• 文献检索
  • 文档翻译
  • 深度研究
  • 学术资讯
  • Suppr Zotero 插件Zotero 插件
  • 邀请有礼
  • 套餐&价格
  • 历史记录
应用&插件
Suppr Zotero 插件Zotero 插件浏览器插件Mac 客户端Windows 客户端微信小程序
定价
高级版会员购买积分包购买API积分包
服务
文献检索文档翻译深度研究API 文档MCP 服务
关于我们
关于 Suppr公司介绍联系我们用户协议隐私条款
关注我们

Suppr 超能文献

核心技术专利:CN118964589B侵权必究
粤ICP备2023148730 号-1Suppr @ 2026

文献检索

告别复杂PubMed语法,用中文像聊天一样搜索,搜遍4000万医学文献。AI智能推荐,让科研检索更轻松。

立即免费搜索

文件翻译

保留排版,准确专业,支持PDF/Word/PPT等文件格式,支持 12+语言互译。

免费翻译文档

深度研究

AI帮你快速写综述,25分钟生成高质量综述,智能提取关键信息,辅助科研写作。

立即免费体验

三晶型聚乙烯-聚环氧乙烷-聚己内酯PE-PEO-PCL三嵌段三元共聚物的结晶与形态

Crystallization and Morphology of Triple Crystalline Polyethylene--poly(ethylene oxide)--poly(ε-caprolactone) PE--PEO--PCL Triblock Terpolymers.

作者信息

Matxinandiarena Eider, Múgica Agurtzane, Zubitur Manuela, Ladelta Viko, Zapsas George, Cavallo Dario, Hadjichristidis Nikos, Müller Alejandro J

机构信息

POLYMAT and Department of Polymers and Advanced Materials: Physics, Chemistry and Technology, University of the Basque Country UPV/EHU, Paseo Manuel Lardizábal 3, 20018 Donostia-San Sebastián, Spain.

Department of Chemical and Environmental Engineering, University of the Basque Country UPV/EHU, Plaza Europa 1, 20018 Donostia-San Sebastián, Spain.

出版信息

Polymers (Basel). 2021 Sep 16;13(18):3133. doi: 10.3390/polym13183133.

DOI:10.3390/polym13183133
PMID:34578032
原文链接:https://pmc.ncbi.nlm.nih.gov/articles/PMC8473441/
Abstract

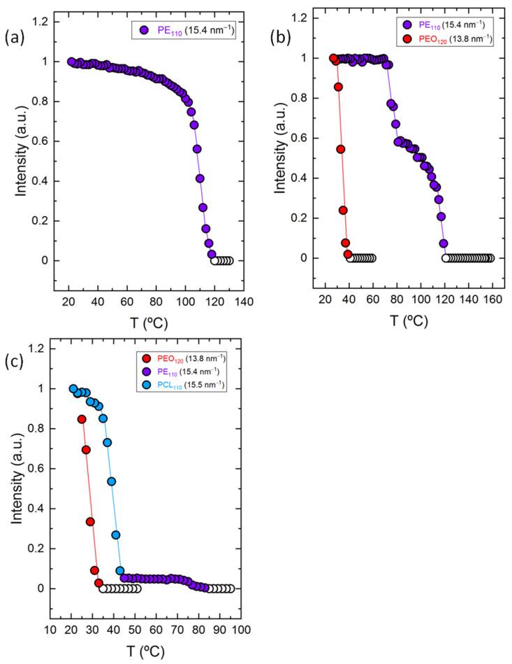
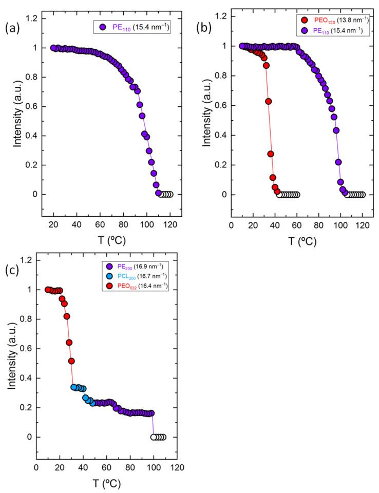
The morphology and crystallization behavior of two triblock terpolymers of polymethylene, equivalent to polyethylene (PE), poly (ethylene oxide) (PEO), and poly (ε-caprolactone) (PCL) are studied: PE--PEO--PCL (T1) and PE--PEO--PCL (T2) (superscripts give number average molecular weights in kg/mol and subscripts composition in wt %). The three blocks are potentially crystallizable, and the triple crystalline nature of the samples is investigated. Polyhomologation (C1 polymerization), ring-opening polymerization, and catalyst-switch strategies were combined to synthesize the triblock terpolymers. In addition, the corresponding PE--PEO diblock copolymers and PE homopolymers were also analyzed. The crystallization sequence of the blocks was determined via three independent but complementary techniques: differential scanning calorimetry (DSC), in situ SAXS/WAXS (small angle X-ray scattering/wide angle X-ray scattering), and polarized light optical microscopy (PLOM). The two terpolymers (T1 and T2) are weakly phase segregated in the melt according to SAXS. DSC and WAXS results demonstrate that in both triblock terpolymers the crystallization process starts with the PE block, continues with the PCL block, and ends with the PEO block. Hence triple crystalline materials are obtained. The crystallization of the PCL and the PEO block is coincident (i.e., it overlaps); however, WAXS and PLOM experiments can identify both transitions. In addition, PLOM shows a spherulitic morphology for the PE homopolymer and the T1 precursor diblock copolymer, while the other systems appear as non-spherulitic or microspherulitic at the last stage of the crystallization process. The complicated crystallization of tricrystalline triblock terpolymers can only be fully grasped when DSC, WAXS, and PLOM experiments are combined. This knowledge is fundamental to tailor the properties of these complex but fascinating materials.

