• 文献检索
  • 文档翻译
  • 深度研究
  • 学术资讯
  • Suppr Zotero 插件Zotero 插件
  • 邀请有礼
  • 套餐&价格
  • 历史记录
应用&插件
Suppr Zotero 插件Zotero 插件浏览器插件Mac 客户端Windows 客户端微信小程序
定价
高级版会员购买积分包购买API积分包
服务
文献检索文档翻译深度研究API 文档MCP 服务
关于我们
关于 Suppr公司介绍联系我们用户协议隐私条款
关注我们

Suppr 超能文献

核心技术专利:CN118964589B侵权必究
粤ICP备2023148730 号-1Suppr @ 2026

文献检索

告别复杂PubMed语法,用中文像聊天一样搜索,搜遍4000万医学文献。AI智能推荐,让科研检索更轻松。

立即免费搜索

文件翻译

保留排版,准确专业,支持PDF/Word/PPT等文件格式,支持 12+语言互译。

免费翻译文档

深度研究

AI帮你快速写综述,25分钟生成高质量综述,智能提取关键信息,辅助科研写作。

立即免费体验

风积沙对沥青路面抗滑性能的影响

The Influence of Aeolian Sand on the Anti-Skid Characteristics of Asphalt Pavement.

作者信息

Pan Jingsheng, Zhao Hua, Wang Yong, Liu Gang

机构信息

College of Water and Architectural Engineering, Shihezi University, Shihezi 832003, China.

State Key Laboratory of Silicate Materials for Architectures, Wuhan University of Technology, Wuhan 430070, China.

出版信息

Materials (Basel). 2021 Sep 24;14(19):5523. doi: 10.3390/ma14195523.

DOI:10.3390/ma14195523
PMID:34639920
原文链接:https://pmc.ncbi.nlm.nih.gov/articles/PMC8509564/
Abstract

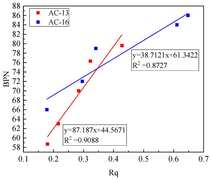
The influence of sand accumulation on the skid resistance of asphalt pavement was studied. Many scholars have researched the anti-skid performance of conventional asphalt pavements. However, there is a lack of research on the anti-skid performance of desert roads under the condition of sand accumulation. In this study, AC-13 and AC-16 asphalt mixtures were used. The British Pendulum Number (BPN) under different sand accumulations was measured with a pendulum friction coefficient meter, and the Ames engineering texture scanner was used to obtain different sand accumulations. The texture index of asphalt mixture was used to study the macro and micro texture of asphalt pavement under different amounts of sand accumulation, and the degree of influence of different particle sizes on BPN was obtained through gray correlation analysis. The test results show that the presence of aeolian sand has a significant impact on the macro and micro texture of the asphalt pavement and will cause the anti-skid performance to decrease. Moreover, there is an apparent positive linear correlation between the road surface texture index and BPN. The research results may provide reference and reference for the design and maintenance of desert highways.

摘要

研究了积沙对沥青路面抗滑性能的影响。许多学者对常规沥青路面的抗滑性能进行了研究。然而,对于积沙条件下沙漠道路的抗滑性能缺乏研究。本研究采用AC - 13和AC - 16沥青混合料。用摆式摩擦系数仪测量不同积沙量下的英国摆值(BPN),并使用埃姆斯工程纹理扫描仪获取不同的积沙量。利用沥青混合料的纹理指数研究不同积沙量下沥青路面的宏观和微观纹理,并通过灰色关联分析得到不同粒径对BPN的影响程度。试验结果表明,风积沙的存在对沥青路面的宏观和微观纹理有显著影响,并会导致抗滑性能下降。此外,路面纹理指数与BPN之间存在显著的正线性相关。研究结果可为沙漠公路的设计与养护提供参考。

