Suppr超能文献

翻修肩关节置换术后的结果与并发症:一项系统评价与荟萃分析

Outcome and complications following revision shoulder arthroplasty : a systematic review and meta-analysis.

作者信息

Ravi Vinayak, Murphy Richard James, Moverley Robert, Derias Mina, Phadnis Joideep

机构信息

Brighton and Sussex Medical School, Brighton, UK.

University Hospitals Sussex NHS Foundation Trust, Royal Sussex County Hospital, Brighton, UK.

出版信息

Bone Jt Open. 2021 Aug;2(8):618-630. doi: 10.1302/2633-1462.28.BJO-2021-0092.R1.

Abstract

AIMS

It is important to understand the rate of complications associated with the increasing burden of revision shoulder arthroplasty. Currently, this has not been well quantified. This review aims to address that deficiency with a focus on complication and reoperation rates, shoulder outcome scores, and comparison of anatomical and reverse prostheses when used in revision surgery.

METHODS

A Preferred Reporting Items for Systematic Reviews and Meta-Analyses (PRISMA) systematic review was performed to identify clinical data for patients undergoing revision shoulder arthroplasty. Data were extracted from the literature and pooled for analysis. Complication and reoperation rates were analyzed using a meta-analysis of proportion, and continuous variables underwent comparative subgroup analysis.

RESULTS

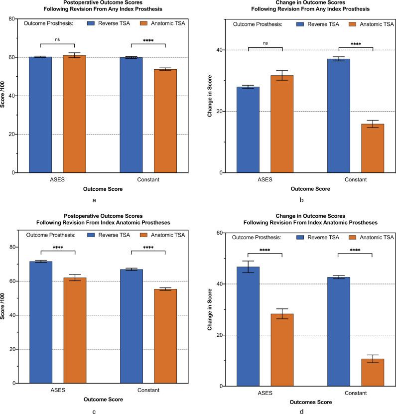
A total of 112 studies (5,379 shoulders) were eligible for inclusion, although complete clinical data was not ubiquitous. Indications for revision included component loosening 20% (601/3,041), instability 19% (577/3,041), rotator cuff failure 17% (528/3,041), and infection 16% (490/3,041). Intraoperative complication and postoperative complication and reoperation rates were 8% (230/2,915), 22% (825/3,843), and 13% (584/3,843) respectively. Intraoperative and postoperative complications included iatrogenic humeral fractures (91/230, 40%) and instability (215/825, 26%). Revision to reverse total shoulder arthroplasty (TSA), rather than revision to anatomical TSA from any index prosthesis, resulted in lower complication rates and superior Constant scores, although there was no difference in American Shoulder and Elbow Surgeons scores.

CONCLUSION

Satisfactory improvement in patient-reported outcome measures are reported following revision shoulder arthroplasty; however, revision surgery is associated with high complication rates and better outcomes may be evident following revision to reverse TSA. Cite this article:  2021;2(8):618-630.

摘要

目的

了解随着翻修肩关节置换术负担增加而出现的并发症发生率很重要。目前,这方面尚未得到很好的量化。本综述旨在解决这一不足,重点关注并发症和再次手术率、肩关节结局评分,以及翻修手术中使用解剖型和反置假体的比较。

方法

进行了一项系统评价与Meta分析的首选报告项目(PRISMA)系统评价,以确定接受翻修肩关节置换术患者的临床数据。从文献中提取数据并汇总进行分析。使用比例的Meta分析来分析并发症和再次手术率,连续变量进行比较亚组分析。

结果

共有112项研究(5379例肩关节)符合纳入标准,尽管完整的临床数据并不普遍。翻修的指征包括假体松动20%(601/3041)、不稳定19%(577/3041)、肩袖损伤17%(528/3041)和感染16%(490/3041)。术中并发症、术后并发症和再次手术率分别为8%(230/2915)、22%(825/3843)和13%(584/3843)。术中及术后并发症包括医源性肱骨骨折(91/230,40%)和不稳定(215/825,26%)。与从任何初次假体翻修为解剖型全肩关节置换术(TSA)相比,翻修为反置全肩关节置换术导致并发症发生率更低,Constant评分更高,尽管美国肩肘外科医师学会评分没有差异。

结论

翻修肩关节置换术后患者报告的结局指标有令人满意的改善;然而,翻修手术与高并发症发生率相关,翻修为反置TSA后可能有更好的结局。引用本文:2021;2(8):618 - 630。

https://cdn.ncbi.nlm.nih.gov/pmc/blobs/cf75/8384442/0a17bcaaff42/BJO-2-618-g0001.jpg

文献AI研究员

20分钟写一篇综述,助力文献阅读效率提升50倍。

立即体验

用中文搜PubMed

大模型驱动的PubMed中文搜索引擎

马上搜索

文档翻译

学术文献翻译模型,支持多种主流文档格式。

立即体验