Suppr超能文献

通过桑格测序和 MLPA 的拷贝数改变分析对 IDH 野生型低级别星形细胞瘤进行预后分层。

Prognostic stratification for IDH-wild-type lower-grade astrocytoma by Sanger sequencing and copy-number alteration analysis with MLPA.

机构信息

Department of Neurosurgery, Kyoto University Graduate School of Medicine, Kyoto, 606-8507, Japan.

Department of Biomedical Research and Innovation, Institute for Clinical Research, National Hospital Organization Osaka National Hospital, Osaka, 540-0006, Japan.

出版信息

Sci Rep. 2021 Jul 13;11(1):14408. doi: 10.1038/s41598-021-93937-8.

Abstract

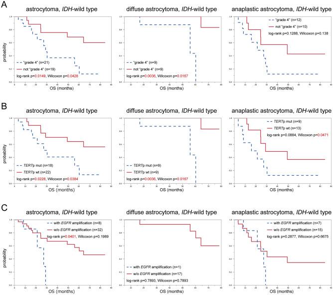
The characteristics of IDH-wild-type lower-grade astrocytoma remain unclear. According to cIMPACT-NOW update 3, IDH-wild-type astrocytomas with any of the following factors show poor prognosis: combination of chromosome 7 gain and 10 loss (+ 7/- 10), and/or EGFR amplification, and/or TERT promoter (TERTp) mutation. Multiplex ligation-dependent probe amplification (MLPA) can detect copy number alterations at reasonable cost. The purpose of this study was to identify a precise, cost-effective method for stratifying the prognosis of IDH-wild-type astrocytoma. Sanger sequencing, MLPA, and quantitative methylation-specific PCR were performed for 42 IDH-wild-type lower-grade astrocytomas surgically treated at Kyoto University Hospital, and overall survival was analysed for 40 patients who underwent first surgery. Of the 42 IDH-wild-type astrocytomas, 21 were classified as grade 4 using cIMPACT-NOW update 3 criteria and all had either TERTp mutation or EGFR amplification. Kaplan-Meier analysis confirmed the prognostic significance of cIMPACT-NOW criteria, and World Health Organization grade was also prognostic. Cox regression hazard model identified independent significant prognostic indicators of PTEN loss (risk ratio, 9.75; p < 0.001) and PDGFRA amplification (risk ratio, 13.9; p = 0.002). The classification recommended by cIMPACT-NOW update 3 could be completed using Sanger sequencing and MLPA. Survival analysis revealed PTEN and PDGFRA were significant prognostic factors for IDH-wild-type lower-grade astrocytoma.

摘要

IDH 野生型低级别星形细胞瘤的特征尚不清楚。根据 cIMPACT-NOW 更新 3,具有以下任何因素的 IDH 野生型星形细胞瘤预后不良:染色体 7 获得和 10 缺失的组合(+7/-10),和/或 EGFR 扩增,和/或 TERT 启动子(TERTp)突变。多重连接依赖性探针扩增(MLPA)可以以合理的成本检测拷贝数改变。本研究旨在确定一种精确、经济有效的方法来分层 IDH 野生型星形细胞瘤的预后。对京都大学医院手术治疗的 42 例 IDH 野生型低级别星形细胞瘤进行 Sanger 测序、MLPA 和定量甲基化特异性 PCR,对 40 例接受首次手术的患者进行总生存分析。在 42 例 IDH 野生型星形细胞瘤中,根据 cIMPACT-NOW 更新 3 标准,21 例被归类为 4 级,均有 TERTp 突变或 EGFR 扩增。Kaplan-Meier 分析证实了 cIMPACT-NOW 标准的预后意义,世界卫生组织(WHO)分级也是预后因素。Cox 回归风险模型确定了 PTEN 缺失(风险比,9.75;p<0.001)和 PDGFRA 扩增(风险比,13.9;p=0.002)是独立的显著预后指标。cIMPACT-NOW 更新 3 推荐的分类可以通过 Sanger 测序和 MLPA 完成。生存分析显示,PTEN 和 PDGFRA 是 IDH 野生型低级别星形细胞瘤的显著预后因素。

https://cdn.ncbi.nlm.nih.gov/pmc/blobs/76b7/8277860/2e2eee680ca9/41598_2021_93937_Fig1_HTML.jpg

文献AI研究员

20分钟写一篇综述,助力文献阅读效率提升50倍。

立即体验

用中文搜PubMed

大模型驱动的PubMed中文搜索引擎

马上搜索

文档翻译

学术文献翻译模型,支持多种主流文档格式。

立即体验