Vukich John A, Ang Robert E, Straker Benjamin J K, Janakiraman Devi Priya, Smith Pamela J, Batlle Juan F, Waltz Kevin L
Ophthalmic Research Consultants, Indianapolis, IN, USA.
Asian Eye Institute, Makati City, Philippines.
Clin Ophthalmol. 2021 Jul 14;15:3001-3016. doi: 10.2147/OPTH.S309214. eCollection 2021.
To evaluate the postoperative rotational stability of two prototype intraocular lens (IOL) designs (subsequently termed version 1 and version 2).
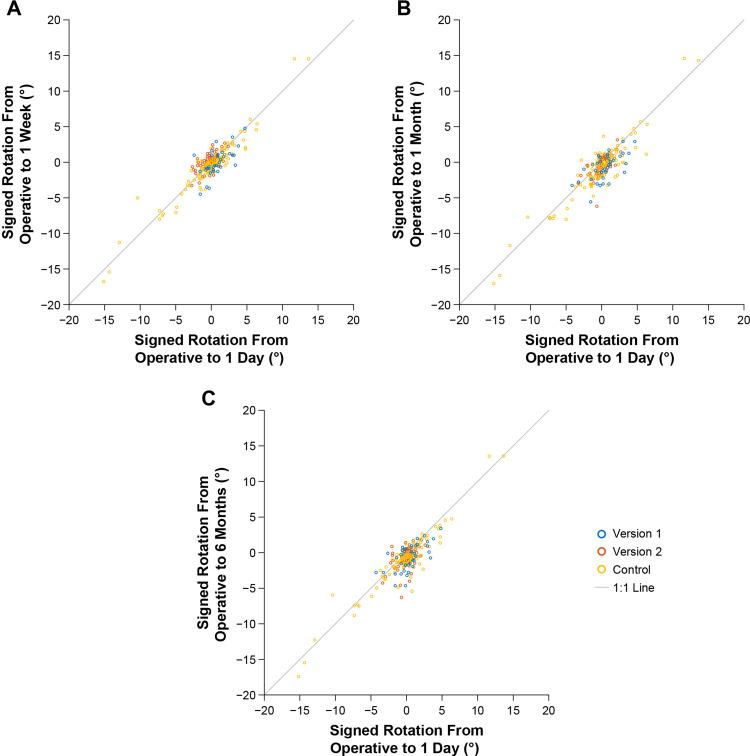
A prospective, multicenter, randomized, paired-eye, 6-month study evaluated the version 1 and version 2 IOLs. Results were compared with a control IOL (TECNIS toric 1-piece monofocal IOL) evaluated in a separate, similarly designed study. Participants aged ≥22 years and scheduled to undergo bilateral cataract extraction were randomly assigned 1:1 to receive the version 1 or version 2 IOL in the first operative eye; the alternate test IOL was then implanted in the second operative eye.
Mean absolute IOL rotation at postoperative week 1 was the primary effectiveness end point. Additional end points included the percentage of eyes with postoperative IOL rotation >5°/>10°, direction of lens rotation, surgeon-reported ease of IOL handling during implantation, and safety. At postoperative week 1, mean (±standard deviation) absolute IOL rotation was significantly lower for both version 1 and version 2 versus control (0.88° [±0.94] and 0.71° [±0.69] vs 2.24° [±3.21], respectively; both < 0.001). For both study lenses, absolute rotation was <5° for all eyes at postoperative week 1, and no cases of rotation >10° were observed at any postoperative time point. From postoperative week 1 onward, version 2 had a statistically significant clockwise bias in the direction of rotation ( = 0.03); similar findings were observed for version 1. Surgeons reported acceptable ease of IOL handling during implantation for both version 1 and version 2. No device-related adverse events were reported.
Both the version 1 and version 2 IOLs, each with frosted, squared haptics, demonstrated improved postoperative rotational stability compared with a control lens without frosted haptics. Because version 2 had the same overall geometry as the current TECNIS toric IOL, this design was selected for commercialization.
German Clinical Trials Register, DRKS00015287.
评估两种人工晶状体(IOL)原型设计(随后称为版本1和版本2)的术后旋转稳定性。
一项前瞻性、多中心、随机、双眼配对、为期6个月的研究对版本1和版本2的IOL进行了评估。将结果与在另一项设计相似的单独研究中评估的对照IOL(TECNIS散光单片式单焦点IOL)进行比较。年龄≥22岁且计划接受双侧白内障摘除术的参与者被随机1:1分配,在第一只手术眼中植入版本1或版本2的IOL;然后在第二只手术眼中植入另一种测试IOL。
术后第1周IOL的平均绝对旋转是主要疗效终点。其他终点包括术后IOL旋转>5°/>10°的眼的百分比、晶状体旋转方向、外科医生报告的植入过程中IOL操作的难易程度以及安全性。术后第1周,版本1和版本2的平均(±标准差)绝对IOL旋转均显著低于对照(分别为0.88°[±0.94]和0.71°[±0.69],而对照为2.24°[±3.21];均P<0.001)。对于两种研究晶状体,术后第1周所有眼的绝对旋转均<5°,且在任何术后时间点均未观察到旋转>10°的病例。从术后第1周起,版本2在旋转方向上有统计学显著的顺时针偏差(P = 0.03);版本1也观察到类似结果。外科医生报告版本1和版本2在植入过程中IOL操作的难易程度均可接受。未报告与器械相关的不良事件。
版本1和版本2的IOL均具有磨砂方形袢,与没有磨砂袢的对照晶状体相比,术后旋转稳定性均有所提高。由于版本2的整体几何形状与当前的TECNIS散光IOL相同,因此该设计被选择用于商业化。
德国临床试验注册中心,DRKS00015287。