Dridi Chaima, Millette Mathieu, Aguilar Blanca, Manus Johanne, Salmieri Stephane, Lacroix Monique
INRS Armand-Frappier Health Biotechnology Research Centre, Research Laboratories in Sciences, Applied to Food (RESALA), Canadian Irradiation Centre (CIC), Institute of Nutrition and Functional Foods (INAF), 531 Boulevard des Prairies, Laval, QC H7V 1B7, Canada.
Bio-K Plus International Inc., a Kerry Company, Preclinical Research Division, 495 Armand-Frappier Blvd, Laval, QC H7V 4B3, Canada.
Foods. 2021 Sep 23;10(10):2259. doi: 10.3390/foods10102259.
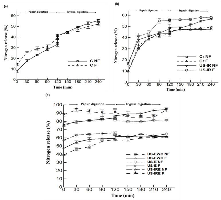
The aim of this study was to evaluate the effects of γ-irradiation (IR), ultrasound (US), and combined treatments of ultrasound followed by γ-irradiation (US-IR), ultrasound followed by enzymatic hydrolysis with and without centrifugation (US-E and US-EWC, respectively), and ultrasound followed by γ-irradiation and enzymatic hydrolysis (US-IRE), on the digestibility and the nutritional value of fermented beverages containing probiotics. Results showed that US (20 min), IR (3 kGy) and US-IR (t = 20 min, dose = 3 kGy) treatments raised protein solubility from 11.5 to 21.5, 24.3 and 29.9%, respectively. According to our results, these treatments were accompanied by the increased amount of total sulfhydryl groups, surface hydrophobicity and changes to the secondary structure of the proteins measured by Fourier-transform infrared spectroscopy (FTIR). Fermented probiotic beverages, non-enriched (C) and enriched with untreated (Cr) or treated cricket protein with combined treatments were also evaluated for their in vitro protein digestibility. Results showed that the soluble fraction of US-IRE fermented beverage had the highest digestibility (94%) as compared to the whole fermented tested beverages. The peptides profile demonstrated that US-IRE had a low proportion of high molecular weight (M) peptides (0.7%) and the highest proportion of low M peptides by over 80% as compared to the other treatments.
本研究的目的是评估γ射线辐照(IR)、超声(US)以及超声后接γ射线辐照(US-IR)、超声后接有无离心的酶解处理(分别为US-E和US-EWC)、超声后接γ射线辐照和酶解(US-IRE)对含益生菌发酵饮料的消化率和营养价值的影响。结果表明,US(20分钟)、IR(3千戈瑞)和US-IR(时间=20分钟,剂量=3千戈瑞)处理分别使蛋白质溶解度从11.5%提高到21.5%、24.3%和29.9%。根据我们的结果,这些处理伴随着总巯基数量的增加、表面疏水性的增加以及通过傅里叶变换红外光谱(FTIR)测量的蛋白质二级结构的变化。还评估了未强化(C)以及强化了未处理(Cr)或经联合处理的蟋蟀蛋白的发酵益生菌饮料的体外蛋白质消化率。结果表明,与所有测试的发酵饮料相比,US-IRE发酵饮料的可溶部分具有最高的消化率(94%)。肽谱显示,与其他处理相比,US-IRE中高分子量(M)肽的比例较低(0.7%),低M肽的比例最高,超过80%。