Suppr超能文献

阻塞性睡眠呼吸暂停与重度肥胖男性的低睾酮水平有关。

Obstructive Sleep Apnea Is Associated With Low Testosterone Levels in Severely Obese Men.

机构信息

Department for Obesity, Reproductive and Metabolic Disorders, Clinic for Endocrinology, Diabetes and Metabolic Diseases, University Clinical Centre of Serbia, Faculty of Medicine, University of Belgrade, Belgrade, Serbia.

Department of Pulmonology, Clinical Hospital Centre Zemun, Faculty of Medicine, University of Belgrade, Belgrade, Serbia.

出版信息

Front Endocrinol (Lausanne). 2021 Jul 26;12:622496. doi: 10.3389/fendo.2021.622496. eCollection 2021.

Abstract

BACKGROUND

Disrupted sleep affects cardio-metabolic and reproductive health. Obstructive sleep apnea syndrome represents a major complication of obesity and has been associated with gonadal axis activity changes and lower serum testosterone concentration in men. However, there is no consistent opinion on the effect of obstructive sleep apnea on testosterone levels in men.

OBJECTIVE

The aim of this study was to determine the influence of obstructive sleep apnea on total and free testosterone levels in severely obese men.

MATERIALS AND METHODS

The study included 104 severely obese (Body Mass Index (BMI) ≥ 35 kg/m) men, aged 20 to 60, who underwent anthropometric, blood pressure, fasting plasma glucose, lipid profile, and sex hormone measurements. All participants were subjected to polysomnography. According to apnea-hypopnea index (AHI) patients were divided into 3 groups: <15 (n = 20), 15 - 29.9 (n = 17) and ≥ 30 (n = 67).

RESULTS

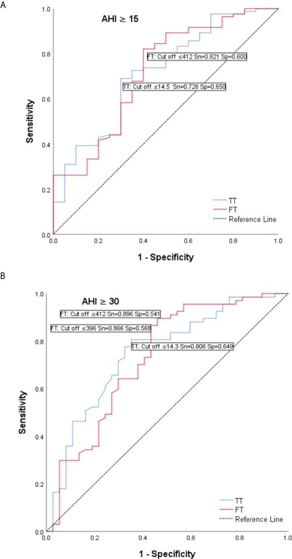
There was a significant difference between AHI groups in age (29.1 ± 7.2, 43.2 ± 13.2, 45.2 ± 10.2 years; p < 0.001), BMI (42.8 ± 5.9, 43.2 ± 5.9, 47.1 ± 7.8 kg/m; p = 0.023), the prevalence of metabolic syndrome (MetS) (55%, 82.4%, 83.6%, p = 0.017), continuous metabolic syndrome score (siMS) (4.01 ± 1.21, 3.42 ± 0.80, 3.94 ± 1.81, 4.20 ± 1.07; p = 0.038), total testosterone (TT) (16.6 ± 6.1, 15.2 ± 5.3, 11.3 ± 4.44 nmol/l; p < 0.001) and free testosterone (FT) levels (440.4 ± 160.8, 389.6 ± 162.5, 294.5 ± 107.0 pmol/l; p < 0.001). TT level was in a significant negative correlation with AHI, oxygen desaturation index (ODI), BMI, MetS and siMS. Also, FT was in a significant negative correlation with AHI, ODI, BMI, age, MetS and siMS. The multiple regression analysis revealed that both AHI and ODI were in significant correlation with TT and FT after adjustment for age, BMI, siMS score and MetS components.

CONCLUSION

Obstructive sleep apnea is associated with low TT and FT levels in severely obese men.

摘要

背景

睡眠障碍会影响心血管代谢和生殖健康。阻塞性睡眠呼吸暂停综合征是肥胖的主要并发症之一,与性腺轴活动改变和男性血清睾酮浓度降低有关。然而,对于阻塞性睡眠呼吸暂停对男性睾酮水平的影响,目前尚无一致意见。

目的

本研究旨在确定阻塞性睡眠呼吸暂停对严重肥胖男性总睾酮和游离睾酮水平的影响。

材料和方法

研究纳入了 104 名年龄在 20 至 60 岁之间的严重肥胖(体重指数(BMI)≥35kg/m)男性,进行了人体测量、血压、空腹血糖、血脂和性激素测量。所有参与者均接受多导睡眠图检查。根据呼吸暂停低通气指数(AHI),患者分为 3 组:<15(n=20)、15-29.9(n=17)和≥30(n=67)。

结果

AHI 组间在年龄(29.1±7.2、43.2±13.2、45.2±10.2 岁;p<0.001)、BMI(42.8±5.9、43.2±5.9、47.1±7.8kg/m;p=0.023)、代谢综合征(MetS)患病率(55%、82.4%、83.6%;p=0.017)、连续代谢综合征评分(siMS)(4.01±1.21、3.42±0.80、3.94±1.81、4.20±1.07;p=0.038)、总睾酮(TT)(16.6±6.1、15.2±5.3、11.3±4.44nmol/l;p<0.001)和游离睾酮(FT)水平(440.4±160.8、389.6±162.5、294.5±107.0pmol/l;p<0.001)方面存在显著差异。TT 水平与 AHI、氧减指数(ODI)、BMI、MetS 和 siMS 呈显著负相关。FT 水平与 AHI、ODI、BMI、年龄、MetS 和 siMS 呈显著负相关。多元回归分析显示,在调整年龄、BMI、siMS 评分和 MetS 成分后,AHI 和 ODI 与 TT 和 FT 均呈显著相关。

结论

阻塞性睡眠呼吸暂停与严重肥胖男性的 TT 和 FT 水平降低有关。

https://cdn.ncbi.nlm.nih.gov/pmc/blobs/9c36/8350060/6843d0df9cf7/fendo-12-622496-g001.jpg

文献AI研究员

20分钟写一篇综述,助力文献阅读效率提升50倍。

立即体验

用中文搜PubMed

大模型驱动的PubMed中文搜索引擎

马上搜索

文档翻译

学术文献翻译模型,支持多种主流文档格式。

立即体验