Graduate School of New Drug Discovery and Development, Chungnam National University, 99 Daehak-ro, Yuseong-gu, Daejeon 34134, Korea.
Division of Emerging Infectious Diseases, Bureau of Infectious Disease Diagnosis Control, Korea Disease Control and Prevention Agency, 187 Osongsaengmyeong 2-ro, Osong-eup, Heungdeok-gu, Cheongju-si 28159, Korea.
Int J Mol Sci. 2021 Aug 13;22(16):8714. doi: 10.3390/ijms22168714.
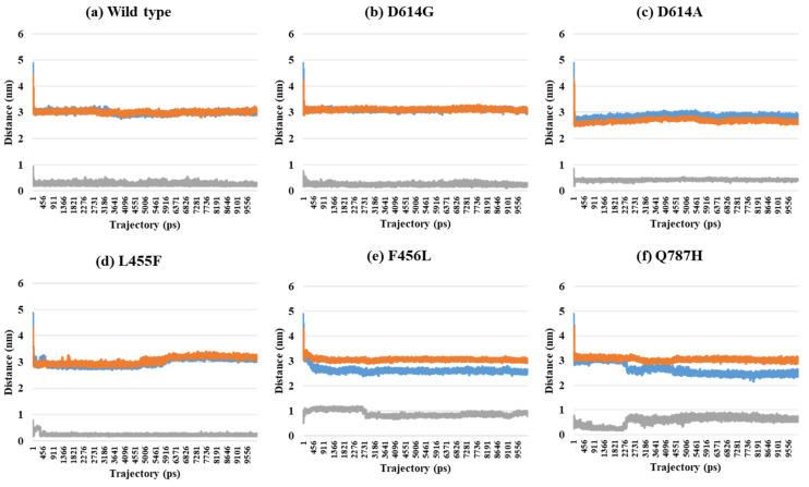
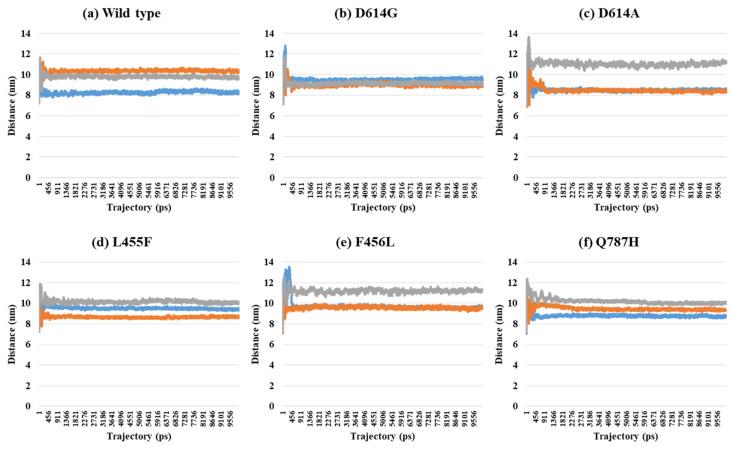
Severe acute respiratory syndrome coronavirus 2 (SARS-CoV-2) affects the COVID-19 pandemic in the world. The spike protein of the various proteins encoded in SARS-CoV-2 binds to human ACE2, fuses, and enters human cells in the respiratory system. Spike protein, however, is highly variable, and many variants were identified continuously. In this study, Korean mutants for spike protein (D614G and D614A-C terminal domain, L455F and F456L-RBD, and Q787H-S2 domain) were investigated in patients. Because RBD in spike protein is related to direct interaction with ACE2, almost all researches were focused on the RBD region or ACE2-free whole domain region. The 3D structure for spike protein complexed with ACE2 was recently released. The stability analysis through RBD distance among each spike protein chain and the binding free energy calculation between spike protein and ACE2 were performed using MD simulation depending on mutant types in 1-, 2-, and 3-open-complex forms. D614G mutant of CT2 domain, showing to be the most prevalent in the global pandemic, showed higher stability in all open-complex forms than the wild type and other mutants. We hope this study will provide an insight into the importance of conformational fluctuation in the whole domain, although RBD is involved in the direct interaction with ACE2.
严重急性呼吸系统综合症冠状病毒 2(SARS-CoV-2)影响着全球的 COVID-19 大流行。SARS-CoV-2 编码的各种蛋白质的刺突蛋白与人 ACE2 结合,融合并进入呼吸系统中的人类细胞。然而,刺突蛋白高度可变,并且不断鉴定出许多变体。在这项研究中,对患者中的刺突蛋白(D614G 和 D614A-C 末端结构域,L455F 和 F456L-RBD,以及 Q787H-S2 结构域)的韩国突变体进行了研究。由于刺突蛋白中的 RBD 与 ACE2 的直接相互作用有关,因此几乎所有研究都集中在 RBD 区域或无 ACE2 的整个结构域区域。最近发布了与 ACE2 复合的刺突蛋白的 3D 结构。根据 1-,2-和 3-开放复合物形式中的突变类型,通过 MD 模拟对每个刺突蛋白链之间的 RBD 距离进行稳定性分析,并计算刺突蛋白与 ACE2 之间的结合自由能。在全球大流行中最普遍的 CT2 结构域的 D614G 突变体在所有开放复合物形式中均显示出比野生型和其他突变体更高的稳定性。尽管 RBD 参与与 ACE2 的直接相互作用,但我们希望本研究能深入了解整个结构域构象波动的重要性。