Suppr超能文献

考察自付支出份额在灾难性卫生支出估计中的密度。

Examining the density in out-of-pocket spending share in the estimation of catastrophic health expenditures.

机构信息

Department of Global Health and Population, Harvard T.H. Chan School of Public Health, Boston, MA, USA.

Ethiopian Health Insurance Agency, Addis Ababa, Ethiopia.

出版信息

Eur J Health Econ. 2022 Jul;23(5):903-912. doi: 10.1007/s10198-021-01316-x. Epub 2021 Aug 6.

Abstract

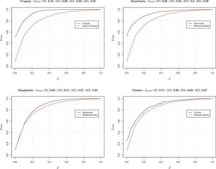
Universal health coverage (UHC) aims to provide access to health services for all without financial hardship. Moving toward UHC while ensuring financial risk protection (FRP) from out-of-pocket (OOP) health expenditures is a critical objective of the Sustainable Development Goal for Health. In tracking country progress toward UHC, analysts and policymakers usually report on two summary indicators of lack of FRP: the prevalence of catastrophic health expenditures (CHE) and the prevalence of impoverishing health expenditures. In this paper, we build on the CHE indicator: we examine the distribution (density) of health OOP budget share as a way to capture both the magnitude and dispersion in the ratio of households' OOP health expenditures relative to consumption or income at the population level. We illustrate our approach with country-specific examples using data from the World Health Organization's World Health Surveys.

摘要

全民健康覆盖(UHC)旨在确保所有人都能获得负担得起的医疗服务。在向 UHC 迈进的同时,确保人们免受自付医疗支出(OOP)带来的财务风险,这是卫生可持续发展目标的一个关键目标。在跟踪各国在 UHC 方面的进展时,分析人员和政策制定者通常会报告两个缺乏 FRP 的综合指标:灾难性医疗支出(CHE)的流行率和导致贫困的医疗支出的流行率。在本文中,我们基于 CHE 指标进一步分析:我们考察了卫生 OOP 预算份额的分布(密度),以便在人口层面上同时捕捉家庭 OOP 医疗支出与消费或收入的比例的幅度和分散程度。我们使用世界卫生组织的世界卫生调查数据,通过具体国家的实例来说明我们的方法。

https://cdn.ncbi.nlm.nih.gov/pmc/blobs/67e6/9170678/c31691d6d182/10198_2021_1316_Fig1_HTML.jpg

文献检索

告别复杂PubMed语法,用中文像聊天一样搜索,搜遍4000万医学文献。AI智能推荐,让科研检索更轻松。

立即免费搜索

文件翻译

保留排版,准确专业,支持PDF/Word/PPT等文件格式,支持 12+语言互译。

免费翻译文档

深度研究

AI帮你快速写综述,25分钟生成高质量综述,智能提取关键信息,辅助科研写作。

立即免费体验