driven machine learning models.

作者信息

Ferdousi Sanjida, Chen Qiyi, Soltani Mehrzad, Zhu Jiadeng, Cao Pengfei, Choi Wonbong, Advincula Rigoberto, Jiang Yijie

机构信息

Department of Mechanical Engineering, University of North Texas, Denton, TX, 76207, USA.

Center for Nanophase Materials and Sciences, Oak Ridge National Laboratory, Oak Ridge, TN, 37830, USA.

出版信息

Sci Rep. 2021 Jul 12;11(1):14330. doi: 10.1038/s41598-021-93852-y.

Abstract

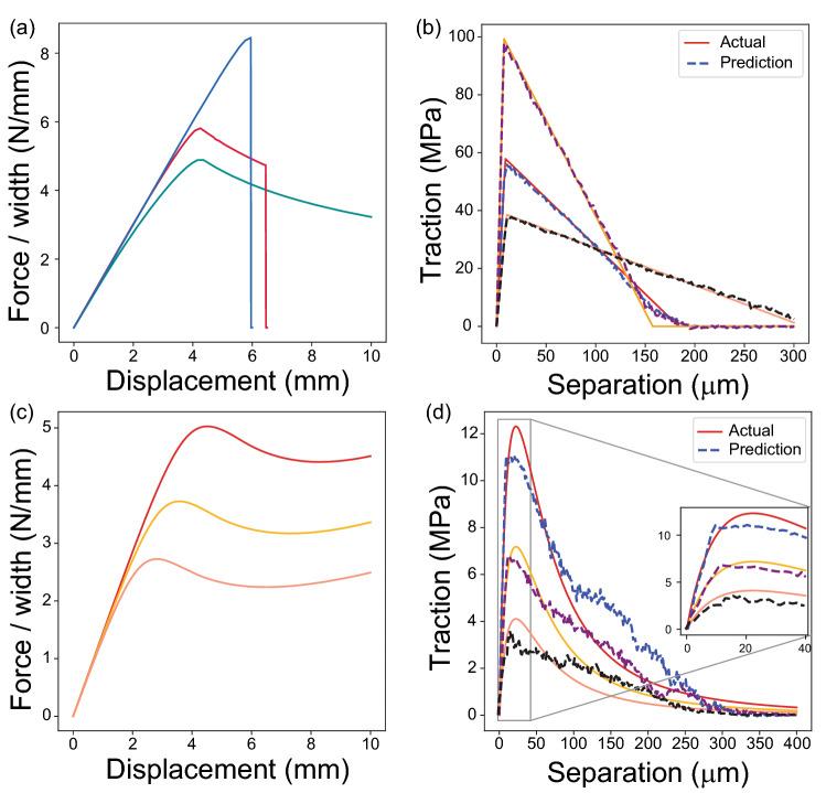
Interfacial mechanical properties are important in composite materials and their applications, including vehicle structures, soft robotics, and aerospace. Determination of traction-separation (T-S) relations at interfaces in composites can lead to evaluations of structural reliability, mechanical robustness, and failures criteria. Accurate measurements on T-S relations remain challenging, since the interface interaction generally happens at microscale. With the emergence of machine learning (ML), data-driven model becomes an efficient method to predict the interfacial behaviors of composite materials and establish their mechanical models. Here, we combine ML, finite element analysis (FEA), and empirical experiments to develop data-driven models that characterize interfacial mechanical properties precisely. Specifically, eXtreme Gradient Boosting (XGBoost) multi-output regressions and classifier models are harnessed to investigate T-S relations and identify the imperfection locations at interface, respectively. The ML models are trained by macroscale force-displacement curves, which can be obtained from FEA and standard mechanical tests. The results show accurate predictions of T-S relations (R = 0.988) and identification of imperfection locations with 81% accuracy. Our models are experimentally validated by 3D printed double cantilever beam specimens from different materials. Furthermore, we provide a code package containing trained ML models, allowing other researchers to establish T-S relations for different material interfaces.

摘要

界面力学性能在复合材料及其应用中至关重要,这些应用包括车辆结构、软体机器人技术和航空航天领域。确定复合材料界面处的牵引-分离(T-S)关系有助于评估结构可靠性、机械稳健性和失效准则。由于界面相互作用通常发生在微观尺度,因此对T-S关系进行精确测量仍然具有挑战性。随着机器学习(ML)的出现,数据驱动模型成为预测复合材料界面行为并建立其力学模型的有效方法。在此,我们将机器学习、有限元分析(FEA)和实证实验相结合,以开发能够精确表征界面力学性能的数据驱动模型。具体而言,我们利用极端梯度提升(XGBoost)多输出回归模型和分类器模型分别研究T-S关系并识别界面处的缺陷位置。这些机器学习模型通过宏观尺度的力-位移曲线进行训练,这些曲线可从有限元分析和标准力学测试中获得。结果表明,模型对T-S关系的预测准确率高达98.8%,对缺陷位置的识别准确率为81%。我们的模型通过不同材料的3D打印双悬臂梁试样进行了实验验证。此外,我们提供了一个包含经过训练的机器学习模型的代码包,使其他研究人员能够为不同的材料界面建立T-S关系。

https://cdn.ncbi.nlm.nih.gov/pmc/blobs/00b1/8275573/ca3c6a19f3d2/41598_2021_93852_Fig1_HTML.jpg

文献AI研究员

20分钟写一篇综述,助力文献阅读效率提升50倍。

立即体验

用中文搜PubMed

大模型驱动的PubMed中文搜索引擎

马上搜索

文档翻译

学术文献翻译模型,支持多种主流文档格式。

立即体验