• 文献检索
  • 文档翻译
  • 深度研究
  • 学术资讯
  • Suppr Zotero 插件Zotero 插件
  • 邀请有礼
  • 套餐&价格
  • 历史记录
应用&插件
Suppr Zotero 插件Zotero 插件浏览器插件Mac 客户端Windows 客户端微信小程序
定价
高级版会员购买积分包购买API积分包
服务
文献检索文档翻译深度研究API 文档MCP 服务
关于我们
关于 Suppr公司介绍联系我们用户协议隐私条款
关注我们

Suppr 超能文献

核心技术专利:CN118964589B侵权必究
粤ICP备2023148730 号-1Suppr @ 2026

文献检索

告别复杂PubMed语法,用中文像聊天一样搜索,搜遍4000万医学文献。AI智能推荐,让科研检索更轻松。

立即免费搜索

文件翻译

保留排版,准确专业,支持PDF/Word/PPT等文件格式,支持 12+语言互译。

免费翻译文档

深度研究

AI帮你快速写综述,25分钟生成高质量综述,智能提取关键信息,辅助科研写作。

立即免费体验

急性冠状动脉综合征患者不同血脂指标浓度下血清尿酸与心肌血运重建风险的关系:一项回顾性分析

The Relationship Between Serum Uric Acid at Different Concentrations of Lipid Indices and the Risk of Myocardial Revascularization in Patients With Acute Coronary Syndrome: A Retrospective Analysis.

作者信息

Lin Yajuan, Hidru Tesfaldet Habtemariam, Fan Rui, Gao Jinghan, Li Han, Yang Xiaolei, Xia Yunlong

机构信息

Department of Cardiology, First Affiliated Hospital of Dalian Medical University, Dalian, China.

出版信息

Front Cardiovasc Med. 2021 Aug 23;8:732715. doi: 10.3389/fcvm.2021.732715. eCollection 2021.

DOI:10.3389/fcvm.2021.732715
PMID:34497839
原文链接:https://pmc.ncbi.nlm.nih.gov/articles/PMC8419518/
Abstract

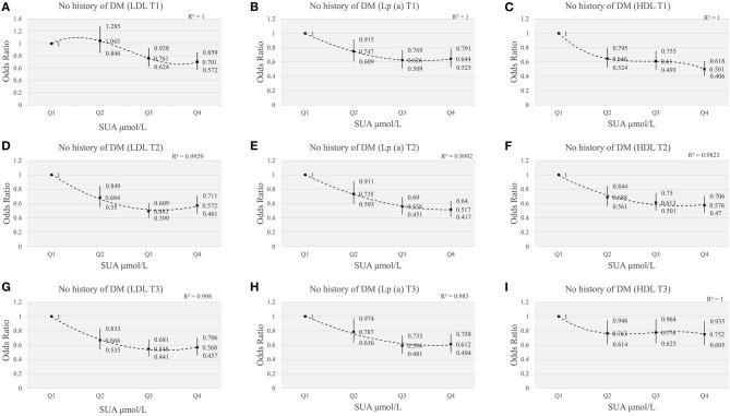
Both serum uric acid (SUA) levels and lipid components, such as LDL, HDL, and Lp(a), have been reported to associate with CAD. However, the influence of SUA status at different concentrations of lipid indices for the risk of myocardial revascularization (MRT) in ACS patients is currently unknown. We retrospectively analyzed a hospital-based sample of 14,234 ACS patients with no previous history of percutaneous coronary intervention (PCI) or coronary artery bypass graft (CABG) surgery. All patients went for coronary angiography. Binary logistic regression models were performed, and the odds ratios (OR) at 95% confidence interval (CIs) were used to approximate the associated risk of UA and lipid profile for myocardial revascularization, with the lowest quartile/tertile serving as the reference category. Overall, 8,818 (61.9%) patients undergone MRT out of 14,234 patients. Elevated SUA and HDL were negatively associated with an increased likelihood of MRT during admission ( < 0.001). However, LDL and Lp(a) levels were positively associated with MRT among ACS patients. Furthermore, interaction analyses between SUA and lipid profiles, particularly LDL and Lp(a), compared with those in the lowest quartile of SUA levels, show that patients in higher SUA quartiles grouped by lipid components had a significantly lower chance of undergoing MRT, with the lowest OR (95%CI) for subjects being 0.222 (0.170-0.290), 0.478 (0.374-0.612), and 0.604 (0.468-0.780) in LDL tertiles, being 0.671(0.523-0.862), 0.316(0.242-0.413), and 0.410 (0.310-0.542) in Lp(a) tertiles, respectively. In the three tertiles of HDL levels, the incidence of MRT dropped steadily as SUA levels increased. Also, we further analyzed ACS patients without diabetes. Compared with the first quartile of SUA levels, the risks of MRT were significantly lower in different tertiles of lipids components [LDL, Lp(a), HDL]. An increase in SUA levels may decrease the chance of undergoing MRT in ACS patients, even in those with increased Lp(a) and LDL-c. Elevated serum uric acid may play a protective role during an acute stage of ACS.

