Suppr超能文献

一种用于单应答器辅助协作定位的新型因子图与容积卡尔曼滤波器集成算法

A Novel Factor Graph and Cubature Kalman Filter Integrated Algorithm for Single-Transponder-Aided Cooperative Localization.

作者信息

Zhao Wanlong, Zhao Huifeng, Zou Deyue, Liu Lu

机构信息

School of Information Science and Engineering, Harbin Institute of Technology, Weihai 264209, China.

College of Underwater Acoustic Engineering, Harbin Engineering University, Harbin 150001, China.

出版信息

Entropy (Basel). 2021 Sep 24;23(10):1244. doi: 10.3390/e23101244.

Abstract

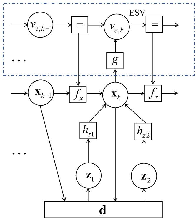
Cooperative localization (CL) of underwater multi-AUVs is vital for numerous underwater operations. Single-transponder-aided cooperative localization (STCL) is regarded as a promising scheme for multi-AUVs CL, benefiting from the fact that an accurate reference is adopted. To improve the positioning accuracy and robustness of STCL, a novel Factor Graph and Cubature Kalman Filter (FGCKF)-integrated algorithm is proposed in this paper. In the proposed FGCKF, historical information can be efficiently used in measurement updating to overcome uncertain observation environments, which greatly helps to improve the performance of filtering progress. Furthermore, Adaptive CKF, sum product, and Maximum Correntropy Criterion (MCC) methods are designed to deal with outliers of acoustic transmission delay, sound velocity, and motion velocity, respectively. Simulations and experiments are conducted, and it is verified that the proposed FGCKF algorithm can improve positioning accuracy and robustness greatly than traditional filtering methods.

摘要

水下多自主水下航行器(AUV)的协同定位(CL)对于众多水下作业至关重要。单应答器辅助协同定位(STCL)被视为多AUV协同定位的一种有前景的方案,这得益于采用了精确参考这一事实。为提高STCL的定位精度和鲁棒性,本文提出了一种新颖的集成因子图和容积卡尔曼滤波器(FGCKF)的算法。在所提出的FGCKF中,历史信息可在测量更新中得到有效利用,以克服不确定的观测环境,这极大地有助于提高滤波过程的性能。此外,分别设计了自适应卡尔曼滤波器、和积以及最大相关熵准则(MCC)方法来处理声传播延迟、声速和运动速度的异常值。进行了仿真和实验,结果验证了所提出的FGCKF算法比传统滤波方法能大大提高定位精度和鲁棒性。

https://cdn.ncbi.nlm.nih.gov/pmc/blobs/e915/8534709/3afda73f2bdb/entropy-23-01244-g001.jpg

文献AI研究员

20分钟写一篇综述,助力文献阅读效率提升50倍。

立即体验

用中文搜PubMed

大模型驱动的PubMed中文搜索引擎

马上搜索

文档翻译

学术文献翻译模型,支持多种主流文档格式。

立即体验