Ye Mengli, Gao Liang, Wang Fuyu, Li Hao
The State Key Lab of Digital Manufacturing Equipment and Technology, Huazhong University of Science and Technology, 1037 Luoyu Road, Wuhan 430074, China.
AVIC Shenyang Aircraft Design and Research Institute, 40 Tawan Road, Shenyang 110000, China.
Materials (Basel). 2021 Sep 17;14(18):5386. doi: 10.3390/ma14185386.
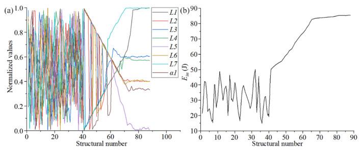
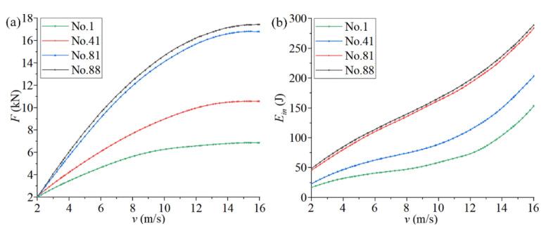
In this paper, a full-cycle interactive progressive (FIP) method that integrates topology optimization, parametric optimization, and experimental analysis to determine the optimal energy absorption properties in the design of chiral mechanical metamaterials is proposed. The FIP method has improved ability and efficiency compared with traditional design methods due to strengthening the overall design, introducing surrogate models, and its consideration of the application conditions. Here, the FIP design was applied in the design of mechanical metamaterials with optimized energy absorption properties, and a chiral mechanical metamaterial with good energy absorption and impact resistance was obtained based on the rotation mechanism of metamaterials with a negative Poisson's ratio. The relationship among the size parameters, applied boundary conditions, and energy absorption properties were studied. An impact compression experiment using a self-made Fiber Bragg Grating sensor was carried out on the chiral mechanical metamaterial. In light of the large deviation of the experimental and simulation data, a feedback adjustment was carried out by adjusting the structural parameters to further improve the mechanical properties of the chiral mechanical metamaterial. Finally, human-computer interaction, self-innovation, and a breakthrough in the design limits of the optimized model were achieved. The results illustrate the effectiveness of the FIP design method in improving the energy absorption properties in the design of chiral mechanical metamaterials.
本文提出了一种全周期交互式渐进(FIP)方法,该方法集成了拓扑优化、参数优化和实验分析,以确定手性机械超材料设计中的最佳能量吸收特性。由于加强了整体设计、引入了代理模型并考虑了应用条件,FIP方法与传统设计方法相比具有更高的能力和效率。在此,将FIP设计应用于具有优化能量吸收特性的机械超材料设计中,并基于具有负泊松比的超材料的旋转机制获得了一种具有良好能量吸收和抗冲击性的手性机械超材料。研究了尺寸参数、应用边界条件和能量吸收特性之间的关系。使用自制的光纤布拉格光栅传感器对手性机械超材料进行了冲击压缩实验。鉴于实验数据和模拟数据存在较大偏差,通过调整结构参数进行反馈调整,以进一步改善手性机械超材料的力学性能。最后,实现了人机交互、自主创新以及优化模型设计极限的突破。结果表明了FIP设计方法在改善手性机械超材料设计中的能量吸收特性方面的有效性。