Suppr超能文献

基于聚亚苯基砜(PPSU)的共聚物膜:化学结构和含量对气体渗透与分离的影响

Polyphenylsulfone (PPSU)-Based Copolymeric Membranes: Effects of Chemical Structure and Content on Gas Permeation and Separation.

作者信息

Feng Fan, Liang Can-Zeng, Wu Ji, Weber Martin, Maletzko Christian, Zhang Sui, Chung Tai-Shung

机构信息

Department of Chemical & Biomolecular Engineering, National University of Singapore, Singapore 117585, Singapore.

Integrative Sciences and Engineering Programme, NUS Graduate School, National University of Singapore, Singapore 119077, Singapore.

出版信息

Polymers (Basel). 2021 Aug 16;13(16):2745. doi: 10.3390/polym13162745.

Abstract

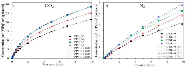
Although various polymer membrane materials have been applied to gas separation, there is a trade-off relationship between permeability and selectivity, limiting their wider applications. In this paper, the relationship between the gas permeation behavior of polyphenylsulfone(PPSU)-based materials and their chemical structure for gas separation has been systematically investigated. A PPSU homopolymer and three kinds of 3,3',5,5'-tetramethyl-4,4'-biphenol (TMBP)-based polyphenylsulfone (TMPPSf) copolymers were synthesized by controlling the TMBP content. As the TMPPSf content increases, the inter-molecular chain distance (or d-spacing value) increases. Data from positron annihilation life-time spectroscopy (PALS) indicate the copolymer with a higher TMPPSf content has a larger fractional free volume (FFV). The logarithm of their O, N, CO, and CH permeability was found to increase linearly with an increase in TMPPSf content but decrease linearly with increasing 1/FFV. The enhanced permeability results from the increases in both sorption coefficient and gas diffusivity of copolymers. Interestingly, the gas permeability increases while the selectivity stays stable due to the presence of methyl groups in TMPPSf, which not only increases the free volume but also rigidifies the polymer chains. This study may provide a new strategy to break the trade-off law and increase the permeability of polymer materials largely.

摘要

尽管各种聚合物膜材料已应用于气体分离,但渗透率和选择性之间存在权衡关系,限制了它们的更广泛应用。本文系统研究了聚亚苯基砜(PPSU)基材料的气体渗透行为与其用于气体分离的化学结构之间的关系。通过控制3,3',5,5'-四甲基-4,4'-联苯酚(TMBP)的含量,合成了一种PPSU均聚物和三种基于TMBP的聚亚苯基砜(TMPPSf)共聚物。随着TMPPSf含量的增加,分子间链间距(或d-间距值)增大。正电子湮没寿命谱(PALS)数据表明,TMPPSf含量较高的共聚物具有较大的自由体积分数(FFV)。发现它们对氧气、氮气、一氧化碳和甲烷的渗透率对数随TMPPSf含量的增加而线性增加,但随1/FFV的增加而线性降低。渗透率的提高源于共聚物吸附系数和气体扩散率的增加。有趣的是,由于TMPPSf中甲基的存在,气体渗透率增加而选择性保持稳定,甲基不仅增加了自由体积,还使聚合物链变硬。本研究可能提供一种新策略,以打破权衡定律并大幅提高聚合物材料的渗透率。

https://cdn.ncbi.nlm.nih.gov/pmc/blobs/3254/8401153/6184dd684715/polymers-13-02745-g009.jpg

文献检索

告别复杂PubMed语法,用中文像聊天一样搜索,搜遍4000万医学文献。AI智能推荐,让科研检索更轻松。

立即免费搜索

文件翻译

保留排版,准确专业,支持PDF/Word/PPT等文件格式,支持 12+语言互译。

免费翻译文档

深度研究

AI帮你快速写综述,25分钟生成高质量综述,智能提取关键信息,辅助科研写作。

立即免费体验