Suppr超能文献

内生菌感染草的水提取物对豌豆蚜生长发育的影响

Effects of Aqueous Extracts of Endophyte-Infected Grass on Growth and Development of Pea Aphid .

作者信息

Ma Yaling, Li Chunjie, White James F

机构信息

State Key Laboratory of Grassland Agro-Ecosystems, Lanzhou University, Lanzhou 730020, China.

Key Laboratory of Grassland Livestock Industry Innovation, Ministry of Agriculture and Rural Affairs, Lanzhou University, Lanzhou 730020, China.

出版信息

Insects. 2021 Oct 18;12(10):944. doi: 10.3390/insects12100944.

Abstract

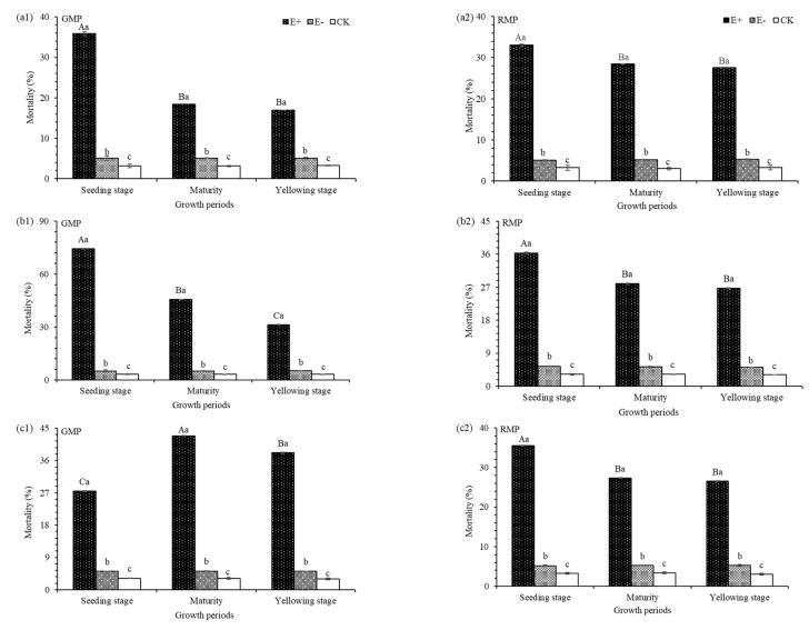
The pea aphid has a worldwide distribution and causes serious losses for agricultural production. Drunken horse grass is a widely distributed perennial poisonous grass on the grasslands of Northern and Northwestern China. The present study focused on contact toxicity activity of aqueous extracts of endophyte-infected (E+) and endophyte-free (E-) in different growth periods of pea aphids, and the growth and development of two color morphs of F1 generation nymphs. Both of the color morphs had development durations in E+ treatments that tended to be longer at 1st, 2nd, 3rd, and 4th instars than E- and control (CK). The E+ treated aphids also showed decreased weights at maturity with over all lower mean relative growth rates (MRGR). Aphid survival of E+ treated aphids was lower than that of E- and CK at all growth periods. Seeding stage E+ extracts showed a greater propensity for negatively affecting aphids than did E+ extract at maturity and the yellowing stage. These results show that extracts from endophyte-containing plants may contain compounds that may be used to control insects.

摘要

豌豆蚜分布于世界各地,给农业生产造成严重损失。醉马草是中国北方和西北草原上广泛分布的多年生有毒杂草。本研究聚焦于内生真菌感染(E+)和未感染内生真菌(E-)的醉马草在不同生长时期对豌豆蚜的触杀毒性活性,以及F1代若虫两种体色形态的生长发育情况。两种体色形态在E+处理下的发育历期,在1龄、2龄、3龄和4龄时往往比E-处理和对照(CK)更长。E+处理的蚜虫成熟时体重也有所下降,平均相对生长率(MRGR)总体较低。在所有生长阶段,E+处理的蚜虫存活率均低于E-处理和CK。与成熟期和枯黄期的E+提取物相比,苗期E+提取物对蚜虫的负面影响更大。这些结果表明,含内生真菌植物的提取物可能含有可用于控制昆虫的化合物。

https://cdn.ncbi.nlm.nih.gov/pmc/blobs/79a1/8541239/99068a2637cf/insects-12-00944-g001.jpg

文献AI研究员

20分钟写一篇综述,助力文献阅读效率提升50倍。

立即体验

用中文搜PubMed

大模型驱动的PubMed中文搜索引擎

马上搜索

文档翻译

学术文献翻译模型,支持多种主流文档格式。

立即体验