Suppr超能文献

肠道微生物群和微生物代谢物与猪的咬尾行为有关。

The gut microbiota and microbial metabolites are associated with tail biting in pigs.

机构信息

Department of Animal Environment and Health, Swedish University of Agricultural Sciences, Box 7068, 750 07, Uppsala, Sweden.

Department of Biology and Biological Engineering, Food and Nutrition Science, Chalmers University of Technology, Gothenburg, Sweden.

出版信息

Sci Rep. 2021 Oct 15;11(1):20547. doi: 10.1038/s41598-021-99741-8.

Abstract

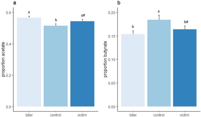
Tail biting is an abnormal behaviour that causes stress, injury and pain. Given the critical role of the gut-microbiota in the development of behavioural problems in humans and animals, the aim of this study was to determine whether pigs that are biters, victims of tail biting or controls (nine matched sets of pigs) have a different microbiota composition, diversity and microbial metabolite profile. We collected faecal and blood samples from each individual for analysis. The gut microbiota composition was most different between the biter and the control pigs, with a higher relative abundance of Firmicutes in tail biter pigs than the controls. Furthermore, we detected differences in faecal and plasma short chain fatty acids (SCFA) profiles between the biter and victim pigs, suggesting physiological differences even though they are kept in the same pen. Thus, in addition to supporting an association between the gut microbiota and tail biting in pigs, this study also provides the first evidence of an association between tail biting and SCFA. Therefore, further research is needed to confirm these associations, to determine causality and to study how the SCFA profiles of an individual play a role in the development of tail biting behaviour.

摘要

咬尾是一种导致动物应激、受伤和疼痛的异常行为。鉴于肠道微生物群在人类和动物行为问题发展中的关键作用,本研究旨在确定咬尾、被咬尾和对照组(9 组匹配猪)的猪是否具有不同的微生物群落组成、多样性和微生物代谢产物特征。我们从每头猪收集粪便和血液样本进行分析。与对照组相比,咬尾猪的肠道微生物群组成与对照组差异最大,厚壁菌门的相对丰度较高。此外,我们在咬尾和被咬尾猪的粪便和血浆短链脂肪酸(SCFA)图谱中检测到差异,表明尽管它们被关在同一个猪圈中,但存在生理差异。因此,除了支持肠道微生物群与猪咬尾之间的关联外,本研究还首次提供了咬尾与 SCFA 之间关联的证据。因此,需要进一步研究来确认这些关联,确定因果关系,并研究个体的 SCFA 图谱如何在咬尾行为的发展中发挥作用。

https://cdn.ncbi.nlm.nih.gov/pmc/blobs/9293/8521594/5bf288a75768/41598_2021_99741_Fig1_HTML.jpg

文献AI研究员

20分钟写一篇综述,助力文献阅读效率提升50倍。

立即体验

用中文搜PubMed

大模型驱动的PubMed中文搜索引擎

马上搜索

文档翻译

学术文献翻译模型,支持多种主流文档格式。

立即体验