MTA-SZTE Lendület Functional Metal Complexes Research Group, University of Szeged, Dóm Tér 7, H-6720 Szeged, Hungary.
Department of Inorganic and Analytical Chemistry, Interdisciplinary Excellence Centre, University of Szeged, Dóm Tér 7, H-6720 Szeged, Hungary.
Int J Mol Sci. 2021 Oct 19;22(20):11281. doi: 10.3390/ijms222011281.
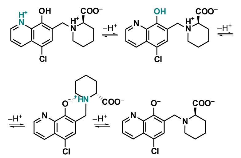
Solution chemical properties of two novel 8-hydroxyquinoline-D-proline and homo-proline hybrids were investigated along with their complex formation with [Rh(η-CMe)(HO)] and [Ru(η--cymene)(HO)] ions by pH-potentiometry, UV-visible spectrophotometry and H NMR spectroscopy. Due to the zwitterionic structure of the ligands, they possess excellent water solubility as well as their complexes. The complexes exhibit high solution stability in a wide pH range; no significant dissociation occurs at physiological pH. The hybrids and their Rh(η-CMe) complexes displayed enhanced cytotoxicity in human colon adenocarcinoma cell lines and exhibited multidrug resistance selectivity. In addition, the Rh(η-CMe) complexes showed increased selectivity to the chemosensitive cancer cells over the normal cells; meanwhile, the Ru(η--cymene) complexes were inactive, most likely due to arene loss. Interaction of the complexes with human serum albumin (HSA) and calf-thymus DNA (ct-DNA) was investigated by capillary electrophoresis, fluorometry and circular dichroism. The complexes are able to bind strongly to HSA and ct-DNA, but DNA cleavage was not observed. Changing the five-membered proline ring to the six-membered homoproline resulted in increased lipophilicity and cytotoxicity of the Rh(η-CMe) complexes while changing the configuration (L vs. D) rather has an impact on HSA or ct-DNA binding.
研究了两种新型 8-羟基喹啉-D-脯氨酸和同型脯氨酸混合配体的溶液化学性质,并通过 pH 电位法、紫外可见分光光度法和 1H NMR 光谱法研究了它们与[Rh(η-CMe)(HO)]和[Ru(η--cymene)(HO)]离子的配合物形成。由于配体的两性离子结构,它们具有出色的水溶性以及它们的配合物。该配合物在很宽的 pH 范围内具有高溶液稳定性;在生理 pH 下不会发生显著解离。这些混合配体及其 Rh(η-CMe)配合物在人结肠腺癌细胞系中表现出增强的细胞毒性,并表现出多药耐药选择性。此外,Rh(η-CMe)配合物对化学敏感癌细胞的选择性高于正常细胞;同时,Ru(η--cymene)配合物没有活性,这很可能是由于芳烃的损失。通过毛细管电泳、荧光法和圆二色性研究了配合物与人血清白蛋白 (HSA)和小牛胸腺 DNA (ct-DNA)的相互作用。这些配合物能够与 HSA 和 ct-DNA 强烈结合,但未观察到 DNA 断裂。将五元脯氨酸环改为六元同型脯氨酸会增加 Rh(η-CMe)配合物的亲脂性和细胞毒性,而改变构型(L 与 D)对 HSA 或 ct-DNA 结合的影响更大。