Romero-Trigueros Cristina, Gambín Jose María Bayona, Nortes Tortosa Pedro Antonio, Cabañero Juan José Alarcón, Nicolás Nicolás Emilio
Irrigation Department, Centro de Edafología y Biología Aplicada del Segura, CSIC, P.O. Box 164, 30100 Murcia, Spain.
Plants (Basel). 2021 Oct 6;10(10):2121. doi: 10.3390/plants10102121.
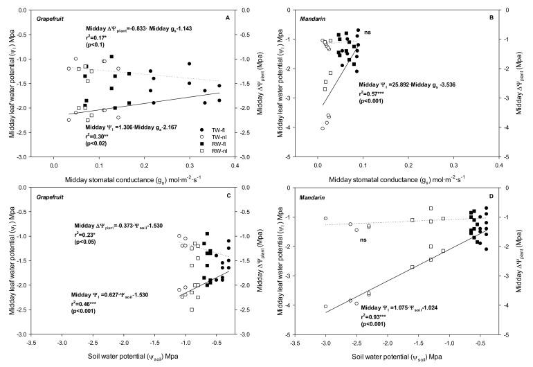
Citrus species are frequently subjected to water and saline stresses worldwide. We evaluated the effects of diurnal changes in the evaporative demands and soil water contents on the plant physiology of grapefruit and mandarin crops under saline reclaimed (RW) and transfer (TW) water conditions, combined with two irrigation strategies, fully irrigated (fI) and non-irrigated (nI). The physiological responses were different depending on the species. Grapefruit showed an isohydric pattern, which restricted the use of the leaf water potential (Ψ) as a plant water status indicator. Its water status was affected by salinity (RW) and water stress (nI), mainly as the combination of both stresses (RW-nI); however, mandarin turned out to be relatively more tolerant to salinity and more sensitive to water stress, mainly because of its low hydraulic conductance (K) levels, showing a critical drop in Ψ that led to severe losses of root-stem (K) and canopy (K) hydraulic conductance in TW-nI. This behavior was not observed in RW-nI because a reduction in canopy volume as an adaptive characteristic was observed; thus, mandarin exhibited more anisohydric behavior compared to grapefruit, but isohydrodynamic since its hydrodynamic water potential gradient from roots to shoots (ΔΨ) was relatively constant across variations in stomatal conductance (g) and soil water potential. The g was considered a good plant water status indicator for irrigation scheduling purposes in both species, and its responses to diurnal VPD rise and soil drought were strongly correlated with K. ABA did not show any effect on stomatal regulation, highlighting the fundamental role of plant hydraulics in driving stomatal closure.
在全球范围内,柑橘类物种经常遭受水分和盐分胁迫。我们评估了蒸发需求和土壤水分含量的昼夜变化对葡萄柚和柑橘作物在咸水回收(RW)和调水(TW)条件下的植物生理的影响,并结合了两种灌溉策略,即充分灌溉(fI)和非灌溉(nI)。生理反应因物种而异。葡萄柚表现出等水模式,这限制了将叶片水势(Ψ)用作植物水分状况指标。其水分状况受到盐分(RW)和水分胁迫(nI)的影响,主要是这两种胁迫的组合(RW-nI);然而,柑橘对盐分相对更具耐受性,对水分胁迫更敏感,主要是因为其低水力导度(K)水平,在TW-nI中显示出Ψ的临界下降,导致根茎(K)和冠层(K)水力导度严重损失。在RW-nI中未观察到这种行为,因为观察到冠层体积减少是一种适应性特征;因此,与葡萄柚相比,柑橘表现出更多的非等水行为,但由于其从根到茎的水动力水势梯度(ΔΨ)在气孔导度(g)和土壤水势变化中相对恒定,所以是等水动力的。g被认为是这两个物种灌溉调度中植物水分状况的良好指标,其对昼夜VPD升高和土壤干旱的反应与K密切相关。脱落酸对气孔调节没有任何影响,突出了植物水力在驱动气孔关闭中的基本作用。