摘要

血清尿酸(SUA)水平和脂质成分,如低密度脂蛋白(LDL)、高密度脂蛋白(HDL)和脂蛋白(a)[Lp(a)],均已被报道与冠心病(CAD)相关。然而,目前尚不清楚在急性冠状动脉综合征(ACS)患者中,不同脂质指标浓度下SUA状态对心肌血运重建(MRT)风险的影响。我们回顾性分析了14234例既往无经皮冠状动脉介入治疗(PCI)或冠状动脉旁路移植术(CABG)手术史的ACS患者的医院样本。所有患者均接受了冠状动脉造影。采用二元逻辑回归模型,并使用95%置信区间(CIs)的比值比(OR)来近似UA和脂质谱与心肌血运重建的相关风险,以最低四分位数/三分位数作为参考类别。总体而言,14234例患者中有8818例(61.9%)接受了MRT。SUA升高和HDL升高与住院期间MRT可能性增加呈负相关(<0.001)。然而,LDL和Lp(a)水平与ACS患者的MRT呈正相关。此外,SUA与脂质谱之间的相互作用分析,特别是与LDL和Lp(a)之间的相互作用分析,与SUA水平最低四分位数的患者相比,结果显示按脂质成分分组的SUA四分位数较高的患者接受MRT的机会显著降低,LDL三分位数中受试者的最低OR(95%CI)为0.222(0.170 - 0.290)、0.478(0.374 - 0.612)和0.604(0.468 - 0.780),Lp(a)三分位数中分别为0.671(0.523 - 0.862)、0.316(0.242 - 0.413)和0.410(0.310 - 0.542)。在HDL水平的三个三分位数中,随着SUA水平升高,MRT的发生率稳步下降。此外,我们进一步分析了无糖尿病的ACS患者。与SUA水平的第一个四分位数相比,不同脂质成分[LDL、Lp(a)、HDL]三分位数的患者MRT风险显著更低。SUA水平升高可能会降低ACS患者接受MRT的机会,即使是那些Lp(a)和低密度脂蛋白胆固醇(LDL-c)升高的患者。血清尿酸升高可能在ACS急性期起到保护作用。

https://cdn.ncbi.nlm.nih.gov/pmc/blobs/e5f9/8419518/8969185eddba/fcvm-08-732715-g0006.jpg
https://cdn.ncbi.nlm.nih.gov/pmc/blobs/e5f9/8419518/cecf6cee5959/fcvm-08-732715-g0001.jpg
https://cdn.ncbi.nlm.nih.gov/pmc/blobs/e5f9/8419518/1dab0e115ae0/fcvm-08-732715-g0002.jpg
https://cdn.ncbi.nlm.nih.gov/pmc/blobs/e5f9/8419518/26bb4def9fef/fcvm-08-732715-g0003.jpg
https://cdn.ncbi.nlm.nih.gov/pmc/blobs/e5f9/8419518/676454b9c4bd/fcvm-08-732715-g0004.jpg
https://cdn.ncbi.nlm.nih.gov/pmc/blobs/e5f9/8419518/0b6e799b3b91/fcvm-08-732715-g0005.jpg
https://cdn.ncbi.nlm.nih.gov/pmc/blobs/e5f9/8419518/8969185eddba/fcvm-08-732715-g0006.jpg
https://cdn.ncbi.nlm.nih.gov/pmc/blobs/e5f9/8419518/cecf6cee5959/fcvm-08-732715-g0001.jpg
https://cdn.ncbi.nlm.nih.gov/pmc/blobs/e5f9/8419518/1dab0e115ae0/fcvm-08-732715-g0002.jpg
https://cdn.ncbi.nlm.nih.gov/pmc/blobs/e5f9/8419518/26bb4def9fef/fcvm-08-732715-g0003.jpg
https://cdn.ncbi.nlm.nih.gov/pmc/blobs/e5f9/8419518/676454b9c4bd/fcvm-08-732715-g0004.jpg
https://cdn.ncbi.nlm.nih.gov/pmc/blobs/e5f9/8419518/0b6e799b3b91/fcvm-08-732715-g0005.jpg
https://cdn.ncbi.nlm.nih.gov/pmc/blobs/e5f9/8419518/8969185eddba/fcvm-08-732715-g0006.jpg

