Suppr超能文献

用户对推荐系统中说服技巧的反应。

Users' Responsiveness to Persuasive Techniques in Recommender Systems.

作者信息

Alslaity Alaa, Tran Thomas

机构信息

University of Ottawa, Ottawa, ON, Canada.

出版信息

Front Artif Intell. 2021 Jul 8;4:679459. doi: 10.3389/frai.2021.679459. eCollection 2021.

Abstract

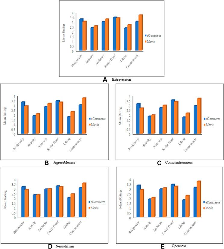
Understanding user's behavior and their interactions with artificial-intelligent-based systems is as important as analyzing the performance of the algorithms used in these systems. For instance, in the Recommender Systems domain, the of the recommendation algorithm was the ultimate goal for most systems designers. However, researchers and practitioners have realized that providing accurate recommendations is insufficient to enhance users' acceptance. A recommender system needs to focus on other factors that enhance its interactions with the users. Recent researches suggest augmenting these systems with persuasive capabilities. Persuasive features lead to increasing users' acceptance of the recommendations, which, in turn, enhances users' experience with these systems. Nonetheless, the literature still lacks a comprehensive view of the actual effect of persuasive principles on recommender users. To fill this gap, this study diagnoses how users of different characteristics get influenced by various persuasive principles that a recommender system uses. The study considers four users' aspects: age, gender, culture (continent), and personality traits. The paper also investigates the impact of the context (or application domain) on the influence of the persuasive principles. Two application domains (namely eCommerce and Movie recommendations) are considered. A within-subject user study was conducted. The analysis of (279) responses revealed that persuasive principles have the potential to enhance users' experience with recommender systems. The study also shows that, among the considered factors, culture, personality traits, and the domain of recommendations have a higher impact on the influence of persuasive principles than other factors. Based on the analysis of the results, the study provides insights and guidelines for recommender systems designers. These guidelines can be used as a reference for designing recommender systems with users' experience in mind. We suggest that considering the results presented in this paper could help to improve recommender-users interaction.

摘要

了解用户行为及其与基于人工智能的系统的交互,与分析这些系统中使用的算法性能同样重要。例如,在推荐系统领域,推荐算法的 是大多数系统设计者的最终目标。然而,研究人员和从业者已经意识到,提供准确的推荐不足以提高用户的接受度。推荐系统需要关注其他能够增强其与用户交互的因素。最近的研究建议增强这些系统的说服能力。说服性特征会导致用户对推荐的接受度提高,进而提升用户对这些系统的体验。尽管如此,文献中仍然缺乏对说服原则对推荐系统用户实际效果的全面看法。为了填补这一空白,本研究诊断了不同特征的用户如何受到推荐系统使用的各种说服原则的影响。该研究考虑了用户的四个方面:年龄、性别、文化(大洲)和个性特征。本文还研究了上下文(或应用领域)对说服原则影响的作用。考虑了两个应用领域(即电子商务和电影推荐)。进行了一项受试者内用户研究。对(279)份回复的分析表明,说服原则有可能提升用户对推荐系统的体验。该研究还表明,在所考虑的因素中,文化、个性特征和推荐领域对说服原则影响的作用比其他因素更大。基于对结果的分析,该研究为推荐系统设计者提供了见解和指导方针。这些指导方针可作为在设计推荐系统时考虑用户体验的参考。我们建议,考虑本文提出的结果有助于改善推荐系统与用户之间的交互。

https://cdn.ncbi.nlm.nih.gov/pmc/blobs/0d5d/8297385/c841dceb5eed/frai-04-679459-g001.jpg

文献检索

告别复杂PubMed语法,用中文像聊天一样搜索,搜遍4000万医学文献。AI智能推荐,让科研检索更轻松。

立即免费搜索

文件翻译

保留排版,准确专业,支持PDF/Word/PPT等文件格式,支持 12+语言互译。

免费翻译文档

深度研究

AI帮你快速写综述,25分钟生成高质量综述,智能提取关键信息,辅助科研写作。

立即免费体验