Steenkamp Gerhard, Boy Sonja C, van Staden Paul J, Bester Marthán N
Institute of Mammal Research, Department of Zoology and Entomology, Faculty of Natural and Agricultural Sciences, University of Pretoria, Pretoria, South Africa.
Department of Companion Animal Clinical Studies, Faculty of Veterinary Science, University of Pretoria, Pretoria, South Africa.
Front Vet Sci. 2021 Jul 12;8:682150. doi: 10.3389/fvets.2021.682150. eCollection 2021.
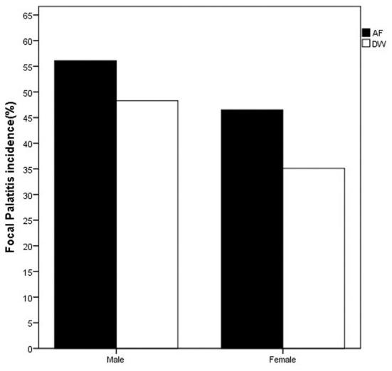
Focal palatine erosion (FPE) is a misleading term that is used in the literature to describe inflammatory lesions associated with depressions of the palatal mucosa in cheetah. Cheetahs have large cheek teeth and these depressions are formed to accommodate them. Previously FPE was only described as a mandibular molar tooth malocclusion on the hard palate due to suspected rotation and super eruption of the mandibular molar teeth of cheetahs aged 18 months and older. Two hundred and fifty six cheetahs (135 male, 121 female), originating from two independent facilities, had their oral cavities evaluated as part of an annual health visit over a decade. Ninety-nine cheetahs were seen once, 59 cheetahs were seen twice, 33 were seen three times, 43 on four occasions, 16 on five occasions, 5 on six occasions, and 1 cheetah was seen seven times. Apart from these clinical cases a prospective study on 5 cheetah cubs (3 male and 2 female) was conducted to document their skull development and mandibular molar tooth eruption over a period of 25 months. Of the 261 cheetahs observed none developed rotation or super eruption of their mandibular molar teeth. The term FPE is a misnomer as these inflammatory lesions were found in palatal depressions opposing any of the cusps of all of the cheetah mandibular cheek teeth. It consisted mainly of deep ulcerations, inflammation and oedema and also micro abscess formation. In severe cases oro-nasal fistulas were present. Of all the depressions present on the cheetah's palate, the large one palatal to the 4th maxillary premolar tooth was most commonly affected. In the five cubs evaluated prospectively, focal palatitis was evident from the 7 month evaluation, before all the permanent teeth erupted. Conservative treatment of the inflamed depressions by removing the foreign material through curettage and copious flushing reduced the grade of the inflammation when observed on follow-up. Focal palatine erosion is an incorrect term used to describe focal palatitis that occurs randomly in cheetahs. This focal palatitis is often associated with foreign material trapped in the palatal depressions. Conservative management is sufficient to treat these animals without odontoplasties.
局灶性腭部糜烂(FPE)是文献中用于描述猎豹腭黏膜凹陷相关炎症性病变的一个误导性术语。猎豹有大的颊齿,这些凹陷是为容纳它们而形成的。以前,FPE仅被描述为18个月及以上猎豹由于下颌磨牙疑似旋转和过度萌出导致硬腭上的下颌磨牙错牙合。来自两个独立机构的256只猎豹(135只雄性,121只雌性)在十年期间作为年度健康检查的一部分接受了口腔评估。99只猎豹被检查了一次,59只被检查了两次,33只被检查了三次,43只被检查了四次,16只被检查了五次,5只被检查了六次,1只猎豹被检查了七次。除了这些临床病例外,还对5只猎豹幼崽(3只雄性和2只雌性)进行了一项前瞻性研究,以记录它们在25个月内的颅骨发育和下颌磨牙萌出情况。在观察的261只猎豹中,没有一只出现下颌磨牙旋转或过度萌出。FPE这个术语用词不当,因为这些炎症性病变是在与猎豹所有下颌颊齿的任何尖相对的腭凹陷中发现的。它主要由深部溃疡、炎症和水肿以及微脓肿形成组成。在严重病例中存在口鼻瘘。在猎豹腭部出现的所有凹陷中,位于上颌第四前磨牙腭侧的大凹陷最常受累。在进行前瞻性评估的5只幼崽中,在所有恒牙萌出之前,从7个月的评估开始就明显出现了局灶性腭炎。通过刮除异物和大量冲洗对发炎的凹陷进行保守治疗,在随访观察时炎症程度有所减轻。局灶性腭部糜烂是一个用于描述猎豹随机发生的局灶性腭炎的错误术语。这种局灶性腭炎通常与腭凹陷中 trapped 的异物有关。保守治疗足以治疗这些动物,无需进行牙成形术。 (注:原文中“trapped”疑为“trapped”,未明确准确含义,按原样翻译)