相似文献

1
The Relationship Between Serum Uric Acid at Different Concentrations of Lipid Indices and the Risk of Myocardial Revascularization in Patients With Acute Coronary Syndrome: A Retrospective Analysis.急性冠状动脉综合征患者不同血脂指标浓度下血清尿酸与心肌血运重建风险的关系:一项回顾性分析
Front Cardiovasc Med. 2021 Aug 23;8:732715. doi: 10.3389/fcvm.2021.732715. eCollection 2021.
2
A Retrospective Study of the Relationship Between the Triglyceride Glucose Index and Myocardial Revascularization for New-Onset Acute Coronary Syndromes.甘油三酯葡萄糖指数与新发急性冠状动脉综合征心肌血运重建关系的回顾性研究
Front Cardiovasc Med. 2022 Mar 24;9:862252. doi: 10.3389/fcvm.2022.862252. eCollection 2022.
3
Impact of serum uric acid levels on the clinical prognosis and severity of coronary artery disease in patients with acute coronary syndrome and hypertension after percutaneous coronary intervention: a prospective cohort study.血清尿酸水平对经皮冠状动脉介入治疗后合并急性冠脉综合征和高血压的冠心病患者临床预后和严重程度的影响:一项前瞻性队列研究。
BMJ Open. 2022 Jan 12;12(1):e052031. doi: 10.1136/bmjopen-2021-052031.
4
J-shaped association between serum uric acid and acute coronary syndrome in patients with essential hypertension.血清尿酸与原发性高血压患者急性冠状动脉综合征之间的 J 型关联。
Postgrad Med J. 2020 Feb;96(1132):73-78. doi: 10.1136/postgradmedj-2019-136650. Epub 2019 Sep 5.
5
Relationship between lipoprotein(a) and revascularization after percutaneous coronary intervention in type 2 diabetes mellitus patients with acute coronary syndrome.2型糖尿病合并急性冠脉综合征患者经皮冠状动脉介入治疗后脂蛋白(a)与血管重建的关系。
Curr Med Res Opin. 2022 Oct;38(10):1663-1672. doi: 10.1080/03007995.2022.2078080. Epub 2022 May 26.
6
Association between serum uric acid levels and the prevalence of heart failure due to acute coronary syndrome in Chinese hospitalized patients: A cross-sectional study.血清尿酸水平与中国住院患者因急性冠状动脉综合征导致心力衰竭患病率的相关性:一项横断面研究。
Nutr Metab Cardiovasc Dis. 2023 Feb;33(2):308-314. doi: 10.1016/j.numecd.2022.11.006. Epub 2022 Nov 6.
7
Elevated postoperative serum uric acid is associated with major adverse events following coronary artery bypass grafting.冠状动脉旁路移植术后血清尿酸升高与主要不良事件相关。
J Card Surg. 2020 Oct;35(10):2559-2566. doi: 10.1111/jocs.14845.
8
Impact of Elevated Serum Uric Acid Level on Target Lesion Revascularization After Percutaneous Coronary Intervention for Chronic Total Occlusion.血清尿酸水平升高对慢性完全闭塞经皮冠状动脉介入治疗后靶病变血运重建的影响。
Am J Cardiol. 2019 Dec 15;124(12):1827-1832. doi: 10.1016/j.amjcard.2019.09.004. Epub 2019 Sep 26.
9
Elevated serum uric acid predicts angiographic impaired reperfusion and 1-year mortality in ST-segment elevation myocardial infarction patients undergoing percutaneous coronary intervention.血清尿酸水平升高可预测行经皮冠状动脉介入治疗的 ST 段抬高型心肌梗死患者的血管造影再灌注不良和 1 年死亡率。
J Investig Med. 2011 Aug;59(6):931-7. doi: 10.2310/JIM.0b013e318214ebaf.
10
Relation of Lipid Content of Coronary Plaque to Level of Serum Uric Acid.冠状动脉斑块脂质含量与血清尿酸水平的关系。
Am J Cardiol. 2015 Nov 1;116(9):1346-50. doi: 10.1016/j.amjcard.2015.07.059. Epub 2015 Aug 14.

引用本文的文献

1
Progress of uric acid in cardiovascular disease.尿酸在心血管疾病中的研究进展
Cardiovasc Endocrinol Metab. 2024 Apr 12;13(2):e0300. doi: 10.1097/XCE.0000000000000300. eCollection 2024 Jun.
2
A Retrospective Study of the Relationship Between the Triglyceride Glucose Index and Myocardial Revascularization for New-Onset Acute Coronary Syndromes.甘油三酯葡萄糖指数与新发急性冠状动脉综合征心肌血运重建关系的回顾性研究
Front Cardiovasc Med. 2022 Mar 24;9:862252. doi: 10.3389/fcvm.2022.862252. eCollection 2022.