摘要

研究了两种聚亚甲基三嵌段三元共聚物的形态和结晶行为,这两种共聚物分别相当于聚乙烯(PE)、聚环氧乙烷(PEO)和聚ε-己内酯(PCL):PE--PEO--PCL(T1)和PE--PEO--PCL(T2)(上标给出以kg/mol为单位的数均分子量,下标给出以wt%为单位的组成)。这三个嵌段都具有潜在的结晶性,并且对样品的三晶性质进行了研究。通过将聚同系化(C1聚合)、开环聚合和催化剂切换策略相结合来合成三嵌段三元共聚物。此外,还对相应的PE--PEO二嵌段共聚物和PE均聚物进行了分析。通过三种独立但互补的技术确定了嵌段的结晶顺序:差示扫描量热法(DSC)、原位小角X射线散射/广角X射线散射(SAXS/WAXS)和偏光光学显微镜(PLOM)。根据小角X射线散射结果,这两种三元共聚物(T1和T2)在熔体中呈弱相分离状态。差示扫描量热法和广角X射线散射结果表明,在这两种三嵌段三元共聚物中,结晶过程均始于PE嵌段,接着是PCL嵌段,最后是PEO嵌段。因此得到了三晶材料。PCL嵌段和PEO嵌段的结晶是重合的(即相互重叠);然而,广角X射线散射和偏光光学显微镜实验能够识别这两种转变。此外,偏光光学显微镜显示PE均聚物和T1前体二嵌段共聚物具有球晶形态,而在结晶过程的最后阶段,其他体系呈现出非球晶或微球晶形态。只有将差示扫描量热法、广角X射线散射和偏光光学显微镜实验结合起来,才能全面掌握三晶三嵌段三元共聚物复杂的结晶过程。这些知识对于定制这些复杂但迷人的材料的性能至关重要。

