Suppr超能文献

煤中甲烷解吸 - 扩散动力学过程的多尺度格子玻尔兹曼模拟

Multiscale Lattice Boltzmann Simulation of the Kinetics Process of Methane Desorption-Diffusion in Coal.

作者信息

Peng Zhigao, Deng Zongwei, Feng Haoxiong, Liu Shenggui, Li Yingjun

机构信息

College of Civil Engineering, Hunan City University, Yiyang 413000, China.

Key Laboratory of Key Technologies of Digital Urban-Rural Spatial Planning of Hunan Province, Hunan City University, Yiyang 413000, China.

出版信息

ACS Omega. 2021 Jul 21;6(30):19789-19798. doi: 10.1021/acsomega.1c02499. eCollection 2021 Aug 3.

Abstract

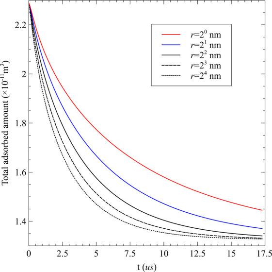
The methane desorption and diffusion characteristics in coal are key factors affecting coalbed methane productivity. In this paper, we developed a lattice Boltzmann model for methane migration in the multiscale porous media of coal. In the simulation, the diffusion of methane in macropores/fractures is assumed to follow Fick's law, and that in the coal matrix is treated as Knudsen diffusion. In addition, the Langmuir adsorption kinetics equation is employed to describe the dynamic process of methane adsorption and desorption. The results indicated the following: (1) The specific surface area and fracture proportion of the coal will increase with the employment of hydraulic fracturing, which may prompt the gas desorption-diffusion efficiency. (2) The flow and diffusion of methane are closely related to each other. When the gas diffusivity is poor, the desorption-diffusion can be effectively accelerated by increasing the drainage intensity, but when the gas diffusivity is fine, the flow velocity has little influence on the methane desorption. In practice, if the estimated methane diffusion coefficient is below the order of 10 m/s, more attention should be paid to its accuracy; otherwise, the obtained results may have a large deviation from the real value. (3) In the typical range of average pore sizes of coal, gas desorption rate growth with the increase of pore size makes the low-rank coal more advantageous in exploitation due to its larger average pore size. With the decline of reservoir pressure, the low- and high-rank coals more easily desorb methane than medium-rank coal. (4) In the kinetic study of the coalbed methane desorption-diffusion process, the accuracy of the obtained results may depend on the adsorption and desorption rate constants if the desorption rate constant is less than 10 1/s.

摘要

煤中甲烷解吸与扩散特性是影响煤层气产能的关键因素。本文建立了一种用于模拟甲烷在煤多尺度多孔介质中运移的格子玻尔兹曼模型。模拟过程中,假定甲烷在大孔/裂隙中的扩散遵循菲克定律,在煤基质中的扩散为克努森扩散。此外,采用朗缪尔吸附动力学方程描述甲烷吸附与解吸的动态过程。结果表明:(1)水力压裂可增加煤的比表面积和裂隙比例,进而提高瓦斯解吸-扩散效率。(2)甲烷渗流与扩散相互紧密关联。当瓦斯扩散系数较小时,增加抽采强度可有效促进解吸-扩散;而当瓦斯扩散系数较大时,流速对甲烷解吸影响较小。实际应用中,若估算的甲烷扩散系数低于10⁻⁷m²/s量级,需更加关注其准确性,否则所得结果可能与实际值偏差较大。(3)在煤的典型平均孔径范围内,瓦斯解吸速率随孔径增大而增加,使得低阶煤因平均孔径较大在开采方面更具优势。随着储层压力降低,低阶煤和高阶煤比中阶煤更容易解吸甲烷。(4)在煤层气解吸-扩散过程的动力学研究中,若解吸速率常数小于10⁻¹/s,所得结果的准确性可能取决于吸附和解吸速率常数。

https://cdn.ncbi.nlm.nih.gov/pmc/blobs/68d1/8340423/759af12a7f63/ao1c02499_0002.jpg

文献AI研究员

20分钟写一篇综述,助力文献阅读效率提升50倍。

立即体验

用中文搜PubMed

大模型驱动的PubMed中文搜索引擎

马上搜索

文档翻译

学术文献翻译模型,支持多种主流文档格式。

立即体验