本文引用的文献

1
The Prevalence, Distribution, and Extent of Subclinical Atherosclerosis and Its Relation With Serum Uric Acid in Hypertension Population.高血压人群中亚临床动脉粥样硬化的患病率、分布、范围及其与血清尿酸的关系
Front Cardiovasc Med. 2021 Apr 15;8:638992. doi: 10.3389/fcvm.2021.638992. eCollection 2021.
2
Elevated serum uric acid increases risks for developing high LDL cholesterol and hypertriglyceridemia: A five-year cohort study in Japan.血清尿酸水平升高会增加 LDL 胆固醇和高三酰甘油血症的发病风险:来自日本的一项为期五年的队列研究。
Int J Cardiol. 2018 Jun 15;261:183-188. doi: 10.1016/j.ijcard.2018.03.045. Epub 2018 Mar 13.
3
2017 Focused Update of the 2016 ACC Expert Consensus Decision Pathway on the Role of Non-Statin Therapies for LDL-Cholesterol Lowering in the Management of Atherosclerotic Cardiovascular Disease Risk: A Report of the American College of Cardiology Task Force on Expert Consensus Decision Pathways.
2017 年对 2016 年美国心脏病学会专家共识决策途径的重点更新:非他汀类药物在降低动脉粥样硬化性心血管疾病风险管理中的作用:美国心脏病学会专家组的专家共识决策途径报告。
J Am Coll Cardiol. 2017 Oct 3;70(14):1785-1822. doi: 10.1016/j.jacc.2017.07.745. Epub 2017 Sep 5.
4
High serum uric acid levels may increase mortality and major adverse cardiovascular events in patients with acute myocardial infarction.高血清尿酸水平可能会增加急性心肌梗死患者的死亡率和主要不良心血管事件。
Saudi Med J. 2017 Jun;38(6):577-585. doi: 10.15537/smj.2017.6.17190.
5
Suitable Concentrations of Uric Acid Can Reduce Cell Death in Models of OGD and Cerebral Ischemia-Reperfusion Injury.合适浓度的尿酸可减少氧糖剥夺及脑缺血再灌注损伤模型中的细胞死亡。
Cell Mol Neurobiol. 2017 Jul;37(5):931-939. doi: 10.1007/s10571-016-0430-8. Epub 2016 Oct 5.
6
Serum uric acid is neuroprotective in Chinese patients with acute ischemic stroke treated with intravenous recombinant tissue plasminogen activator.血清尿酸对接受静脉注射重组组织型纤溶酶原激活剂治疗的中国急性缺血性脑卒中患者具有神经保护作用。
J Stroke Cerebrovasc Dis. 2015 May;24(5):1080-6. doi: 10.1016/j.jstrokecerebrovasdis.2015.01.011. Epub 2015 Mar 25.
7
The role of uric acid as a potential neuroprotectant in acute ischemic stroke: a review of literature.尿酸作为急性缺血性卒中潜在神经保护剂的作用:文献综述
Neurol Sci. 2015 Jul;36(7):1097-103. doi: 10.1007/s10072-015-2151-z. Epub 2015 Mar 13.
8
Relationship between hyperuricemia and lipid profiles in US adults.美国成年人高尿酸血症与血脂谱之间的关系。
Biomed Res Int. 2015;2015:127596. doi: 10.1155/2015/127596. Epub 2015 Jan 5.
9
2014 ESC/EACTS Guidelines on myocardial revascularization: The Task Force on Myocardial Revascularization of the European Society of Cardiology (ESC) and the European Association for Cardio-Thoracic Surgery (EACTS)Developed with the special contribution of the European Association of Percutaneous Cardiovascular Interventions (EAPCI).2014年欧洲心脏病学会/欧洲心胸外科学会心肌血运重建指南:欧洲心脏病学会(ESC)和欧洲心胸外科学会(EACTS)心肌血运重建特别工作组编写,欧洲经皮心血管介入协会(EAPCI)提供特别贡献。
Eur Heart J. 2014 Oct 1;35(37):2541-619. doi: 10.1093/eurheartj/ehu278. Epub 2014 Aug 29.
10
Temporal relationship between uric acid concentration and risk of diabetes in a community-based study population.基于社区人群的研究中尿酸浓度与糖尿病风险的时间关系。
Am J Epidemiol. 2014 Mar 15;179(6):684-91. doi: 10.1093/aje/kwt320. Epub 2014 Jan 12.