https://cdn.ncbi.nlm.nih.gov/pmc/blobs/ed6b/8473441/5ef02b3b2c94/polymers-13-03133-g014.jpg
https://cdn.ncbi.nlm.nih.gov/pmc/blobs/ed6b/8473441/e2cc6f41d694/polymers-13-03133-sch001.jpg
https://cdn.ncbi.nlm.nih.gov/pmc/blobs/ed6b/8473441/edc748209b0c/polymers-13-03133-g001.jpg
https://cdn.ncbi.nlm.nih.gov/pmc/blobs/ed6b/8473441/e7271684174f/polymers-13-03133-g002.jpg
https://cdn.ncbi.nlm.nih.gov/pmc/blobs/ed6b/8473441/56f294e5257c/polymers-13-03133-g003.jpg
https://cdn.ncbi.nlm.nih.gov/pmc/blobs/ed6b/8473441/4edfef045750/polymers-13-03133-g004.jpg
https://cdn.ncbi.nlm.nih.gov/pmc/blobs/ed6b/8473441/10de8adc590e/polymers-13-03133-g005a.jpg
https://cdn.ncbi.nlm.nih.gov/pmc/blobs/ed6b/8473441/7ae88cd2071d/polymers-13-03133-g006.jpg
https://cdn.ncbi.nlm.nih.gov/pmc/blobs/ed6b/8473441/807632b85556/polymers-13-03133-g007a.jpg
https://cdn.ncbi.nlm.nih.gov/pmc/blobs/ed6b/8473441/8ae96c7bd45c/polymers-13-03133-g008.jpg
https://cdn.ncbi.nlm.nih.gov/pmc/blobs/ed6b/8473441/187dc18c8fa6/polymers-13-03133-g009.jpg
https://cdn.ncbi.nlm.nih.gov/pmc/blobs/ed6b/8473441/2f2f3c7c0fe4/polymers-13-03133-g010a.jpg
https://cdn.ncbi.nlm.nih.gov/pmc/blobs/ed6b/8473441/3a1ba612549c/polymers-13-03133-g011.jpg
https://cdn.ncbi.nlm.nih.gov/pmc/blobs/ed6b/8473441/b602f9f338b6/polymers-13-03133-g012.jpg
https://cdn.ncbi.nlm.nih.gov/pmc/blobs/ed6b/8473441/ad05f294768d/polymers-13-03133-g013.jpg
https://cdn.ncbi.nlm.nih.gov/pmc/blobs/ed6b/8473441/5ef02b3b2c94/polymers-13-03133-g014.jpg
https://cdn.ncbi.nlm.nih.gov/pmc/blobs/ed6b/8473441/e2cc6f41d694/polymers-13-03133-sch001.jpg
https://cdn.ncbi.nlm.nih.gov/pmc/blobs/ed6b/8473441/edc748209b0c/polymers-13-03133-g001.jpg
https://cdn.ncbi.nlm.nih.gov/pmc/blobs/ed6b/8473441/e7271684174f/polymers-13-03133-g002.jpg
https://cdn.ncbi.nlm.nih.gov/pmc/blobs/ed6b/8473441/56f294e5257c/polymers-13-03133-g003.jpg
https://cdn.ncbi.nlm.nih.gov/pmc/blobs/ed6b/8473441/4edfef045750/polymers-13-03133-g004.jpg
https://cdn.ncbi.nlm.nih.gov/pmc/blobs/ed6b/8473441/10de8adc590e/polymers-13-03133-g005a.jpg
https://cdn.ncbi.nlm.nih.gov/pmc/blobs/ed6b/8473441/7ae88cd2071d/polymers-13-03133-g006.jpg
https://cdn.ncbi.nlm.nih.gov/pmc/blobs/ed6b/8473441/807632b85556/polymers-13-03133-g007a.jpg
https://cdn.ncbi.nlm.nih.gov/pmc/blobs/ed6b/8473441/8ae96c7bd45c/polymers-13-03133-g008.jpg
https://cdn.ncbi.nlm.nih.gov/pmc/blobs/ed6b/8473441/187dc18c8fa6/polymers-13-03133-g009.jpg
https://cdn.ncbi.nlm.nih.gov/pmc/blobs/ed6b/8473441/2f2f3c7c0fe4/polymers-13-03133-g010a.jpg
https://cdn.ncbi.nlm.nih.gov/pmc/blobs/ed6b/8473441/3a1ba612549c/polymers-13-03133-g011.jpg
https://cdn.ncbi.nlm.nih.gov/pmc/blobs/ed6b/8473441/b602f9f338b6/polymers-13-03133-g012.jpg
https://cdn.ncbi.nlm.nih.gov/pmc/blobs/ed6b/8473441/ad05f294768d/polymers-13-03133-g013.jpg
https://cdn.ncbi.nlm.nih.gov/pmc/blobs/ed6b/8473441/5ef02b3b2c94/polymers-13-03133-g014.jpg

