Suppr超能文献

间质性肺疾病的风险评估:心肺超声的增量预后价值。

Risk assessment in interstitial lung disease: the incremental prognostic value of cardiopulmonary ultrasound.

机构信息

Department of Echocardiography, Beijing Chao Yang Hospital, Capital Medical University, No. 8 Gongren Tiyuchang Nanlu, Chao Yang District, Beijing, 100020, China.

出版信息

BMC Pulm Med. 2021 Jul 15;21(1):237. doi: 10.1186/s12890-021-01606-3.

Abstract

BACKGROUND

The mortality risk of chronic interstitial lung disease (ILD) is currently assessed using the ILD-GAP score. The present study evaluates whether the addition of cardiopulmonary ultrasound parameters to the ILD-GAP score can further improve the predictive value of ILD-GAP.

METHODS

Medical records from 91 patients with ILD hospitalized from June 2015 to March 2016 were retrospectively examined. The Lung ultrasound (LUS) score, right ventricular (RV) function, and mechanics were obtained from the cardiopulmonary ultrasound. The ILD-GAP score was calculated from demographic characteristics and pulmonary function parameters. Patients were followed up with until May 2020. The primary endpoint was all-cause death.

RESULTS

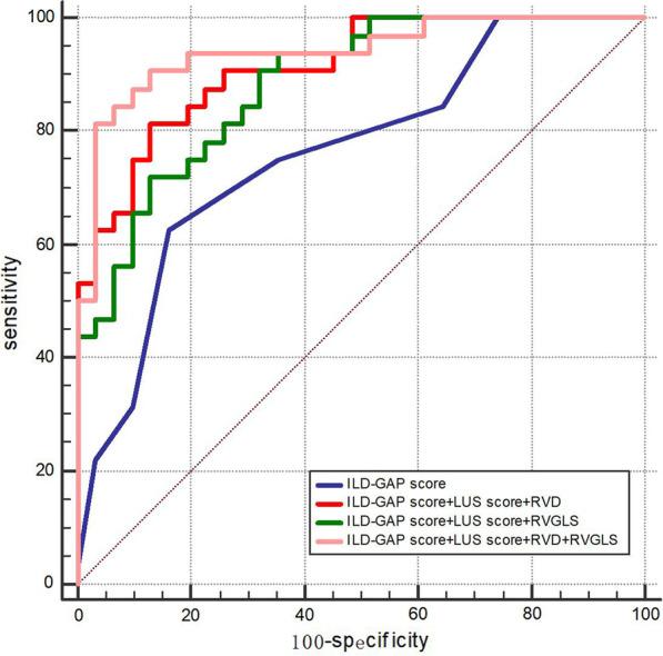
After exclusions, 74 patients with ILD were included in the analysis. During the follow-up period, 36 patients with ILD survived (ILD), and 38 patients died (ILD). Compared to ILD, the ILD cases exhibited a higher number of B-lines, LUS score, and RV end-diastolic base dimension (RVD), but lower RV function. In multivariate analysis, the ILD-GAP score (hazard ratio, 2.88; 95% CI 1.38-5.99, P = 0.005), LUS score (hazard ratio 1.13; 95% CI 1.04-1.24, P = 0.006), and RVD (hazard ratio 1.09, 95% CI 1.03-1.16, P = 0.004) were significantly related to the risk of death. Adding the LUS score and RVD to the ILD-GAP score significantly improved the predictive value compared to the ILD-GAP score alone (C statistics 0.90 vs 0.76, P = 0.018).

CONCLUSION

We investigated the utility of a new prognostic model for ILD that includes both cardiopulmonary ultrasound parameters (LUS score and RVD) and the ILD-GAP score. This model better reflects the severity of pulmonary fibrosis and cardiac involvement, and has incremental predictive value over the ILD-GAP score alone.

摘要

背景

目前,慢性间质性肺疾病(ILD)的死亡率风险是通过ILD-GAP 评分来评估的。本研究旨在评估心肺超声参数的加入是否可以进一步提高ILD-GAP 的预测价值。

方法

回顾性分析了 2015 年 6 月至 2016 年 3 月期间因 ILD 住院的 91 例患者的病历资料。从心肺超声中获得肺部超声(LUS)评分、右心室(RV)功能和力学参数。ILD-GAP 评分是根据人口统计学特征和肺功能参数计算得出的。对患者进行随访,随访至 2020 年 5 月。主要终点为全因死亡。

结果

排除后,共有 74 例 ILD 患者纳入分析。在随访期间,ILD 患者中有 36 例存活(ILD),38 例死亡(ILD)。与 ILD 患者相比,ILD 患者的 B 线数量、LUS 评分和 RV 舒张末期基底部直径(RVD)更高,但 RV 功能更低。多因素分析显示,ILD-GAP 评分(危险比 2.88;95%可信区间 1.38-5.99,P=0.005)、LUS 评分(危险比 1.13;95%可信区间 1.04-1.24,P=0.006)和 RVD(危险比 1.09,95%可信区间 1.03-1.16,P=0.004)与死亡风险显著相关。与单独使用 ILD-GAP 评分相比,将 LUS 评分和 RVD 添加到 ILD-GAP 评分中显著提高了预测价值(C 统计量 0.90 比 0.76,P=0.018)。

结论

我们研究了一种新的 ILD 预后模型,该模型包括心肺超声参数(LUS 评分和 RVD)和 ILD-GAP 评分。该模型更好地反映了肺纤维化和心脏受累的严重程度,并且比单独使用 ILD-GAP 评分具有增量预测价值。

https://cdn.ncbi.nlm.nih.gov/pmc/blobs/2317/8281625/b5b0725a0ac2/12890_2021_1606_Fig1_HTML.jpg

文献AI研究员

20分钟写一篇综述,助力文献阅读效率提升50倍。

立即体验

用中文搜PubMed

大模型驱动的PubMed中文搜索引擎

马上搜索

文档翻译

学术文献翻译模型,支持多种主流文档格式。

立即体验