https://cdn.ncbi.nlm.nih.gov/pmc/blobs/9e0f/8509564/14025c5bb26c/materials-14-05523-g016.jpg
https://cdn.ncbi.nlm.nih.gov/pmc/blobs/9e0f/8509564/a3ca04a94920/materials-14-05523-g001.jpg
https://cdn.ncbi.nlm.nih.gov/pmc/blobs/9e0f/8509564/d688085723ab/materials-14-05523-g002.jpg
https://cdn.ncbi.nlm.nih.gov/pmc/blobs/9e0f/8509564/c175f295d6f3/materials-14-05523-g003.jpg
https://cdn.ncbi.nlm.nih.gov/pmc/blobs/9e0f/8509564/336b354fe5ea/materials-14-05523-g004.jpg
https://cdn.ncbi.nlm.nih.gov/pmc/blobs/9e0f/8509564/057e9fd6dd1b/materials-14-05523-g005.jpg
https://cdn.ncbi.nlm.nih.gov/pmc/blobs/9e0f/8509564/b49f4901c44e/materials-14-05523-g006.jpg
https://cdn.ncbi.nlm.nih.gov/pmc/blobs/9e0f/8509564/a5c687d7e92c/materials-14-05523-g007.jpg
https://cdn.ncbi.nlm.nih.gov/pmc/blobs/9e0f/8509564/6b60f50c4572/materials-14-05523-g008.jpg
https://cdn.ncbi.nlm.nih.gov/pmc/blobs/9e0f/8509564/d866a4cc5d6d/materials-14-05523-g009.jpg
https://cdn.ncbi.nlm.nih.gov/pmc/blobs/9e0f/8509564/d9491761f8a6/materials-14-05523-g010.jpg
https://cdn.ncbi.nlm.nih.gov/pmc/blobs/9e0f/8509564/49eda336cab1/materials-14-05523-g011.jpg
https://cdn.ncbi.nlm.nih.gov/pmc/blobs/9e0f/8509564/da5fecb9e798/materials-14-05523-g012.jpg
https://cdn.ncbi.nlm.nih.gov/pmc/blobs/9e0f/8509564/3dc7299962ad/materials-14-05523-g013.jpg
https://cdn.ncbi.nlm.nih.gov/pmc/blobs/9e0f/8509564/1b82765289ce/materials-14-05523-g014.jpg
https://cdn.ncbi.nlm.nih.gov/pmc/blobs/9e0f/8509564/a2bf424afa7d/materials-14-05523-g015.jpg
https://cdn.ncbi.nlm.nih.gov/pmc/blobs/9e0f/8509564/14025c5bb26c/materials-14-05523-g016.jpg
https://cdn.ncbi.nlm.nih.gov/pmc/blobs/9e0f/8509564/a3ca04a94920/materials-14-05523-g001.jpg
https://cdn.ncbi.nlm.nih.gov/pmc/blobs/9e0f/8509564/d688085723ab/materials-14-05523-g002.jpg
https://cdn.ncbi.nlm.nih.gov/pmc/blobs/9e0f/8509564/c175f295d6f3/materials-14-05523-g003.jpg
https://cdn.ncbi.nlm.nih.gov/pmc/blobs/9e0f/8509564/336b354fe5ea/materials-14-05523-g004.jpg
https://cdn.ncbi.nlm.nih.gov/pmc/blobs/9e0f/8509564/057e9fd6dd1b/materials-14-05523-g005.jpg
https://cdn.ncbi.nlm.nih.gov/pmc/blobs/9e0f/8509564/b49f4901c44e/materials-14-05523-g006.jpg
https://cdn.ncbi.nlm.nih.gov/pmc/blobs/9e0f/8509564/a5c687d7e92c/materials-14-05523-g007.jpg
https://cdn.ncbi.nlm.nih.gov/pmc/blobs/9e0f/8509564/6b60f50c4572/materials-14-05523-g008.jpg
https://cdn.ncbi.nlm.nih.gov/pmc/blobs/9e0f/8509564/d866a4cc5d6d/materials-14-05523-g009.jpg
https://cdn.ncbi.nlm.nih.gov/pmc/blobs/9e0f/8509564/d9491761f8a6/materials-14-05523-g010.jpg
https://cdn.ncbi.nlm.nih.gov/pmc/blobs/9e0f/8509564/49eda336cab1/materials-14-05523-g011.jpg
https://cdn.ncbi.nlm.nih.gov/pmc/blobs/9e0f/8509564/da5fecb9e798/materials-14-05523-g012.jpg
https://cdn.ncbi.nlm.nih.gov/pmc/blobs/9e0f/8509564/3dc7299962ad/materials-14-05523-g013.jpg
https://cdn.ncbi.nlm.nih.gov/pmc/blobs/9e0f/8509564/1b82765289ce/materials-14-05523-g014.jpg
https://cdn.ncbi.nlm.nih.gov/pmc/blobs/9e0f/8509564/a2bf424afa7d/materials-14-05523-g015.jpg
https://cdn.ncbi.nlm.nih.gov/pmc/blobs/9e0f/8509564/14025c5bb26c/materials-14-05523-g016.jpg