相似文献

1
Crystallization and Morphology of Triple Crystalline Polyethylene--poly(ethylene oxide)--poly(ε-caprolactone) PE--PEO--PCL Triblock Terpolymers.三晶型聚乙烯-聚环氧乙烷-聚己内酯PE-PEO-PCL三嵌段三元共聚物的结晶与形态
Polymers (Basel). 2021 Sep 16;13(18):3133. doi: 10.3390/polym13183133.
2
Sequential Crystallization and Multicrystalline Morphology in PE--PEO--PCL--PLLA Tetrablock Quarterpolymers.PE-PEO-PCL-PLLA四嵌段四元共聚物中的顺序结晶和多晶形态
Macromolecules. 2021 Aug 10;54(15):7244-7257. doi: 10.1021/acs.macromol.1c01186. Epub 2021 Jul 23.
3
Composition dependence of the crystallization behavior and morphology of the poly(ethylene oxide)-poly(epsilon-caprolactone) diblock copolymer.聚环氧乙烷-聚己内酯二嵌段共聚物结晶行为和形态的组成依赖性
Biomacromolecules. 2006 Dec;7(12):3482-9. doi: 10.1021/bm060578m.
4
Morphology of a highly asymmetric double crystallizable poly(epsilon-caprolactone-b-ethylene oxide) block copolymer.一种高度不对称的双可结晶聚(ε-己内酯-b-环氧乙烷)嵌段共聚物的形态学
J Chem Phys. 2007 Jan 14;126(2):024904. doi: 10.1063/1.2405357.
5
Local and segmental dynamics in homopolymer and triblock copolymers with one semicrystalline block.含一个半结晶嵌段的均聚物和三嵌段共聚物中的局部和链段动力学
Phys Rev E Stat Nonlin Soft Matter Phys. 2002 Feb;65(2 Pt 1):021807. doi: 10.1103/PhysRevE.65.021807. Epub 2002 Jan 23.
6
Tetracrystalline Tetrablock Quarterpolymers: Four Different Crystallites under the Same Roof.四晶型四嵌段四聚物:同一结构下的四种不同微晶。
Angew Chem Int Ed Engl. 2019 Nov 4;58(45):16267-16274. doi: 10.1002/anie.201908688. Epub 2019 Sep 18.
7
Phase Transitions in Poly(vinylidene fluoride)/Polymethylene-Based Diblock Copolymers and Blends.聚(偏二氟乙烯)/聚亚甲基基二嵌段共聚物及共混物中的相变
Polymers (Basel). 2021 Jul 24;13(15):2442. doi: 10.3390/polym13152442.
8
Tunable mesoporous lamellar silicas prepared using poly(ethylene oxide-b-L-lactide) and poly(ethylene-b-ethylene oxide-b-L-lactide) block copolymers as templates.使用聚(环氧乙烷-b-L-丙交酯)和聚(乙烯-b-环氧乙烷-b-L-丙交酯)嵌段共聚物作为模板制备的可调谐介孔层状二氧化硅。
J Nanosci Nanotechnol. 2013 Apr;13(4):2495-506. doi: 10.1166/jnn.2013.7350.
9
Synthesis and characterization of PEO-PCL-PEO triblock copolymers: effects of the PCL chain length on the physical property of W(1)/O/W(2) multiple emulsions.聚环氧乙烷-聚己内酯-聚环氧乙烷三嵌段共聚物的合成与表征:聚己内酯链长对W(1)/O/W(2)多重乳液物理性质的影响
Colloids Surf B Biointerfaces. 2008 Aug 1;65(1):61-8. doi: 10.1016/j.colsurfb.2008.02.017. Epub 2008 Mar 4.
10
Synthesis, characterization, effect of architecture on crystallization of biodegradable poly(epsilon-caprolactone)-b-poly(ethylene oxide) copolymers with different arms and nanoparticles thereof.具有不同臂数的可生物降解聚(ε-己内酯)-b-聚(环氧乙烷)共聚物及其纳米颗粒的合成、表征、结构对结晶的影响
J Biomed Mater Res A. 2007 Sep 1;82(3):689-700. doi: 10.1002/jbm.a.31167.

引用本文的文献

1
Block Copolymers with Crystallizable Blocks: Synthesis, Self-Assembly and Applications.具有可结晶嵌段的嵌段共聚物:合成、自组装及应用
Polymers (Basel). 2022 Feb 11;14(4):696. doi: 10.3390/polym14040696.

