Suppr超能文献

年龄作为尤因肉瘤患者的预后因素——波兰肉瘤研究组的经验

Age as a Prognostic Factor in Patients with Ewing Sarcoma-The Polish Sarcoma Group Experience.

作者信息

Jagodzińska-Mucha Paulina, Raciborska Anna, Koseła-Paterczyk Hanna, Kozak Katarzyna, Bilska Katarzyna, Świtaj Tomasz, Falkowski Sławomir, Dawidowska Anna, Rutkowski Piotr, Ługowska Iwona

机构信息

Department of Soft Tissue/Bone Sarcoma and Melanoma, Maria Sklodowska-Curie National Research Institute of Oncology, 02-781 Warsaw, Poland.

Department of Oncology and Surgical Oncology for Children and Youth, Mother and Child Institute, 01-211 Warsaw, Poland.

出版信息

J Clin Med. 2021 Aug 17;10(16):3627. doi: 10.3390/jcm10163627.

Abstract

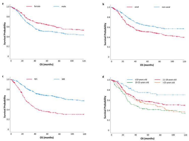
Ewing sarcoma (ES) is a rare and aggressive disease that requires multidisciplinary treatment with the use of chemotherapy, radiotherapy, and surgery. Our retrospective study aimed to analyze the prognostic factors and treatment results in different age groups of patients. Between 1998 and 2018, 569 patients with ES were treated in two referral centers. The patients were divided into four age groups (≤10 years; 11-18 years; 19-25, and >25). The treatment results and prognostic factors were assessed for each group. For statistical analyses, we used the Chi2 test, the Kaplan-Meier estimator with a log-rank test, and the multivariate Cox model. Five-year overall survival (OS) rate was 56%. In the age subgroups: ≤10 years, 11-18 years, 19-25 years, and >25 years, the 5-year OS rates were 75%, 58%, 41%, and 52%, respectively. Favorable prognostic factors: female gender ( = 0.024), non-axial localization ( = 0.005), VIDE regimen ( < 0.001), and surgery as a local treatment ( < 0.001) dominated in the group ≤10 years. In multivariate analysis, male (HR = 1.53), axial localization (HR = 1.46), M1 status at presentation (HR = 2.64), and age > 10 years (HR = 2.29) were associated with shorter OS. The treatment results in ES are significantly better in children aged ≤10 years; the challenge is to provide therapy for adolescents and young adults. The diagnostics and treatment of ES patients must be provided in referral centers.

摘要

尤因肉瘤(ES)是一种罕见且侵袭性强的疾病,需要采用化疗、放疗和手术进行多学科治疗。我们的回顾性研究旨在分析不同年龄组患者的预后因素和治疗结果。1998年至2018年期间,两个转诊中心共治疗了569例ES患者。患者被分为四个年龄组(≤10岁;11 - 18岁;19 - 25岁和>25岁)。对每个组的治疗结果和预后因素进行了评估。为进行统计分析,我们使用了卡方检验、带有对数秩检验的Kaplan - Meier估计器以及多变量Cox模型。五年总生存率(OS)为56%。在年龄亚组中:≤10岁、11 - 18岁、19 - 25岁和>25岁的五年OS率分别为75%、58%、41%和52%。有利的预后因素:女性(= 0.024)、非轴向定位(= 0.005)、VIDE方案(< 0.001)以及作为局部治疗的手术(< 0.001)在≤10岁的组中占主导。在多变量分析中,男性(HR = 1.53)、轴向定位(HR = 1.46)、就诊时M1状态(HR = 2.64)以及年龄>10岁(HR = 2.29)与较短的OS相关。≤10岁儿童的ES治疗结果明显更好;挑战在于为青少年和年轻成年人提供治疗。ES患者的诊断和治疗必须在转诊中心进行。

https://cdn.ncbi.nlm.nih.gov/pmc/blobs/237c/8397138/0e784a7863a9/jcm-10-03627-g001.jpg

文献AI研究员

20分钟写一篇综述,助力文献阅读效率提升50倍。

立即体验

用中文搜PubMed

大模型驱动的PubMed中文搜索引擎

马上搜索

文档翻译

学术文献翻译模型,支持多种主流文档格式。

立即体验