Suppr超能文献

苯并吲哚-4,9-二酮衍生物有效抑制三阴性乳腺癌的生长。

Benzo[]indole-4,9-dione Derivatives Effectively Inhibit the Growth of Triple-Negative Breast Cancer.

机构信息

Laboratório de Farmacologia da Dor e da Inflamação, Instituto de Ciências Biomédicas, Universidade Federal do Rio de Janeiro, Rio de Janeiro 21941-901, Brazil.

Programa de Pós-graduação em Farmacologia e Química Medicinal, Instituto de Ciências Biomédicas, Universidade Federal do Rio de Janeiro, Rio de Janeiro 21949-900, Brazil.

出版信息

Molecules. 2021 Jul 21;26(15):4414. doi: 10.3390/molecules26154414.

Abstract

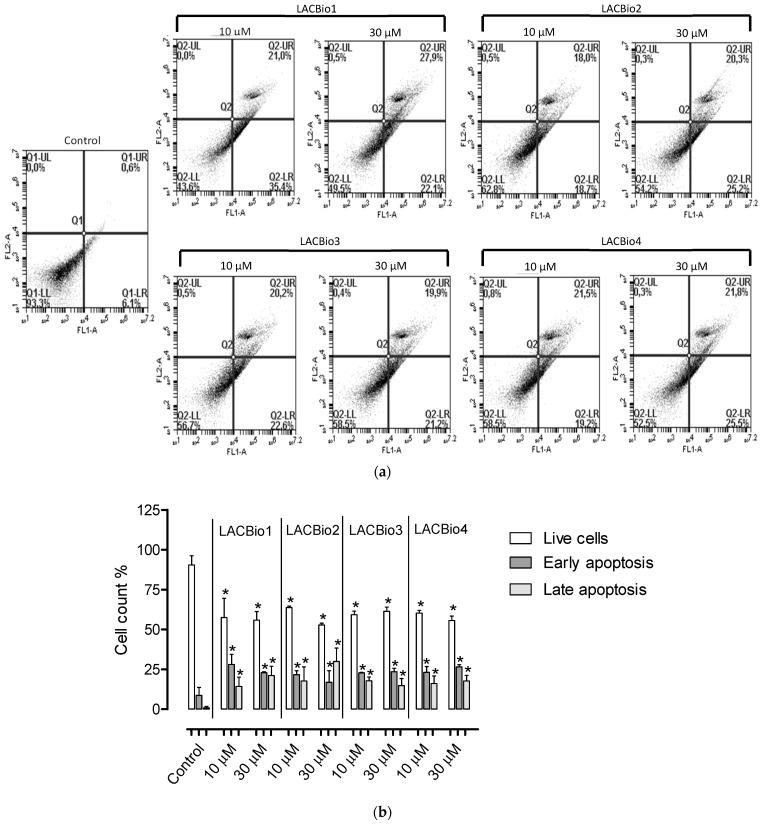
Triple-negative breast cancer (TNBC) is a subtype of breast cancer with poor clinical outcome, and currently no effective targeted therapies are available. Indole compounds have been shown to have potential antitumor activity against various cancer cells. In the present study, we found that new four benzo[]indole-4,9-dione derivatives reduce TNBC cell viability by reactive oxygen species (ROS) accumulation stress in vitro. Further analyses showed that LACBio1, LACBio2, LACBio3 and LACBio4 exert cytotoxic effects on MDA-MB 231 cancer cell line by inducing the intrinsic apoptosis pathway, activating caspase 9 and Bax/Bcl-2 pathway in vitro. These results provide evidence that these new four benzo[]indole-4,9-dione derivatives could be potential therapeutic agents against TNBC by promoting ROS stress-mediated apoptosis through intrinsic-pathway caspase activation.

摘要

三阴性乳腺癌(TNBC)是一种临床预后不良的乳腺癌亚型,目前尚无有效的靶向治疗方法。吲哚类化合物已被证明对各种癌细胞具有潜在的抗肿瘤活性。在本研究中,我们发现新型的四个苯并[吲哚]-4,9-二酮衍生物通过体外活性氧(ROS)积累应激来降低 TNBC 细胞活力。进一步的分析表明,LACBio1、LACBio2、LACBio3 和 LACBio4 通过诱导内在凋亡途径,体外激活 caspase 9 和 Bax/Bcl-2 途径,对 MDA-MB-231 癌细胞系发挥细胞毒性作用。这些结果表明,这些新型的四个苯并[吲哚]-4,9-二酮衍生物可以通过激活内在途径 caspase 来促进 ROS 应激介导的凋亡,成为治疗 TNBC 的潜在治疗剂。

https://cdn.ncbi.nlm.nih.gov/pmc/blobs/835f/8347180/ef6e9a9cb75c/molecules-26-04414-g001.jpg

文献AI研究员

20分钟写一篇综述,助力文献阅读效率提升50倍。

立即体验

用中文搜PubMed

大模型驱动的PubMed中文搜索引擎

马上搜索

文档翻译

学术文献翻译模型,支持多种主流文档格式。

立即体验