本文引用的文献

1
Tetracrystalline Tetrablock Quarterpolymers: Four Different Crystallites under the Same Roof.四晶型四嵌段四聚物:同一结构下的四种不同微晶。
Angew Chem Int Ed Engl. 2019 Nov 4;58(45):16267-16274. doi: 10.1002/anie.201908688. Epub 2019 Sep 18.
2
Synthesis and Characterization of Double Crystalline Cyclic Diblock Copolymers of Poly(ε-caprolactone) and Poly(l(d)-lactide) (c(PCL-b- PL(D)LA)).聚(ε-己内酯)和聚(l(d)-丙交酯)(c(PCL-b-PL(D)LA))双晶环状二嵌段共聚物的合成与表征
Macromol Rapid Commun. 2016 Oct;37(20):1676-1681. doi: 10.1002/marc.201600309. Epub 2016 Aug 29.
3
Applications of Copolymeric Nanoparticles in Drug Delivery Systems.
共聚物纳米颗粒在药物递送系统中的应用
Drug Res (Stuttg). 2016 Oct;66(10):506-519. doi: 10.1055/s-0042-109865. Epub 2016 Jul 12.
4
Novel pentablock copolymer (PLA-PCL-PEG-PCL-PLA) based nanoparticles for controlled drug delivery: Effect of copolymer compositions on the crystallinity of copolymers and in vitro drug release profile from nanoparticles.用于控释给药的新型五嵌段共聚物(聚乳酸-聚己内酯-聚乙二醇-聚己内酯-聚乳酸)纳米颗粒:共聚物组成对共聚物结晶度及纳米颗粒体外药物释放曲线的影响
Colloid Polym Sci. 2013 May 1;291(5):1235-1245. doi: 10.1007/s00396-012-2854-0.
5
Coupling of microphase separation and dewetting in weakly segregated diblock co-polymer ultrathin films.弱分相嵌段共聚物超薄膜中微相分离与去湿的耦合。
Langmuir. 2011 Oct 4;27(19):11973-80. doi: 10.1021/la202379b. Epub 2011 Sep 9.
6
In vitro anticancer activity of docetaxel-loaded micelles based on poly(ethylene oxide)-poly(epsilon-caprolactone) block copolymers: Do nanocarrier properties have a role?载多西紫杉醇胶束的体外抗癌活性:基于聚(氧化乙烯)-聚(ε-己内酯)嵌段共聚物的纳米载体性质是否起作用?
J Control Release. 2010 Dec 1;148(2):255-63. doi: 10.1016/j.jconrel.2010.08.006. Epub 2010 Sep 8.
7
Biodegradable PCL scaffolds with an interconnected spherical pore network for tissue engineering.用于组织工程的具有相互连通球形孔网络的可生物降解聚己内酯支架。
J Biomed Mater Res A. 2008 Apr;85(1):25-35. doi: 10.1002/jbm.a.31396.
8
Miscibility in poly(L-lactide)-b-poly(epsilon-caprolactone) double crystalline diblock copolymers.聚(L-丙交酯)-b-聚(ε-己内酯)双晶嵌段共聚物中的混溶性。
Eur Phys J E Soft Matter. 2007 Jul;23(3):295-303. doi: 10.1140/epje/i2007-10191-6. Epub 2007 Aug 8.
9
Synthesis, characterization, effect of architecture on crystallization of biodegradable poly(epsilon-caprolactone)-b-poly(ethylene oxide) copolymers with different arms and nanoparticles thereof.具有不同臂数的可生物降解聚(ε-己内酯)-b-聚(环氧乙烷)共聚物及其纳米颗粒的合成、表征、结构对结晶的影响
J Biomed Mater Res A. 2007 Sep 1;82(3):689-700. doi: 10.1002/jbm.a.31167.
10
Morphology of a highly asymmetric double crystallizable poly(epsilon-caprolactone-b-ethylene oxide) block copolymer.一种高度不对称的双可结晶聚(ε-己内酯-b-环氧乙烷)嵌段共聚物的形态学
J Chem Phys. 2007 Jan 14;126(2):024904. doi: 10.1063/1.2405357.