相似文献

1
The Influence of Aeolian Sand on the Anti-Skid Characteristics of Asphalt Pavement.风积沙对沥青路面抗滑性能的影响
Materials (Basel). 2021 Sep 24;14(19):5523. doi: 10.3390/ma14195523.
2
Study on the Attenuation of Long-Term Skid Resistance of Asphalt Mixtures under Aeolian Sand Conditions.风积砂条件下沥青混合料长期抗滑性能衰减研究
Materials (Basel). 2023 Nov 21;16(23):7247. doi: 10.3390/ma16237247.
3
Influence of Morphological Characteristics of Coarse Aggregates on Skid Resistance of Asphalt Pavement.粗集料形态特征对沥青路面抗滑性能的影响
Materials (Basel). 2023 Jul 10;16(14):4926. doi: 10.3390/ma16144926.
4
Performance of Noise Reduction and Skid Resistance of Durable Granular Ultra-Thin Layer Asphalt Pavement.耐久性粒料超薄层沥青路面的降噪与防滑性能
Materials (Basel). 2020 Sep 24;13(19):4260. doi: 10.3390/ma13194260.
5
Evaluate Pavement Skid Resistance Performance Based on Bayesian-LightGBM Using 3D Surface Macrotexture Data.基于贝叶斯-轻梯度提升机(Bayesian-LightGBM)利用三维表面宏观纹理数据评估路面抗滑性能
Materials (Basel). 2022 Jul 30;15(15):5275. doi: 10.3390/ma15155275.
6
Determining the Long-Term Skid Resistance of Steel Slag Asphalt Mixture Based on the Mineral Composition of Aggregates.基于集料矿物成分的钢渣沥青混合料长期抗滑性能测定
Polymers (Basel). 2023 Feb 6;15(4):807. doi: 10.3390/polym15040807.
7
Study on Asphalt Pavement Surface Texture Degradation Using 3-D Image Processing Techniques and Entropy Theory.基于三维图像处理技术和熵理论的沥青路面表面纹理退化研究
Entropy (Basel). 2019 Feb 21;21(2):208. doi: 10.3390/e21020208.
8
Experimental Study on Wet Skid Resistance of Asphalt Pavements in Icy Conditions.结冰条件下沥青路面抗滑性能的试验研究
Materials (Basel). 2019 Apr 12;12(8):1201. doi: 10.3390/ma12081201.
9
Tire-Road Contact Area on Asphalt Concrete Pavement and Its Relationship with the Skid Resistance.沥青混凝土路面上的轮胎-路面接触面积及其与抗滑性能的关系。
Materials (Basel). 2020 Jan 30;13(3):615. doi: 10.3390/ma13030615.
10
Anti-Skid Characteristics of Asphalt Pavement Based on Partial Tire Aquaplane Conditions.基于部分轮胎水滑状况的沥青路面抗滑特性
Materials (Basel). 2022 Jul 17;15(14):4976. doi: 10.3390/ma15144976.

引用本文的文献

1
Study on the Attenuation of Long-Term Skid Resistance of Asphalt Mixtures under Aeolian Sand Conditions.风积砂条件下沥青混合料长期抗滑性能衰减研究
Materials (Basel). 2023 Nov 21;16(23):7247. doi: 10.3390/ma16237247.
2
Experimental Testing and Constitutive Modelling of Pavement Materials.路面材料的试验测试与本构模型
Materials (Basel). 2023 Jun 5;16(11):4186. doi: 10.3390/ma16114186.

本文引用的文献

1
A Comparative Study on Skid Resistance of Concrete Pavements Differing in Texturing Technique.不同纹理技术的混凝土路面防滑性能对比研究
Materials (Basel). 2021 Jan 1;14(1):178. doi: 10.3390/ma14010178.
2
Tire-Road Contact Area on Asphalt Concrete Pavement and Its Relationship with the Skid Resistance.沥青混凝土路面上的轮胎-路面接触面积及其与抗滑性能的关系。
Materials (Basel). 2020 Jan 30;13(3):615. doi: 10.3390/ma13030615.
3
Experimental Study on Wet Skid Resistance of Asphalt Pavements in Icy Conditions.结冰条件下沥青路面抗滑性能的试验研究
Materials (Basel). 2019 Apr 12;12(8):1201. doi: 10.3390/ma12081201.
4
The mixed effects of precipitation on traffic crashes.降水对交通事故的混合影响。
Accid Anal Prev. 2004 Jul;36(4):637-47. doi: 10.1016/S0001-4575(03)00085-X.